医院体积和中风的结果
这有关系吗?
文摘
背景:尽管hospital-outcome关系一直在探索各种程序和干预,对年度中风入院卷和中风死亡率之间的关系。我们的目的是确定设备类型和医院成交量与中风死亡率相关。
方法:所有从医院确定缺血性中风住院数据库(HMDB)发病率从2003年4月到2004年3月。HMDB是一个国家数据库,包含患者的立场社会人口,在加拿大诊断、过程和管理信息。缺血性中风是通过病人的主要诊断记录使用国际疾病分类(9和10)。多变量分析与广义估计方程调整人口结构特点,提供专业、设备类型、医院体积,观察机构的集群。
结果:总的来说,26676例缺血性中风患者承认606医院。七天的放电的中风死亡率为7.6%,死亡率为15.6%。不良结果更频繁的在患者容量设施(< 50中风/年)比在高容量治疗设施(100年至199年,> 200名中风患者/年)(7天死亡率:9.5和7.3%,p< 0.001;9.5和6.0%,p< 0.001;放电死亡率:18.2和15.2%,p< 0.001;18.2和12.8%,p< 0.001)。坚持多变量调整后的区别或者当医院体积分为四分位数。
结论:年度医院高成交量持续降低中风死亡率。我们的研究鼓励进一步的研究,以确定这是由于病例组合的差异,更有组织的护理在大容量设施,或不同的性能或护理过程的设施之一。
在过去的二十年里,许多研究都集中在病人量之间的关系在卫生服务交付和临床结果。高病人量通常与低死亡率,尽管大多数研究关注诊断程序或手术干预措施。1
过早死亡和残疾的主要原因,中风仍然是一个巨大的全球公共卫生挑战。2、3虽然临床预测中风的死亡率已经很成熟,临床结果没有其他健康保健因素系统地探讨。特别是,有一个缺乏研究评估缺血性中风后医院特征对临床结果的影响。追求最优的医疗保健急性缺血性中风患者要求评估这些卫生系统因素。
本研究的主要目标是确定设备特点(中风病人的医院类型和年度卷)与缺血性中风后患者住院死亡率有关。我们的二级目标是识别其他系统早期中风死亡率的因素。
方法
我们确认所有缺血性中风患者承认急症护理医院之间在加拿大4月1日,2003年3月31日,2004年,通过医院发病率和死亡率数据库(HMDB)由加拿大健康信息研究所。HMDB是一个国家数据库,包含患者的立场社会人口,在加拿大诊断、过程和管理信息。报告在加拿大HMDB是强制性的。主要包含标准是一个进入急性护理设施与缺血性中风的主要诊断识别通过病人的主要使用国际疾病分类诊断记录,9 (ICD-9)或10 (icd - 10)修订(ICD-9码433.01,433.11,433.21,433.31,433.81,433.91,434.01,434.11,434.91,和icd - 10编码I63 I64)。4、5所有省份和地区,除了马尼托巴省和魁北克省,使用icd - 10编码。我们应用定义的方法作为卫生保健研究和质量计算7天住院死亡率和放电对缺血性中风的死亡率。6使用7天的理由包括住院死亡率高的优势情况确定和有限长度的影响保持在比较不同的设施。之前一直使用的经济合作与发展组织对比较不同国家中风和急性心肌梗死之间的结果,因为其他指标(30天中风死亡率)可能不是捕获死亡率出院后发生特别重大差异存在于不同设备之间的滞留时间。7、8此外,急性中风保健的条款,识别中风的机制,最重要的是和决策通常在入学的第一个星期。9
因为主要预后差异,TIA患者脑出血和蛛网膜下腔出血被排除在外。记录包含无效的医疗数据被排除在外。
加拿大的卫生保健系统包括医生和医院的服务和政府资助的普遍的公共供给缺乏共同支付和其他病人的指控。10全国有680个急性护理设施HMDB报告,涵盖所有急症护理医院的99.8%。中风患者承认606年急性护理设施包括学术和社区医院和农村和城市设施从所有省份和地区。
我们评估以下变量之间的关系和早期中风死亡率:患者年龄(归类为< 65年,65年到74年,75年到84年,和≥85岁),合并病症及设施类型的位置(城市/农村),教学设施状态(学术/非学术),最负责任的供应商,和年度接受医院治疗缺血性中风的病例数(分类)。住院病人医院之间转移,被定义为表示最初的急性护理设施的日子。
我们使用了Charlson-Deyo伴随疾病指数量化患者合并病症。11这个指数是一个总结分数基于17医疗条件的存在与否。得分为0意味着没有风险指数,和更高的分数表明更大的伴随疾病的负担。本研究的目的,Charlson-Deyo指数分数分为,一个,两个,三个或更多合并病症。12、13住院期间严重并发症(脑出血、肺炎、褥疮、尿路感染)也确定了。周末被定义为周五午夜至周日午夜。其他时候都定义为工作日。14
社会经济地位是通过一个方法由加拿大统计局估计分配社区五个同样大小的昆泰基于收入的数据报道,2001年的人口普查。15有较高的五分位数价值相关联的一个居民区居民的社会经济地位较高的区域。
医院教学状态的定义根据加拿大学术医疗组织的协会。我们医院体验定义为每年的中风患者承认个体医院2003年至2004年财政年度。16这个定义是基于之前的报告调查住院患者死亡率特定诊断或在社区接受具体程序设置。1、17
每个医院HMDB加密都指定了一个惟一的标识符。这个标识符是用来确定每个医院的年度急性缺血性中风体积导致数据库。像预期的那样在行政临床数据库,没有具体的数据可用于急性神经状态(例如美国国立卫生研究院卒中量表)或功能残疾的措施(如Barthel指数和改良Rankin规模)。然而,我们可以调整其他一些重要的临床预测因素的多变量分析,包括年龄,性别和共存的疾病。
统计分析。
描述性统计是用来评估各种病人和医院之间的关系特点和中风死亡率。比较这些特征在卷组(表1),我们使用皮尔逊χ2测试分类变量和连续变量的单向方差分析。
两种不同的分析方法被用来确定医院成交量中风死亡率的影响。首先,医院体积测量的数量每年中风招生。基于近似标准的每周平均每年中风患者(< 1 /星期,每周1 - 2,2 - 4 /周,每周4或更多),每个医院年度中风入院率分为:低容量(< 50例/年),介质体积(50至99例/年),中卷(100到199例/年),和高体积(≥200例/年)。第二,设备被分成四分位数基于年度病人卷(四分位数1 1 62例/年;四分位数63 141例/年;四分位数142 197例/年;和四分位数4 > 198例/年)。
我们使用广义估计方程以适应模型(链接功能:分对数),考虑到集群的病人在机构和提供更准确比将CIs提供的简单逻辑回归。复合对称(交换)被选为相关结构。18、19医院的体积和中风死亡率之间的关系表示为优势比(或)和95%可信区间。
发展模型,p< 0.25单变量分析是用作筛选截止。这些因素达到这种程度的意义被包含在多变量分析。只有变量实现p< 0.05在最后的多变量模型。
潜在的年龄和性别之间的双向交互选择先验,和医院类型(教学状态、位置)和中风管理经验进行了探讨。没有交互条款意义重大。
中风体积之间的关系在每一个医院和机构代表是死亡率在一个散点图和死亡的预测概率计算使用分段多项式回归(医院体积表示为连续变量)。分段多项式的强度分析是他们调整的灵活性和更好的表示数据非线性关联。20.
我们也使用随机效应模型来评估我们的结果的一致性。医院风险调整死亡率为每个卷组来自其他作者报道随机效应模型。21
所有统计分析使用商用软件(SAS统计软件1999 version 8,卡里,数控,SAS研究所Inc .和占据7.0版本,StataCorp LP TX)。
道德。
研究伦理审查委员会批准的协议是在圣迈克尔医院,多伦多大学,多伦多,加拿大。病人的身份是完全匿名的,不需要特定的知情同意。数据池中心医院的身份是不可见的。
结果
我们分析了26676例缺血性中风承认加拿大各地的606家医院从4月1日,2003年,2004年3月31日。平均年龄是74±13年;5440(20%)小于65年,和5283年(19.8%)超过85年。有一个类似比例的男性(51%)和女性(49%)。百分之二十的患者在教学医院接受治疗,24%的患者承认农村设施,和17%的住院最负责任的供应商是一个全科医生。三千三百零四例(12.4%)患中风的病人住进了重症监护室(ICU)。平均住院时间为16天(范围1到115)。表1总结了特点的病人在每个类别根据年度医院体积。
有肺炎的发生率明显降低(3.4% vs 2.9;p= 0.03)和尿路感染(2.3 vs 3.1%;p< 0.001)在大医院。没有观察到显著差异为其他并发症包括:肺栓塞、深静脉血栓形成,颅内出血和褥疮性溃疡(表1)。
住院死亡率。
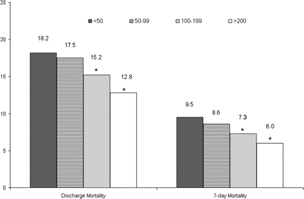
总体而言,7天住院死亡率为7.6%(2039/26676)在放电和死亡率为15.6% (4165/26676)。分配的年度医院中风死亡率和制度提出了体积图1从0到47%的所有设施,有四个异常值42至47%。机构在低容量范围从0到47%,死亡率在介质体积2.4到34.8%,在中体积3.1 - 27.8%,6.0到21.9在大医院。
图1医院机构中风死亡率体积
散点图显示机构通过年度数量的缺血性中风死亡率设施(医院中风卷)。线代表医院死亡率的预测概率根据分式多项式回归分析。每个点代表观察到的死亡率的设施。
原油和风险调整死亡率由设备组所示图2和图3。医院总成交量降低中风死亡率高。7天的死亡率降低37%在大医院相比,容量设施(6.0% vs 9.5;p< 0.001)。结果类似医院卷分析作为四分位数时,7天死亡率为9.4,7.4,7.8,6% (p< 0.001)为四分位数1、2、3和4。
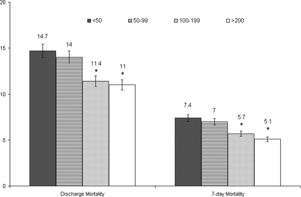
图3风险调整后的死亡率由设施群
这图显示了风险调整死亡率由设施群来自随机效应模型。随机模型构造的影响占医院结果使用占据命令xtlogit成交量。调整死亡率的体积,医院死亡率调整年龄、性别、Charlson指数,进入重症监护室,最负责任的供应商,承认在周末,邻居收入、设备类型(教学/ nonteaching)和地点(城市/农村)。酒吧内数字表示每年每100名中风患者数量的事件(死亡率)为每个设备组。*p< 0.001时,中风死亡率与少量设施(不到50中风患者/年)。我= 95%可信区间。
排除interfacility转移并没有改变结果的7天住院死亡率为11.3,10.0,9.0,8.4%,低收入,中等,中等和高容量的医院。
在单变量分析(表2)、年龄、设施类型,进入加护病房,周末承认,低收入社区,和年度医院体积与7天死亡率和中风死亡率有关放电。农村位置和肺栓塞与7天死亡率有关,而类型的卫生保健提供者(全科医生和专家)、尿路感染、褥疮性溃疡在放电只与中风死亡率相关。
表3多变量分析的结果显示使用广义估计方程。在调整了年龄、性别、合并病症等,患者在medium-high-volume(100年至199年中风患者/年)和大容量(> 200中风患者/年)中心有一个23% (95% CI 64 - 92%)和34% (95% CI 53 83%)减少7天住院死亡的几率比少量设施。死亡率在放电结果相似。主要并发症包括时也获得了类似的系数模型中或者当interfacility转移被排除在分析之外。其他老年患者住院死亡率预测因素,进入一个ICU,承认在周末(表3)。类似的结果通过使用随机效应模型(数据未显示)。
讨论
在这个大人群为基础的研究中,我们发现低年度医院中风体积,周末录取,进入加护病房,和先进的年龄与7天的死亡率增加有关。同样,低年中风招生,先进的年龄,招生ICU,全科医生是最负责任的供应商,和较低的社区收入在放电与死亡率增加有关。
已经有了较大的进步,在过去的几十年中风预防急性治疗和康复,但不太重视变化的影响在中风死亡率的交付服务。16日,25日- 27日
虽然测量和理解病人数量之间的关系和结果的交付服务已经探索了自1970年代以来,17日,27 - 29大多数研究都集中在外科手术和医疗干预措施。降低死亡率在大医院已经报道了冠状动脉血管成形术和搭桥手术,主动脉瘤修复,手术治疗肺癌、胃癌、胰腺癌、大肠癌和乳腺癌,髋关节置换和经尿道前列腺切除术等。28日,34大部分的研究都是在医院开展,包括相对少量的病人。在神经科学领域,研究volume-outcome关系已经进行了不同的手术包括大脑肿瘤切除,脊柱手术,头部创伤,颈动脉内膜切除手术,脑动脉瘤手术。例如,研究表明,住院死亡率增加当一年一度的颅骨切除术对动脉瘤的数量低于30,当颈动脉内膜切除手术是由缺乏经验的外科医生(< 5程序/年)。19日,27日,35岁的36
先前的研究表明,临床状况的管理经验可以直接影响患者的治疗效果(“熟能生巧”)。手术条件,效果可能是双重的:通过直接增加手术的经验和间接改善结果通过更好的实践和综合医院护理。17日,30日,37岁
护理流程差异设施与高、低年中风体积可以解释观察到的体积和住院死亡之间的关系,并有可能改善这些过程在所有医院使用等项目“指南”在美国和加拿大中风在加拿大的战略举措。38-40的确,这说明了潜在的广泛的7天住院死亡率之间的结果小到中型的医院,暗示(尽管估计是未经中风严重性),一些规模较小的医院可能会提供很好的照顾。
影响因素早期中风死亡率可能不同于变量预测长期的结果;事实上,中风的严重程度(即。,NIH Stroke Scale score) is the most important predictor of early mortality from a neurologic death. Previous studies of stroke patients reported in-hospital mortality rates ranging from 3 to 9%, but analyzed overall hospital mortality rather than at 7 days.16日,41-44大多数研究发现高龄,预先存在的充血性心力衰竭,心房纤维性颤动住院死亡的危险因素。华盛顿大学的一项研究4423058年的回顾性队列分析住院死亡率从137年社区医院缺血性中风患者。他们发现,每年医院体积归类为< 100年,100年到299年,> 300年不与死亡率相关。同样,德国中风注册中心研究小组分析了104年中风死亡率地区中风中心。16共有13440名中风患者包括和总体的死亡率是4.9%。如此低的死亡率可能解释为中风的严重程度的差异和区域包含的中风中心,它有一个更高层次的专业知识比一般急性保健设施。然而,在单变量分析中,大容量设施(> 250年中风治疗/医院)的死亡率明显降低,但这种联系是困惑的年龄和没有显著预测多变量分析。
之前有来自加拿大的数据表明,周末承认与早期高死亡率相关。14日,45发现Charlson-Deyo合并疾病指数得分并不是与早期中风死亡率并不出人意料,因为早期中风的重要决定因素的理论结果是脑损伤的严重程度,无论合并病症。相比之下,后死亡率由于吸入性肺炎,肺栓塞物,或其他的并发症优先影响重大风险患者疾病。16日,26日,42岁的46岁是很重要的,性别不存在的预测早死在这个大的群体。几项研究已经得出结论,女性是可怜的预测结果缺血性中风患者,溶栓的效果可能改善。47然而,性别似乎是一个因素后的结果,类似于共存疾病的作用。48岁,49
我们相信,我们的研究是一个重要的第一步了解中风的结果和医院体积之间的关系。这些结果似乎支持集中的想法中风保健地区中风中心。另一方面,而区域化的中风治疗可改善中风的结果(通过减少贫穷的结果与治疗相关的风险容量医院),这种策略并不总是可能的,可能会限制及时获得溶栓地理原因。
我们的研究有几个优势。首先,本研究做了全国而不是在几个有针对性的机构或地区中风中心。其次,它包括大量的病人承认广泛的医院。第三,评估的结果是客观的,而不是容易研究的偏见。第四,我们的结果是一致的通过不同的分析方法(医院体积分为四分位数,排除interfacility转移,随机效应模型)。最后,我们的研究显示一个健壮的医院数量在volume-outcome效果分析与缺血性中风病人。
一些局限性值得评论。首先,我们使用行政健康数据,缺乏信息中风严重性和其他临床因素需要详细的治疗调整。可能是大容量教学设施更有可能收到严重的中风患者由于对溶栓治疗,而且严重的中风患者,不会恢复,不太可能被转移到大容量设备专业护理。然而,我们的分析并考虑患者年龄、合并病症及进入加护病房,对中风的调整也很重要的复杂性。此外,我们也试图解决这个限制与排除转移通过分析结果,这可能潜在的偏见的结果如果不太严重的患者转移到大容量的机构。第二,我们有限的信息过程中风保健。虽然我们显示了volume-outcome效果,这个观察研究不确定的机制高情况下卷可以转化为更好的结果。也有可能其他不可测量的变量,而不是包含在分析(例如,数量的急症护理床、医院资源)可以解释观察到的差异。第三,我们知道在编码不一致,包括多种疾病和并发症,存在于管理数据库,可能掩盖了任何真正的协会。最后,尽管行程编码错误仍然可能,很可能,鉴于先前的研究使用加拿大的管理数据显示高特异性的行程编码,5日22这样的错误导致减少敏感性和underascertainment情况下,而不是重要的误分类的偏见。
我们国家以人群为基础的研究显示一个健壮的逆医院体积和中风死亡率之间的关系。作为招生都是由一个普遍,政府资助的健康保险系统没有共同支付,可访问性和成本不能解释我们的发现。我们的研究鼓励进一步的研究确定潜在降低中风死亡率可补救的因素。
承认
作者感谢Greg韦伯斯特和加拿大健康信息研究所(CIHI)提供数据。他们也感谢Rosane Nisenbaum流动性项目临床研究单位的统计支持。他们欣赏研究部门的支持和中风团队的成员在多伦多东部南部地区在圣迈克尔医院,多伦多,Drs提供的支持。罗伯特·海兰德保罗•奥康纳和亚瑟Slutsky。
脚注
2007年7月18日的正式发表前电子版www.首页neurology.org。
心脏的部分资金支持加拿大中风基金会(HSFC)和加拿大卫生研究机构(CIHR) Gustavo Saposnik博士。
披露:我们声明,我们参与了这项研究,我们看到和批准了最终版本。作者报告没有利益冲突。Drs。Saposnik Baibergenova有完全访问数据并进行统计分析。马丁O ' donnell博士从CIHR赠款支持。莫伊拉博士Kapral支持一个新的调查员从CIHR奖,还获得了加拿大中风的支持网络和大学健康网络女性健康计划。迈克尔·希尔博士是心脏和中风基金会支持的阿尔伯塔省/ NWT /ν和加拿大卫生研究院的研究。这些赠款是基于竞争上获得应用程序发布后发放广告。研究人员是这项研究的发起人。没有一个支持机构(CIHR HSFC, CSN)输入设计,对数据的访问,分析,解释,或出版物的研究。
2006年12月6日收到。2007年4月16日接受的最终形式。
引用
- 1。↵
- 2。↵
- 3所示。
- 4所示。↵
- 5。↵
- 6。↵
AHRQ质量indicators-Guide住院质量指标:hospitals-Volume的护理质量,死亡率和利用率。马里兰州洛克维尔:卫生保健研究和质量,2002年。修改4(2004年12月22日)。AHRQ酒吧。02-RO204。
- 7所示。↵
Lynelle月球点。Stephane Jacobzone ARD-Stroke专家组。在经合组织国家中风保健:治疗比较,成本和结果在17个国家。巴黎:经济合作与发展组织(oecd);2003年6月6日。
- 8。
- 9。↵
- 10。↵
- 11。↵
- 12。↵
- 13。
- 14。↵
- 15。↵
威尔金斯r .自动化地理编码根据加拿大统计局邮政编码转换文件。加拿大:加拿大统计局,2004年。82 f0086-xdb目录。
- 16。↵
- 17所示。↵
- 18岁。↵
- 19所示。↵
- 20.↵
- 21。↵
- 22。↵
放电文摘数据库的数据质量后的第一年实现ICD-10-CA / CCI。最终报告。加拿大健康信息研究所。2004年9月。
- 23。↵
威廉姆斯霁YW。库存的研究在加拿大卫生行政数据库的准确性。多伦多,安大略省,1996年。96 - 03 - tr。
- 24。
威廉姆斯霁YW。总结研究在加拿大的医疗质量管理数据库。第二版。渥太华:临床有效性科学研究所,1996:339 - 3345。
- 25。
- 26岁。
- 27。
- 28。↵
- 29。
- 30.
- 31日。
- 32。
- 33。
- 34。
- 35。
- 36。
- 37岁。
- 38。↵
加拿大最佳实践建议中风保健。加拿大:加拿大中风网络和心脏中风基金会加拿大,2006年。
- 39岁。
- 40。
- 41岁。
- 42。
- 43。
- 44岁。↵
- 45岁。
- 46岁。
- 47岁。↵
- 48。↵
- 49。
信:快速的网络通信
-
医院体积和中风的结果:这有关系吗?
- 詹姆斯米戈登,西北地区医院,西雅图,华盛顿州1570 N 115圣套件14日,98133年neurojim@yahoo.com
2007年10月12日提交 -
从作者回复
- GustavoSaposnik,在医学助理教授(神经学)首页,多伦多大学saposnikg@smh.toronto.on.ca
2007年10月12日提交
你可能也会感兴趣
相关文章
-
没有找到相关文章。
提醒我
推荐的文章
- 文章
风险因素,住院病人保健和缺血性卒中后肺炎的结果o . Finlayson m . Kapral r .大厅等。
首页神经学,2011年9月21日 - 文章
集成系统中风保健和减少30天死亡率一个回顾性分析
Aravind Ganesh帕特里斯•林赛Jiming方等。
首页神经学,2016年2月5日 - 文章
结果缺血性中风后的医院,没有联合委员会证实主中风中心J.H.李奇曼S.B.琼斯,y,王等。
首页神经学,2011年5月04日 - 文章
做所有缺血性中风亚型受益于组织中风住院病人护理?一些史密斯·哈桑,方j . et al。
首页神经学,2010年6月30日


