减少海马代谢在MCI和广告
自动摄影图像分析
文摘
背景:为了便于图像分析,最近2 - (18F] fluoro-2-deoxy-d-glucose宠物(正)葡萄糖代谢的研究(MRglc)使用自动分布分析(VBA)程序但是矛盾的是没有报道海马MRglc减少轻度认知障碍(MCI)或阿尔茨海默病(AD)。只有少数的研究中,那些使用感兴趣的区域(roi),报告减少海马。作者创造了一个自动化和解剖学上有效的掩模技术样本海马体在宠物(HipMask)。
方法:的MRI海马roi画在48科目(20名健康老年人(NL), 16 MCI和12)被用来开发HipMask。HipMask技术应用的研究正问(n = 11), MCI (n = 13),和广告(n = 12),而mri引导下的roi和VBA的方法。
结果:HipMask和ROI海马抽样产生显著和等效MRglc减少相对于问MCI和广告之间的对比。VBA显示典型的皮质影响但未能显示海马MRglc减少临床组。海马MRglc是唯一鉴别器的本地语言和MCI(78%的准确率)和添加到皮质MRglc问vs分类广告和MCI和广告。
结论:新的HipMask技术提供了准确、快速评估海马体的宠物不使用感兴趣的区域。海马葡萄糖代谢减少发现轻度认知障碍和阿尔茨海默病和贡献他们的诊断分类。这些结果说明复审的先验分布分析2 - [18F] fluoro-2-deoxy-d-glucose宠物研究未能报告海马的影响。
大部分代谢神经影像学研究矛盾的建议没有海马功能障碍在阿尔茨海默病(AD)和轻度认知障碍(MCI)。超过200个研究用宠物2 - (18F] fluoro-2-deoxy-d-glucose (FDG)展示了减少葡萄糖代谢异常(MRglc)在大型皮质区域,1 - 5而只有五个报道海马异常在广告或MCI的证据。6 - 10海马代谢减退的发现完全来自正研究用手动的(ROI)抽样法由coregistered MRI引导的生活。6 - 10另一方面,未能观察海马的影响是一致的特征,这些正研究用自动分布分析(VBA)。VBA主要是用于方便的图像分析和统计检验组的差异。VBA依靠完全自动化的图像配准和大小归一化协议标准化所有大脑一个共同的空间,使PET扫描voxel-wise基础上的评估。11 - 13我们假设的VBA阴性结果是由于失败的相对较小的空间排列结构像海马体容易高与衰老和神经退行性变的解剖变异。
我们进行了两项研究。研究1 MRI-ROIs评估使用VBA正常化精度对海马体和获得一个精确的海马体和解剖学上有效的程序自动采样使用海马体面具(HipMask)。在研究2中,我们实现了正中的HipMask正常老年人的研究(NL), MCI患者,患者广告和比较的结果与现有的图像分析方法。
结果显示HipMask过程确定的临床效用海马MRglc减少MCI和广告及其等价的黄金标准ROI。没有检测到VBA海马减少。
方法。
本节包含了一些通用的方法以及这些特定于我们的两项研究。
科目。
受试者来自纽约大学(NYU)医学院的广告核心中心。书面知情同意了所有科目(在适当的时候也从照顾者)。受试者接受一个广泛筛查和诊断电池,包括医疗、神经、精神、神经心理学、考试先生。
排除标准。
受试者排除如果有条件影响大脑结构和功能的证据(例如,中风,临床控制糖尿病,主要的头部外伤,积极的证据抑郁症)或使用认知活跃的药物。
入选标准。
将八十四例患者纳入本研究。都在50到85岁,最小的12年教育。老人问选择对于细微精神状态检查研究(MMSE)14分数≥28和全球恶化量表(GDS)151或2的得分。MCI患者选择了MMSE分数> 24和GDS分数= 3。患有轻度到中度严重广告收到了GDS的4或5。的诊断可能的广告符合神经研究所的指导方针和交际障碍和Stroke-AD相关疾病协会16第四或精神障碍的诊断与统计手册》(dsm - IV)17标准。
这个项目使用了两个研究群体(表1)。在研究1 HipMask的发展中我们使用培训群问(n = 20), MCI (n = 16),和广告(n = 12),总共48个科目。实现的研究2中的HipMask测试队列是由NL (n = 11), MCI (n = 13),和广告(n = 12),总共36个学科。不同的处理步骤1和2的研究进行了总结图1和图2和详细的附录。
图1所示。流程图显示了处理步骤之后在研究1(海马面具开发)。这个方案代表了各个步骤后从一个初始序列的核磁共振扫描HipMask的创建。(A)感兴趣的pes海马区域(臀部roi,红色)画在48 T1-MRI扫描对象(20名健康老年人、16轻度认知障碍和12阿尔茨海默病)使用本地开发的多通道图像数据分析系统包(大富翁,版本1.6)。之后,核磁共振成像扫描整个训练队列的平均来创建一个老年人大脑模板映像接近Talairach和Tournoux空间。23MRI扫描和个人pes海马roi被空间标准化的模板使用分布分析过程,12为了把所有的海马在同一解剖空间。(B)的空间归一化pes海马roi (nROIs)转回到大富翁,一片一片叠加和重叠的程度nROIs评估以获得最优概率重叠面具的pes海马(HipMask)。(C)我们创建了一个概率的pes海马在立体空间的重叠的各体素从0(蓝色,没有重叠)48(红、重叠100%)(这里的概率图像显示为一个MRI片)。(D)为海马体正常化测试精度,我们确定模板之间的比例空间重叠海马(灰色),海马解剖共享所有的48例(红色规模)。
图2。流程图显示了处理步骤之后在研究2(海马掩模实现)。这个方案代表了各个步骤遵循开发一个自动程序准确采样pes海马PET扫描。感兴趣的pes海马区域(红色)髋关节roi,被吸引的T1-MRI扫描36新学科(11健康老人,13轻度认知障碍,12阿尔茨海默病)使用大富翁1.6。同一个主题还收到了一个正子扫描。(一)首先,我们coregistered本国的核磁共振成像和正电子发射断层扫描空间和pes海马MRglc数据提取与手动roi(白色)MRI-coregistered PET扫描。(B) PET扫描被空间归一化老年人大脑研究1中创建的模板使用分布分析例程。12海马体MRglc数据自动提取与HipMask(白色)。(C)按接受方法空间归一化PET扫描与一个各向同性高斯滤波器平滑(12毫米应用了MRglc差异群体之间使用SPM99实现的分布分析。12最后,我们比较了MRglc数据的三种方法:(A)的mri引导下的roi, HipMask (B)和(C)分布分析。
MRI检查。
所有受试者接受一个标准化的MRI扫描协议。核磁共振成像扫描程序曾被描述。8短暂,MRI扫描获得冠状1.3毫米厚的图像获得垂直于长轴使用1.5 T的海马体通用电气(General Electric)标记成像仪(通用电气、密尔沃基、WI)。我们使用t1 3 d被宠坏的梯度回忆与重复序列(SPGR) = 35毫秒,回波时间= 9 msec和翻转角度60°(视野= 18厘米,励磁的数量= 1,矩阵= 256×128)和重建124连续切片。
感兴趣的区域。
核磁共振扫描被转移到Sun Sparc工作站(Sun Microsystems,山景,CA)。根据我们以前的宠物研究显示优越的诊断准确性的海马区大前,7号到9号我们集中在pes海马。Pes海马roi先生被吸引在两个半球三倍放大日冕图像使用本地开发的多通道图像数据分析系统包(大富翁,版本1.6)。18每两个观察者,忽视学科诊断,吸引了所有pes海马roi一半的情况下(随机选择)。每个ROI被其他观察者和独立检查的准确性是由联合协议的任何更改。简而言之,沿着完整图纸进行前后的pes海马和包括菌丝层的一部分。侧海马边界的侧脑室颞角和内侧边界周围的水箱。下边界的白质(WM)海马旁回(PHG)。最前,海马体是杰出的杏仁体WM插入这些区域之间的纤维。pes-hippocampus卷被纠正头部大小的变化通过使用硬幕上的舱的体积。9
正考试。
MRI的3个月内,36个主题包含在测试队列接收一个正子扫描布鲁克海文国家实验室(BNL,长岛,纽约)使用西门子cti - 931扫描仪(诺克斯维尔,TN)。扫描仪生成15轴向层析片覆盖108毫米。(直接的平面轴向分辨率为6.2毫米的半最大值宽度片)和cross-slices是6.7毫米。interslice的距离是6.75毫米。图像重建使用汉宁滤波器截止频率为0.5周期/像素,产生128×128像素大小的矩阵1.56毫米。每个主题的定位使用两个正交激光束和成像扫描仪25°- canthomeatal平面倾斜。8这架飞机运行约海马体的长轴平行。减少头部运动在扫描过程中,模制塑料头部固定器为每个主题是定制的。衰减校正得到使用68年Ga /68年通用电气传输扫描。一小时前正子摄影,桡动脉导管和侧肘前的静脉行位置。受试者接受5到6 mCi的FDG IV铺设仰卧在一个昏暗的房间。动脉血液样本得到标准间隔监测血糖和整个研究18F水平在血液里。PET图像获得35分钟同位素注射后,持续了20分钟。绝对的葡萄糖消耗速率计算每个像素使用·索科洛夫方程19用标准的动力学常数。20.
PET / MRI coregistration。
使用大富翁,每个PET扫描与相应的MRI coregistered利用一个三维的方法基于最小化信号的方差比率。21我们的实现要求初步空间对齐,用内在的解剖标志。的最终版本coregistered PET / MRI数据由日冕部分垂直于长轴的海马体,230毫米视场和256×256矩阵。
研究1。
海马体VBA标准化的评估精度。
VBA涉及空间个体正常化扫描一个标准化的脑容量模板,以减少个人间变异性的大脑解剖学。该协议允许将不同人群相比voxel-by-voxel基础上在整个大脑。11、12统计参数映射(SPM99,康的认知神经学、伦敦)被选为自动正常化MRI和PET扫描首页11、12、22因其广泛应用于宠物研究。一个MRI解剖老年人大脑模板创建从整个训练队列(n = 48)为了提供一个模板映像适当的人口样本。22使老年人模板涉及空间规范每个MRI扫描SPM T1-MRI模板映像来自蒙特利尔神经学研究所(MNI),接近Talairach空间。23空间标准化涉及估计最优(最小二乘)参仿射变换,紧随其后的是一个迭代估计的局部比对基于家庭的7×8×7离散余弦函数。12空间归一化图像然后重新取样先生一个105×126×91矩阵体素的大小为1.5×1.5×1.5毫米和原点x= 53岁y= 76,z= 34毫米。分别归一化扫描平滑8 mm的宽屏在半峰(应用各向同性高斯内核,和平均形成老年人大脑模板。
的核磁共振扫描训练队列(在本地空间没有嵌入的roi)然后注册老年人大脑模板12使用相同的线性和非线性转换协议描述用于创建模板。最后,计算转换参数应用于空间正常化roi。这产生一个数据集和所有主题扫描和海马体roi共享相同的立体空间。
的详细描述程序用来评估海马体的正常化精度的影响可以在附录e 1找到首页网站www.首页neurology.org。简而言之,如所示图1,海马MRI-ROIs空间归一化根据VBA协议和叠加来确定正确的海马体积的百分比由所有对象共享。使用空间标准化技术假定规范化大脑区域占据相同的解剖位置和形状相同。为了验证这个假设,我们决定每个体素的学科之间重叠。之间的测量范围可以0%(不重叠)和100%(重叠在所有科目)。
创造最佳的海马体的面具。
正常化后估计对海马体使用标准的VBA程序的错误,我们创建了一个示例HipMask,主体间平均后,只包括那些部分的海马体voxel-wise重叠是学科之间最大化。最优HipMask决心使用引导过程和积极的似然比的计算24日,25确定一个海马面具,是独立的样本容量和抽样精度最高。附录e 1利用统计和技术细节过程。
研究2。实现ROI, HipMask和VBA方法在问一个正研究,MCI和广告。
海马roi。
宠物coregistration后相应的核磁共振扫描,摄影图像的测试组(n = 36)被使用MRI海马roi(采样图2一个)。
HipMask。
MRI-coregistered宠物图像空间归一化到老年人大脑模板使用MRI图像归一化参数定义为研究1中描述。此外,确定PET扫描可用于核磁共振的缺席,uncoregistered PET扫描直接标准化模板(图2 b)。
海马roi和HipMask被应用于PET图像提取海马MRglc(μmol / 100克/分钟)在所有片采样值平均整个半球。
我们检查了几个额外的问题。1)之间的通信HipMask采样和ROI技术;2)HipMask容易错位错误;和3)萎缩校正的效果26日,27日海马MRglc数据(见附录依照网上www.首页neurology.org)。
统计方法。
所有图像分析方法的一般线性模型(GLM)单变量分析是用来确定MRglc效应三个临床组,在控制了年龄,性别和脑桥新陈代谢。脑桥MRglc采样的中心是一个中期脑桥的切片在大脑中总花梗16×16毫米盒子9并用于调整全球MRglc主客体之间变化。28
结果被认为是重要的p< 0.05。ROI和HipMask数据,事后比较使用SPSS 12.0进行矫正的测试。VBA,事后进行了比较t测试在SPM99实现。29日VBA结果评估的所有体素在整个大脑,与后续修正多重比较。只有体素值大于80%的整个大脑的意思是MRglc包括在分析中29日只有集群超过30像素点(即的阈值范围。> 2倍应用被认为是重要的。觉的地区的解剖定位评估根据Talairach和Tournoux空间。23MRglc价值观从大脑区域显示组中提取影响使用MarsBar工具箱(http://marsbar.sourceforge.net/)。
诊断准确性。
所有重要地区从上图分析研究了逻辑回归来评估他们的诊断精度分类问,MCI,和广告组。结果被认为是重要的p< 0.05。
结果。
研究1。
临床数据。
方差分析(方差分析)显示没有年龄、性别、或教育差异问,MCI,和广告组。MMSE得分观察组差异(F (2, 46) = 42.6,p< 0.001)。事后对比组MMSE得分较低的广告组相比NL和MCI组(p(见< 0.001)表1)。
MRI海马体积数据。
协方差分析显示差异问,MCI和广告组的pes海马体积,在修正了年龄,性别,和头部大小(F (2 43) = 20.8,p< 0.001)。事后组间比较显示低pes海马体积的MCI(18%)和广告组(23%)相比NL (p(见< 0.001)表1未经调整的手段和SD)。
标准化的评估海马体的准确性。
我们的结果表明,在所有科目只有3%的pes海马roi 100%重叠。换句话说,97%的解剖后没有完全共享空间标准化(有关详细信息,请参阅附录e 1)。
HipMask的创造。
我们的研究结果表明,通过最大化voxel-wise重叠在海马体的主题,可以创建一个可靠的HipMask无关的样本量,收益率准确解剖取样作为评估MRI(有关详细信息,请参阅附录e 1),并且是高度相关的ROI黄金标准(见附录依照)。
研究2。
临床数据。
方差分析显示没有差异问,MCI和广告组在年龄、性别和教育。MMSE得分观察组差异(F (2, 34) = 16.0,p< 0.001)。事后对比组MMSE得分较低的广告组相比NL和MCI组(见表1)。
对比分析的方法。
发现了一个优秀的信件HipMask和ROI MRglc措施在所有临床组(ps < 0.001;图3详细描述,请参阅附录依照)。海马体ROI MRglc是不同的在三组(F (2、33) = 8.0,p< 0.001)。事后矫正的配对组测试显示广告MRglc减少(31%,p< 0.001)和MCI (14%,p< 0.05)相对于本地语言(图4)(见表1未经调整的手段和SD)。与ROI MRglc数据一致,HipMask MRglc也不同在三个临床组(F (2、33) = 9.6,p< 0.001)。事后矫正的配对组测试显示HipMask MRglc减少相对于问,几乎相同的发现与ROI:广告(33%,p< 0.001)和MCI (10%,p(见< 0.05)图4,表1)。ROI和HipMask方法MCI和广告之间的差异被发现。
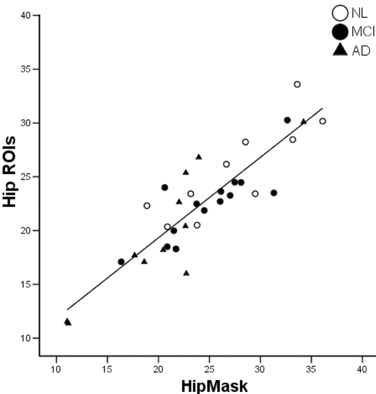
图3。海马之间的相关性与non-corrected MRglc数据提取感兴趣的区域从MRI-coregistered PET扫描和HipMask空间标准化的PET扫描(r = 0.89,p <0.001)。健康老人=白圈;轻度认知障碍=黑圈;阿尔茨海默病=三角形。
图4。海马体MRglc差异对健康老年人(NL),轻度认知障碍(MCI)和阿尔茨海默病(AD)大的意思是,在控制了年龄,性别和脑桥新陈代谢。海马MRglc减少被发现为MCI (p <0.05)和广告(p <0.001)组相对于本地语言使用感兴趣的区域(灰色)或HipMask(白色)技术。
VBA没有显示海马组差异(图5)。符合其他VBA观察,广告显示患者减少MRglc双边后扣带(PCC)内,顶叶(IPC),颞(TC)和左额皮质(IFC)相比问以及MCI (p< 0.05,为多个比较)(见纠正图5和表e 1)。问和MCI之间没有VBA差异被发现。为探索的目的,通过之前的VBA MCI的研究,5、10、30 -我们删除了多重比较和校正审查数据少用保守概率阈值。MCI相对于问减少MRglc被发现的两个集群:左边中产TC和PCC(见左边图5和表e 1)。
图5。结果与SPM99分布分析。(一)没有MRglc健康老人之间的差异被发现(NL)和轻度认知障碍(MCI)p <0.05纠正为多个比较。(B)通过重置概率阈值的限制较少的价值p <0.001、未修正的两个集群MRglc减少被发现的左后扣带(PCC)(图左)和左颞上回(图右)MCI患者相比问。(C)宠物体素显示MRglc削减对阿尔茨海默病(AD)患者与本地语言相比,涉及颞顶、PCC和额叶皮质(p <0.05,为多个比较修正)。(D)宠物体素显示MRglc削减广告相比MCI患者,包括颞顶、PCC和额叶皮质(p <0.05,为多个比较修正)。这种减少区域分布类似于观察广告vs问但是更少空间扩展,表明皮质代谢减退也可能出现在一些MCI患者。领域的代谢减退(代表红黄颜色编码的规模)显示在内侧,外侧的观点volume-rendered空间归一化核磁共振图像。这些大脑区域对应于脑图谱坐标表e 1。
诊断准确性。
在说明了诊断的准确性表2。
问与MCI诊断分类。
逻辑回归分析表明,海马体ROI MRglc正确分类问和MCI患者(χ的77%2[1]= 6.91,p< 0.01)。同样,HipMask MRglc分类这些病例的78%(χ2[1]= 5.76,p< 0.02)。基于VBA的探索性研究,PCC MRglc减少68%的情况下(χ分类2[1]= 3.59,p< 0.05)。TC MRglc并不重要。进入海马ROI或HipMask措施在第二步回归模型提高了PCC MRglc歧视精度从68%提高到73%,从而提高识别的MCI患者(敏感性82%,特异性级)(ROI:χ2[2]= 6.49,p< 0.04;HipMask:χ2[2]= 7.29,p< 0.03)。这些数据突显出海马的重要性评估广告的早期检测。
问对AD的诊断分类。
逻辑回归分析表明,海马体ROI MRglc正确分类问和广告患者(χ的78%2[1]= 11.2,p< 0.001)。同样,HipMask MRglc分类这些病例的78%(χ2[1]= 13.9,p< 0.001)。整个歧视VBA的大脑区域识别的准确性为87%的IPC MRglc(χ2[1]= 9.78,p< 0.005),83%为TC(χ2[1]= 14.4,p< 0.001)和IFC MRglc(χ2[1]= 16.7,p< 0.001),74%的PCC MRglc(χ2[1]= 8.81,p< 0.005)。此外,要么进入海马测量的第二步回归模型提高了整体歧视精度从74%到83%的PCC(χ2[2]= 17.9,p< 0.001),TC(χ从83%降至87%2[2]= 18.6,p< 0.001),从83%到91% FC(χ2[2]= 23.3,p< 0.001)。只有IPC没有受益于增加海马数据。这些数据表明,海马评估甚至在疾病的表达是很重要的。
MCI vs广告诊断分类。
没有海马MRglc MCI和广告之间的差异被发现与ROI或HipMask技术。逻辑回归分析表明,整体歧视VBA的大脑区域识别的准确性为83%的IPC MRglc(χ2[1]= 7.23,pTC MRglc < 0.01)、78%(χ2[1]= 16.6,p< 0.001),70% FC MRglc(χ2[1]= 3.97,p< 0.05)。尽管PCC MRglc不是敏感组鉴别器,它显示一个优势当添加到TC措施通过提高精度从78%到91%(χ2[2]= 18.9,p< 0.001)。这些结果表明,MCI和广告之间的区别是很大程度上取决于大脑皮层的参与。
讨论。
以前的摄影研究使用VBA没有报道海马代谢减少广告或MCI。报告只海马代谢减少来自研究使用coregistered MRI扫描和个别指导MRI-ROI放置。6 - 10这导致了矛盾的结论,海马MRglc减排中没有广告。我们的结果显示海马代谢减少MCI和广告和削减,这些都可以被检测到使用一个新的自动取样技术,HipMask或ROI方法。我们的研究表明,节约时间VBA-based HipMask方法足够精确的海马体在PET扫描采样。这将使未来的自动化分析大型数据集。
本研究直接解决了矛盾的结论来自大量的摄影文学相比与病理学和MRI研究。海马病理学和神经萎缩性变化得到了广泛报道到三十五总值和核磁共振研究表明海马萎缩在广告和MCI。36另一方面,只有少数超过200摄影在广告或MCI的研究表明海马障碍。6 - 10因此,大多数证据表明海马MRglc削减广告和MCI缺席。存在一些技术解释为什么海马体在宠物被忽视或不足的研究。前几代的宠物仪器相对贫穷(7到10毫米)空间分辨率,杜绝分析小像海马脑区。其他和最近的ROI研究执行和高分辨率的宠物扫描仪还是产生了消极的结果大概是因为它们没有使用MRI coregistration程序37、38或使用轴向扫描采样程序,海马体的尺寸和切片厚度对精确同位素复苏。37、39这可能导致38在错过了目标。其他研究使用完全自动化的VBA,允许整个大脑的统计比较单一的体素的水平。12、13尽管众所周知,VBA包含一系列的预处理步骤,可能影响检测MRglc变化较小的区域,海马体的空间归一化精度并没有被研究过。22VBA大概这样失败的报告研究海马异常由于空间归一化误差。只有一个VBA研究40报道海马MRglc和内存性能之间的相关性,但也未能观察海马组织的差异。
通过直接比较的VBA金本位coregistered日冕图像ROI,我们发现两种方法之间的大差异。我们的ROI抽样法的结果显示,如前所述,8 - 10海马MRglc减少MCI(18%)和广告(27%)。这些差异依然明显萎缩后调整(见表1)。然而,海马体的VBA发现没有效果,而他们复制以前的报道MRglc减少广告联合皮质和MCI相对于问。1 - 5标准化主体中的错误的估计平均的海马体,正如用VBA方法,表明这种结构的空间对齐不足大脑衰老和病变。为了克服这一障碍,我们开发了一个自动化和解剖验证技术样本海马体在宠物(HipMask)。与海马体在解剖学上正确的方法取样,HipMask显示几乎相同的海马体MRglc估计与ROI技术相比表1)。
我们的结果表明,海马MRglc措施,获得与ROI和HipMask方法是准确和等效鉴别器的本地语言和MCI组。这两种技术确定降低18%的海马MRglc MCI相对于本地语言的分类精度为77%和78%。诊断上,海马MRglc显著减少广告添加到皮层MRglc测量问分离和广告组,虽然皮质措施是最好的鉴别器。这些发现符合普遍观察到,病人出现了老年痴呆的症状,大幅降低皮质MRglc已经明显。我们的数据表明,海马宠物异常的评估可能是描述MCI阶段特别有用,当记忆丧失是显而易见的,但功能赤字和皮层损伤仍然是最小的。
为多个比较,纠正我们的VBA结果显示没有皮质MRglc减少MCI相比问。删除此保守手术后,两个集群代谢减退成为明显的左后扣带和左颞叶皮层MCI患者。虽然这些结果是探索性的,他们提出的重要问题的效用皮质赤字”来形容MCI和温和的广告。实际上,一些研究显示,皮质MRglc措施不准确分类MCI患者,8 9 41可以被解释为相对缺乏的证据皮层疾病在早期的广告。5,38岁,42-47另一方面,研究包括报告遗忘MCI患者皮质MRglc赤字。5、10、30、40在我们的MCI患者中,只有5/13完成遗忘MCI诊断标准。48因此,临床样本的病人可能已经受损,因此解释的缺失严重的皮质代谢减退相比问。我们探索性VBA结果显示更大的PCC和TCx MRglc降低五遗忘MCI相比其他八MCI患者(PCC: t11= 2.30,p= 0.04;TCx: t11= 2.29,p= 0.04)。海马MRglc是减少在MCI组和不区分他们。总体而言,从我们的MCI研究主要观察海马MRglc减少皮质相对缺乏的缺陷。这些数据强调的重要性,海马在AD的早期诊断和评估表明,海马MRglc变化早,可能会失去他们的歧视MCI-AD价值比较,在其他地区变得更加丰富。
我们已经表明,HipMask方法适用于分析问和MCI患者轻度至中度的广告。可能限制HipMask方法,其中可能包括推广到其他病人样本和萎缩性海马,讨论了附录飞行。还需要进一步的研究来测试面具在不同组的患者和其他临床情况会影响海马大小、空间位移,和功能;例如,血管疾病、空间占据病变,或癫痫。
的人口老化和最近的美国医疗保险报销批准正显示一个伟大的需要快速、准确的诊断工具,以便早期诊断和协助痴呆预防战略的发展。解剖验证海马掩蔽过程我们开发可能使用的,因为它将提高解剖解剖采样的精度和速度海马MRglc从而使它有用的大型数据集。这种方法可能是使用与其他大脑区域的进一步发展。之前的研究工作表明,一般优秀的诊断精度是通过使用海马摄影测量与MRI体积措施的分类正常,MCI和广告的主题。9此外,宠物的临床诊断准确性高于其他临床措施来实现。49岁的50宠物HipMask之间的直接比较和其他建立临床措施将是相当大的兴趣在确定最优诊断评估早期的广告。本研究的结果也刺激兴趣重燃之前VBA-PET研究海马代谢赤字也不见了。这个列表包括以前的宠物研究广告,遗传风险因子和鉴别诊断。
承认
作者感谢乔安娜·福勒,大卫•Schlyer和基因杰克王从BNL宠物的宠物研究团队支持。
脚注
附加材料与本文可以发现首页网站。去www.首页neurology.org和向下滚动6月14日发行的目录找到本文的标题链接。
支持NIH-NIA拨款AG12101 AG13613, AG08051。
2004年10月1日收到。接受的最终形式2月8日,2005年。
引用
- 1。↵
德莱昂MJ,摩天SH,乔治,et al。计算机断层扫描、正电子发射断层照相术正常老化和老年痴呆症的评估。J Cereb血流金属底座1983年;3:276年-394年。
- 2。
- 3所示。
Friedland RP,布朗,巴丁格特遣部队。病理和正电子发射层析在阿尔茨海默氏症的相关性。《柳叶刀》1985年;26:228年。
- 4所示。
- 5。↵
- 6。↵
- 7所示。↵
- 8。↵
- 9。↵
- 10。
- 11。↵
- 12。↵
弗里斯Friston K, ashburn J, C, Poline jb,希瑟·J, Frackowiak r空间注册和归一化的图像。攻读硕士学位大脑嗡嗡声1995年;3:165年-189年。
- 13。
- 14。↵
Folstein细微精神状态检查。:骗子T,摩天SH、Bartus R, eds。评估老年精神药理学。新迦南:马克Powley Associates1983年;47-51年。
- 15。↵
- 16。↵
- 17所示。↵
美国精神病学协会。精神疾病诊断与统计手册(第四版)。华盛顿特区:美国精神病学协会,1994年。
- 18岁。↵
徐WH, Rusinek H,凡德P,列美国分析多模层析图像和相关地区感兴趣的大富翁。Proc学报医学成像技术:图像处理2001年;4322年:1725年-1734年。
- 19所示。↵
- 20.↵
Reivich M, Alavi,狼,et al .葡萄糖代谢率在人类动力学模型参数确定:集总常数和速率常数[18 f]氟脱氧葡萄糖和c[11]脱氧葡萄糖。J Cereb血流金属底座1985年;5:179年-192年。
- 21。↵
- 22。↵
- 23。↵
Talairach J, Tournoux p平面立体定位人类大脑的阿特拉斯。斯图加特:蒂米,1988年。
- 24。↵
埃夫隆B, Tibshirani RJ。介绍了引导。纽约:查普曼&大厅,1993年。
- 25。
Agresti a介绍分类数据分析。纽约:威利,1996年。
- 26岁。↵
- 27。
Ibanez说V,比德瑞尼P,亚历山大通用电气、et al .区域葡萄糖代谢异常不萎缩的结果在阿尔茨海默氏症。首页1999年;50:1585年-1593年。
- 28。↵
Minoshima年代,弗雷KA,培育本地语言,库尔德。保存脑桥的葡萄糖代谢在阿尔茨海默氏症:参考区域脑功能成像(PET)分析。J第一版协助Tomogr1995年;19:541年-547年。
- 29。↵
- 30.
- 31日。
- 32。
- 33。↵
德莱昂MJ,史密斯G, Convit, et al .大脑病理学在阿尔茨海默病的早期检测。:Christen Y, Churchland P, eds。在阿尔茨海默病神经生理学。纽约:斯普林格出版社,1992年;131年-143年。
- 34。
- 35。
- 36。↵
福克斯数控、Schott JM。成像脑萎缩:正常衰老阿尔茨海默氏症。《柳叶刀》2004年;348年:94年-97年。
- 37岁。↵
- 38。↵
- 39岁。
Ishii K,佐佐木M, Yamaji年代,坂本年代,Kitagaki H, Mori大肠相对保存海马轻度阿尔茨海默病的葡萄糖代谢。疯狂的Geriatr Cogn说1998年,9:317年-322年。
- 40。↵
- 41岁。
- 42。
- 43。
- 44岁。
Jagust WJ。功能成像在痴呆:概述。中国精神病学1994年;555:5-11年。
- 45岁。
霍夫曼JM Guze BH,巴克斯特LR, Mazziotta JC,菲尔普斯我。[18 f]氟脱氧葡萄糖(FDG)和正电子发射断层扫描(PET)在衰老和痴呆。十年的研究。欧洲神经首页病学1989年;29日17 (3):16-24年。
- 46岁。
杜林DW,威尔逊RS,班纳特哒,伯纳德英航,福克斯JH。预测行为障碍的阿尔茨海默氏症。J Gerontol:心理科学1991年;46:362年-371年。
- 47岁。
- 48。↵
- 49。↵
- 50。
信:快速的网络通信
你可能也会感兴趣
主题讨论
提醒我
推荐的文章
- 文章
反映了大脑皮层参与轻度认知障碍的人群任务豪雅表(希拉里·w·雅各布·b·米尔斯基Erwin l . et al。
首页神经学,2013年8月28日 - 文章
血管的负担和阿尔茨海默病病理进展威廉·j·雷蒙德•y . Lo Jagust et al。
首页神经学,2012年9月12日 - 文章
楔前叶淀粉样负担在阿尔茨海默病与胆碱能减少活动医学博士Ikonomovic,星河Klunk,一些亚伯拉罕森等。
首页神经学,2011年6月22日 - 文章
轻度认知障碍之前大脑结构的改变c·d·史密斯,h . Chebrolu d . r . Wekstein et al。
首页神经学,2007年4月16日


