成本和多发性硬化症的生活质量
一个横断面研究在美国
文摘
摘要目的:来估计当前的成本和患者的生活质量(效用)的疾病修改药物(诊断)在美国,并调查疾病严重程度的影响成本和效用。
方法:人口统计数据、疾病信息,资源利用(包括工作能力),收集和效用直接从患者的横断面邮政调查。病人被随机选中的参与者北美多发性硬化症病人注册委员会(NARCOMS)接受诊断。年平均每名患者的费用(2004美元),意思是公用事业公司样本和不同程度的功能障碍是估计从社会的角度来看。
结果:答案目标达成率为50%,1909名患者被纳入分析。平均年龄49岁,诊断以来13年。总共有10.5%的患者主要的进步,47.6%复发缓和,33.3%二级进步的疾病。总共有28.8%的病人表示经历复发在过去3个月。每个病人平均总成本估计为47215美元,年。其中,53%的人直接医疗和非医疗成本,产量损失占37%,10%的非正式护理。意味着实用程序的示例是0.698。
结论:与其他的研究一致,成本和实用程序功能能力有显著相关性。修改费用由疾病药物的比例大大低于估计在其他的研究中,包括与疾病相关的所有成本。
治疗多发性硬化症(MS)已经改变了在过去的十年中,随着新生物的疾病修饰药物(诊断)介绍了在一个领域只有对症药物治疗。新的治疗方法是在一个更高的成本比可用药物,因此它必须预计总成本的一部分由药物增加了,从本质上是一个非常小的一部分在早期和1990年代中期(2 - 5%)。1 - 6在新的治疗方法被首次引入前不久,很多世界各地进行了观察研究。其中一些有客观评估的负担女士在一个给定的国家,而其他人进行提供基线信息成本和生活质量评估的潜在经济影响新药。5、7所有的研究发现,造成成本的重要组成部分在卫生保健系统之外女士:生产力损失(病假和提前退休由于女士),非医疗成本(投资设备和适应生活条件),通过家人和朋友主导成本和非正式的护理。因此,药物治疗的重要性和药品成本的重量应考虑从社会的角度而不是从个别纳税人。未能提供估计不能通用。为例,分析了基于美国管理式医疗索赔数据库发现药物占80%到75的费用复发缓和多发性硬化症患者。13同样,在意大利的一项研究中,使用医院的成本,估计药物占成本的78%,14法国国家健康保险的研究,还包括赔偿病假和无效养老金发现药物占56%。15所有这些分析只考虑有限范围的直接成本发生在MS,而忽略间接成本和生活质量,只对特定的相关付款人对他们进行了研究。
在这项研究中,我们调查了资源消耗,工作能力和生活质量(效用)患者的大样本女士在美国接受诊断和估计成本和效用疾病严重程度的影响。
方法。
本研究关注早期的观察性研究中使用的方法在瑞典,英国和德国。9 - 11直接从患者信息收集“自下而上”,横断面邮件调查,客观估计成本相关的女士和疾病的严重程度。
病人。
研究参与者选择患者参加北美委员会多发性硬化症(NARCOMS)病人注册表。NARCOMS项目财团的多发性硬化症中心(CMSC)病人登记以便于1996年开始研究和病人女士招聘临床试验。个人女士在美国被邀请参加注册表通过直接邮件,女士中心,支持团体,NARCOMS注册网页。目前数据库包含24000多个注册者,其中大多数更新核心数据每半年。参与者提供的信息已经被批准用于研究目的的人类耶鲁医学院的调查委员会和巴罗神经学研究所。
4000名患者的样本是随机选择在所有注册病人应对最后更新和当时表示,他们对待Avonex, Betaseron, Copaxone或Rebif。因此,研究的样本是一个全国性的样本的患者目前诊断处理,而不是一个样本的总体与MS患者人群。
数据。
美国调查问卷是在这项研究中开发的,要求病人对自己的疾病和症状,资源消耗在前3个月,和当前的生活质量(效用)。邮件,病人被告知研究目标和数据的机密性,并要求与条件的研究表明他们的协议签署文档。4000份问卷是直接邮寄到病人在2003年底,和12周内目标响应率为50%。八十份问卷被排除在外,因为他们已经返回空,指示,病人死亡或不能回答,或因为一个不准确的地址。因此,分析包括1909名患者和没有反应的患者之间的性别或年龄分布差异调查问卷和那些没有。
病人参与NARCOMS用于回答调查问卷关于他们的疾病。信息的第一个症状,诊断,女士的类型,和复发的数量在过去的3个月因此直接收集问卷。残疾状况是决定使用疾病病人决定步骤(广泛性成长障碍),16基于疾病特定规模为NARCOMS调查开发步骤。的广泛性成长障碍的相关性0.958 Kurtzke扩大残疾状态量表(eds)17常用在临床设置。为了方便起见,我们报告所有分数eds分数在这项研究。
直接收集的资源消耗包括住院和门诊招生,办公室访问医生和其他卫生专业人员,考试,药物(诊断,其他处方药,在柜台药物),医疗器械,改变护理或房子,服务,和非正式的保健从家人和朋友。除了住院和重大投资,资源消耗问题关注研究前的3个月。收集所有资源的使用,不论谁支付它。的大样本包括病人没有被问及他们的特定的健康计划。相反,除了住院,他们被要求显示为每个资源是否他们自己支付还是保险覆盖。生产力损失是基于短期缺席工作,工作情况的变化导致收入的减少,和提前退休,所有相关的女士。休闲时间的损失,尽管相当大的病人,成本并不包括在主要的计算。相反,年龄和sex-adjusted质量调整寿命损失(QALY)由于女士与正常人群相比,变成了一个估计的无形成本9 - 11,18通过评估意味着QALY损失女士暗示愿意支付之。19、20无形的成本不过分开了其他成本,作为他们的计算的方法把它们排除在成本效益分析QALY作为一个结果测量。
效用分数与有效的收集,通用的个性化工具,EQ-5D。21公用事业规模偏好给予健康状态之间的锚完全健康定义为1和0的死亡。描述性EQ-5D由五个问题关于五域与健康有关的生活质量(流动性,自我保健,平时活动,疼痛/不适、焦虑/抑郁)和视觉模拟量表询问当前的健康。答案可能相关的健康状态分类系统获得实用程序。22、23这种分类最近改编和验证在美国,24这些美国公用事业成绩被用于这项研究。然而,随着人口EQ-5D成绩尚未公布,qaly估计无形的损失的计算成本是基于英国的分数。
估值。
主要的描述性分析从社会的角度来看,即。,它需要考虑到所有的成本,但不管谁付钱。每个病人年平均成本的成本计算推断一整年的三个月期间,假设在任何给定的季度,类似的患者数量在一个大的示例将使用一个给定的资源类似的问题,包括复发。
单位成本获得大量的公开来源。住院保健是基于按成本(医疗成本和利用项目、卫生保健研究和质量,www.ahrq.gov hcupnet)。门诊使用CPT编码(当前程序价值术语CPT 2004和www.cms.hhs.gov)。处方药成本估计的加权比例品牌仿制药(www.drugstore.com,www.eckerd.com),而在柜台药物的成本获得了当地药店的电话调查。服务使用的患者,通过比较验证了利率由美国卫生保健协会。间接成本是基于就业的成本使用全国平均每小时工资17.41美元+雇主的成本率平均为30%(美国劳工统计局(Bureau of Labor Statistics) 2003年,www.bls.gov海洋能)。非正式护理估计工资总成本占可支配收入的50%(对应于税后平均工资的65%)。2004年所有单位成本,或膨胀到2004年使用消费者价格指数(CPI)。
分析。
描述性分析提出了患者的比例使用给定的资源和每个病人的年平均成本在样例和残疾。此外,诊断系统之间的差异进行了探讨。
缺失值和异常值是一种系统化的方式处理。当病人表示使用给定类型的资源而不是数量,例如,磋商,磋商的平均数量的用户资源的估算。同样,当病人表示进行了投资,例如,修改房子或汽车但忽略成本,平均成本表示患者使用相同的资源估算,除非一个标准单位成本是可用的,例如,例如,坡道和楼梯电梯。同样的,当成本由患者大大不同于一个可用的标准单位成本,后者使用。使用服务,比如家里的帮助,变异是非常高的,外面躺着的离群值被定义为±1 SD的意思是,和它们的值调整到SD。小时的非正式护理都以相同的方式调整。最后,少量的资源女士显然不相关(例如,咨询牙医,妇科医生)被排除在外。
结果。
表1样本的人口统计数据和疾病信息。的平均年龄为49.2岁,95%的病人低于退休年龄(65)。其中,41%的人工作全职(63%)。约五分之一的病人改变了他们的工作或减少他们的工作时间,而31.5%的样本已提前退休,因为女士一个额外的10.9%报告说,他们已经停止工作,因为女士没有表明他们收到了提前退休养老金。
起初症状平均年龄为30.2岁,28.8%的患者复发在过去的几年中,约有三分之一的这些要求IV-steroid治疗。
约三分之一(34.8%)的患者有轻微的疾病定义为eds≤3.5,大多数(42.7%)有中度定义为女士eds 4.0至6.0,22.1%有严重疾病和eds≥6.5,只有0.4%的失踪。
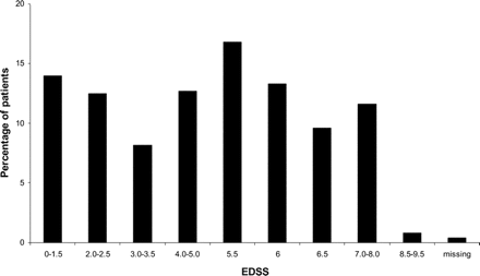
图1显示了eds病人的分布。
图1所示。比例的患者在不同级别的扩展残疾状态量表(eds) (n = 1909)。更容易理解和其他研究相比,病人疾病步骤确定分数已经改变了eds分数根据作者的原文翻译:0/1 = 1到2.5;2 = 3.0 - 3.5;3 = 4.0 - 5.0;4 = 5.5;5 = 6.0;6 = 6.5;7 = 7.0 - 8.0;8 = 8.5到9.5。
成本。
每个病人年平均总成本约为47215美元,其中29634美元或62.8%是直接成本,如所示表2。使用的最大成本的礼物是诊断,几乎所有病人的样本,和长期的生产损失,其次是非正式护理的必要性。住院病人护理是有限的,平均每个病人2天,一年,基本上时间花在疗养院。磋商的成本主要是物理疗法,其次是神经学家,精神病学家和心理学家。测试成本由MRI脑部或脊柱(成本)的69%,在26.7%的样本。除了诊断,77.6%的患者也使用其他处方药,主要是抗抑郁药(52.7%)和anti-spasticity药物(48.5%),其次是抗疲劳药物(38.4%)。非处方药使用除了58.1%的样本。所有使用药物与疾病严重程度相关。服务使用22%样本,由家里的帮助和家庭护理(86%的成本)。投资成本的很大一部分(38%)与运动(汽车修改、轮椅、摩托车)。
病假的平均数量约为2.8每位患者的完整的样品。考虑到兼职工作,使用患者的每组中的患者成本估计为1305美元,在533美元。生产力损失减少工作时间由于女士估计为2182美元,而提前退休女士由于成本是13685美元。添加一个生产力的损失10.9%的患者停止工作,因为疾病,失去工作的成本由于女士将会增加到18436美元。
在先前的研究中,功能状态是高度预测的成本,尽管更严重的残疾也与更高的年龄有关。因此,间接成本占更高比例的成本在温和的疾病的层面,随着越来越多的病人在工作年龄(图2)。
图2。年平均每个病人的成本水平的功能性疾病患者的能力修改药物(诊断)。年平均每个病人的成本从32297美元增加轻微残疾64492美元严重残疾。成本增加是由于更高的非正式照顾的需要,适应服务和投资环境。DMD患者使用低扩大残疾状态量表得分高于6,表明患者停止DMD之间最后北美多发性硬化症病人注册表更新和调查委员会(6%)患者进展为严重残疾。
符合研究目标,94%的患者还接受一个新诊断的调查。因此不能直接推断每个病人的成本估计成本的女士在美国。然而,随着eds已被证明是迄今为止最强的预测总成本没有复发,粗略估计可以通过简单地调整模式用来估计国家使用(52%,数据文件)。根据这一假设,每个病人平均总成本和年约40000美元,其中约56%将直接成本和22%诊断系统图3)。复发患者在过去3个月有更高的成本比病人没有(不含病人不确定)。对病人在eds 5.0及以下的水平,约为1561美元的差异三个月期间,提供一个估计的近似成本平均复发。
图3。成本分配不同类型的资源,调整估计国家使用疾病修饰药物(DMD)。估计多发性硬化症患者的平均成本在美国,我们调整了使用新模式估计全国平均水平是52%。没有改变在缺乏其他成本数据,规模扩大残疾状态已被证明是迄今为止最强的预测总成本(在没有复发的情况下)。在这种假设下,每个病人平均总成本和每年将大约40000美元。
大多数患者接受Avonex, Betaseron,或Copaxone,只有一小群Rebif由于最近引入的这种药物使用的调查。然而,这些疗法似乎不习惯在同一病人。Avonex和Copaxone更温和的疾病:Copaxone Avonex 41%的患者和38%有eds Betaseron低于4.0相比,25%的病人。在天平的另一端,25%的患者在Betaseron eds 6.0以上,相比Copaxone Avonex只有18%和21%。针对成本和eds相关性强,因此很难比较不同治疗患者的成本。
社会的角度提出了我们的主要结果。作为一个指示,我们直接成本的比例估计可能由一个典型的健康计划支付76%或22585美元,根据以下信息或假设:对资源可能不是完全由保险,等服务,设备,适应,和投资,我们问病人他们不得不支付多少。接受住院治疗,医生服务和药物,我们假设患者女士将全面覆盖。对于辅助医疗服务,我们认为部分覆盖。
实用工具。
公用事业成绩可供1878名患者,失踪答案EQ-5D无法估算。样本中平均效用是0.698 (0.206 SD),和分数与疾病严重程度相关表3)。公用事业是降低总体复发的患者经历了前三个月期间,由0.094。因此,复发的QALY损失持续1到3个月估计在0.008到0.023。
各级,MS患者效用较低分数比一般人群的年龄,sex-matched样本(使用英国值计算)。这种差异转化为平均减少0.255 qaly每年每个病人。使用一个愿意支付60000美元的QALY变胖或变瘦,估计由一群美国卫生经济学家,25我们估计每个病人无形成本为15315美元。与英国医疗系统,而不是我们的分数,效用值样本被约0.1低,各级疾病的严重性。因此可能人口值遵循相同的趋势,这将导致类似QALY损失在这两种情况下。
讨论。
在这项研究中,我们调查的成本新诊断的疾病后的女士介绍,收集详尽的信息直接从大样本的所有类型的患者。
介绍了新疗法时,最初的使用往往是患者对可用的选项,或患者最严重的症状。观察性研究的早期使用可能因此不代表,很难确保病人在治疗和治疗那些不具有可比性。问题是相同的,当治疗的普及率非常高,因为患者治疗不治疗可能是那些认为这些并不表示失败了由于缺乏效应或不可接受的副作用。然而,很难随机化患者获得治疗治疗或不治疗在成本一项观察性研究中,当替代选择本质上是缺席。因此本研究局限于患者治疗,即。,a subsample of the MS population, which also makes comparison to a control group from the normal population irrelevant.
正如所料,成本在我们的研究中均高于之前报道在美国,有两个主要原因。首先,相比唯一研究报告成本在美国引进干扰素和醋酸glatiramer之后,13我们包括所有类型的成本不管付款人,使用自下而上的数据收集从病人而不是数据库。因此,成本的比例由于诊断系统在我们的研究是一个在另一个的一半我们研究的8457名患者(34%到75%)。13其次,早些时候相比成本研究,药物成本更高的诊断系统的成本,改变成本归因于直接医疗费用的比例。以人群为基础的研究在奥姆斯特德县估计宣传医院和门诊费用在两个主要的医疗中心县,由疾病的严重程度。6年度比林斯(1993)包括2463美元用于患者eds低于4.0至6575美元的eds 7.0及以上。另一项研究在1995年估计费用从私人保险的角度为7677美元,13048美元的医疗保险和医疗补助计划的11391美元。26只有一项研究估计成本从社会的角度来看,包括服务、设备、非正式的护理,和生产力损失。5总成本(1994)估计为34103美元,其中52%是间接成本和19%的非正式护理成本,而药物代表不到3%。相比之下,间接成本占44%,11%的非正式护理成本,直接成本包括服务和适应16%,29%,药物诊断(22%)在我们的研究中,当数字调整全国水平52%的诊断系统的使用。然而,它必须承担记住这调整成本可能过度和低估,因为它是不可能调整其他成本。有趣的是,有证据表明,患者诊断更集约管理,因此总体成本上升。另一方面,这可能是由低成本平衡由于减少复发率。然而在欧洲早期研究表明我们有成本不不同病人之间或不是诊断,当控制eds和复发,10,因此,更有可能成本略有高估了。
然而,有缺点的自底向上的方法。首先,很难确保真正包含的样例的患者患者人群的代表。它将关键取决于所选择的研究中心和病人的选择在这些中心。第二,很难断言,收到病人的信息是完全准确的。完全匿名的保证的信息经常会阻止比较病人的答案,例如,医疗图表。它也将不允许直接明晰的答案。第三,收到的信息有时是很难解释,作为某些病人使用自己的语言资源项目,或者它将包含大量消耗的物品只有一个或几个患者,导致一个复杂的分析。,回忆期可能会影响的选择答案。
我们已经试图减少这些问题。样本是随机抽取的女士从一个大国家注册表,确保然而邮件解决样本代表估计患病率的类型女士此外,样本量大,确保所有程度的疾病严重程度将会在足够数量允许的分析。然而,由于分布式监测诊断系统包括患者的子群,自我报告,基于NARCOMS性质,部分电子数据库,以及邮政调查的模式,似乎样品有点偏向年轻那么严重疾病患者。不到1%有eds 8以上,有些病人可能会要求代理完成邮件,很少患者制度化。另一方面,由于这一事实病人参与注册表是用来完成调查问卷,可以将接收到的信息的高质量。同时,资源列表提供的问卷由MS患者最常使用,选择框,为了最小化需要解释和所需的时间完成问卷。回忆期限制在3个月,除了重大事件如住院住院或购买轮椅或摩托车等。虽然药品召回段1个月通常主张,认为这个特定类型的病人的治疗有着清醒的认识,因此,最好使用相同的回忆期对于大多数的物品而不是添加第三个时期。在德国早期的经验研究表明,病人报告资源利用率非常准确。当比较病人的答案关于住院医疗图表,不到半天的区别(27天的平均停留时间)。10
我们的结果证实了我们之前研究的总体结果在本系列中,使用相同的方法。9 - 11成本与功能残疾高度相关,最为明显的非正式护理和直接成本由于需要更多的服务和投资,而效用随增加残疾。
然而,很难直接比较成本,即使使用相同的方法,由于国与国之间的差异在卫生保健提供一般来说,尤其是欧洲和美国之间。目前,主要的直接成本的成本动因是新的治疗方法,而使用强度将解释大部分的国与国之间的差异。为了更好的比较,我们提出了一个估计,诊断系统的使用已经调整到国家层面。在这种假设下,诊断系统占总成本的22%,直接成本的48%左右,大大低于估计在早期研究中使用索赔数据。13然而,我们的估计只是象征,调整其他成本是不可能的。最近的文献的成本水平的残疾而成本在数量有限的研究27特别是发现很少的协议研究关于成本eds的更严重的水平。然而,研究未能彻底调查的起源的差异在这些研究中,例如,定时取样,包括类型的成本,医疗供应,价格水平。然而,识别可能的解释,如治疗哲学、可用性的药物,改变患者的预期,收入水平和家庭结构。
与成本,公用事业更普遍。当使用英国关税评估工具,我们的结果非常类似于在我们先前的研究发现在欧洲,除了集团有严重残疾(eds > 6.0)。这是最有可能的原因,在5%和2.5之间的欧洲研究患者在eds水平高于8.0,而这是只有0.8%的病人在我们的样例。如果患者eds 8.5到9.5的比例增加到4%,使用平均效用值的病人回答调查(折现异常值根据方法用于服务的成本,例如),严重的效用分数组就相当于欧洲中找到的值。有趣的是,当我们使用新的关税,整体分数高0.1左右。同样的结果被发现的作者关税。28可以有多个原因。可能是美国人价值观的某些领域生命质量不同于英国人。也有可能值提高了一般自英国估计关税的时候。然而,绝对值并不重要时,例如,评估进展的疾病对患者的影响。这样的评估是由效用之间的差异不同程度的严重程度,而这些都不是不同的从欧洲值(< 0.15之间的轻度和中度,中度和重度之间p < 0.3)。
最后,尽管大样本,它很难比较成本之间的病人在不同的诊断。人们普遍认为治疗使用稍微不同的病人。事实上,在我们的样例Avonex和Copaxone更常用于下级患者功能的限制,而病人Betaseron组有更先进的疾病。因此成本会是不同的。当限制分析患者中度组(eds 4.0到6.0),似乎所有类型的成本(直接成本不包括诊断、间接成本和非正式的保健需求)是所有三个治疗比较。这表明,在之前的研究发现,9 - 11eds是迄今为止最强的预测成本,和任何区别治疗取决于复发率和疾病进展。我们的研究的本质不允许这样的评估也不提供信息的价值投资到这些治疗方法。
承认
作者感谢彼得Kaskel博士、MBA(企业成果研究,先灵葆雅公司),为项目的支持,和皮特•富勒顿博士(西雅图大学),为项目的建议。
脚注
离德国先灵葆雅公司支持的一种无限制的补助金。
作者报告没有利益冲突。
2005年11月14日收到。2006年2月28日接受的最终形式。
引用
- 1。↵
- 2。
Blumhardt L,木头c .多发性硬化症的经济学:疾病研究的成本。Br J地中海经济1996年;99年-118年。
- 3所示。
福尔摩斯J, Madgwick T,贝茨d .多发性硬化症的成本。Br J地中海经济1995年;181年-193年。
- 4所示。
Henriksson F,琼森b .多发性硬化症的经济成本在1994年在瑞典。药物经济学1998年;597年-606年。
- 5。↵
- 6。↵
- 7所示。
- 8。
- 9。↵
Kobelt G,林格伦P,帕金D,琼森b .成本和多发性硬化症的生活质量。一个横断面观察研究在英国。EFI 399年研究报告。斯德哥尔摩:斯德哥尔摩经济学院,2000年。
- 10。↵
Kobelt G,林格伦P, Smala,琼森B,集团总经理。成本和多发性硬化症的生活质量。在德国一个横断面观察研究。欧元J卫生经济学2001年;2:60-68年。
- 11。
- 12。
- 13。↵
Ollendorf哒,Jilinskaia E醋酸glatiramer Oleen-Burkey m .临床和经济的影响和β干扰素治疗多发性硬化患者中管理式医疗的人口。J等保健制药2002年;8:384年-391年。
- 14。↵
- 15。↵
Kazas E, Grisouard R, Zanni J, et al .多发性硬化症治疗干扰素β:患病率和公共卫生基金2000年的成本。Revue医学de l 'Assurance病2003年;34:147年-156年。
- 16。↵
- 17所示。↵
Kurtzke j .评级在多发性硬化和神经损伤扩展残疾状态量表(eds)。首页1983年:1444年-1452年。
- 18岁。
Kobelt G, Berg J,阿什利D, Hadjimichael O,琼森b .成本和多发性硬化症的生活质量。在美国一个横断面研究。斯德哥尔摩:斯德哥尔摩经济学院,2005年。
- 19所示。↵
Fuchs诉经济学家、价值观和医疗改革。我经济转速1986年86年,:1-24年。
- 20.
纽豪斯JP。美国和英国卫生经济学:两个学科由一个共同的语言?卫生经济学1998年;7:79年-92年。
- 21。↵
- 22。↵
多兰P, Gudex C、P,威廉姆斯EuroQol社会关税:结果从一个英国普通人群的调查。纽约:卫生经济学中心,纽约大学1995年。
- 23。
- 24。↵
- 25。↵
理查森Cutler D, e .健康的价值:1970 - 90。经济学论文牧师程序1998年;88年。
- 26岁。↵
- 27。↵
- 28。↵
信:快速的网络通信
你可能也会感兴趣
相关文章
-
没有找到相关文章。
提醒我
推荐的文章
- 文章
Prenusinersen经济和健康相关的生活质量的负担脊髓性肌萎缩乔治娜·m·钱伯斯Stella Nalukwago Settumba,凯特·a·凯里等。
首页神经学、08年6月,2020年 - 文章
社会经济成本和阿尔茨海默病的生活质量在加那利群岛,西班牙胡里奥Lopez-Bastida,佩德罗Serrano-Aguilar Lilisbeth Perestelo-Perez et al。
首页神经学,2006年12月26日 - 文章
创伤性脑损伤在新西兰的费用以人群为基础的研究证据
布莱登Te Ao,保罗·布朗,马丁Tobias et al。
首页神经学,2014年9月26日 - 文章
身体残疾并发症进展的影响在多发性硬化症婷婷,海伦Tremlett,朱峰et al。
首页神经学,2018年1月3日


