发病率和危险因素的认知障碍早期帕金森病临床试验中
文摘
摘要目的:调查的发病率和认知障碍的风险因素在一个大的定义良好的临床试验的早期帕金森病(PD)患者。
方法:细微精神状态检查(MMSE)管理定期在一个平均6.5年的随访期间的参与者Deprenyl和生育酚抗氧化治疗震颤麻痹试验及其扩展研究。认知障碍定义为进球2个标准差低于年龄——和education-adjusted MMSE准则。
结果:累积740参与者认知障碍的发生率和临床证实PD(基线61.0±9.6岁,Hoehn-Yahr阶段1 - 2.5)为2.4%(95%置信区间:1.2% - -3.5%)2年,5.8%(3.7% - -7.7%)5年。受试者发展认知障碍(n = 46)显示显著的进步减少神经心理测试测量语言学习和记忆、视觉空间的工作记忆、visuomotor速度,和关注,而nonimpaired对象的性能(n = 694)保持稳定。认知障碍是与年龄有关,幻觉,男性性别、震颤麻痹的对称性增加,增加运动损伤的严重程度(地震除外),演讲和吞咽障碍,灵巧的损失,gastroenterologic /泌尿道的障碍在基线的存在。
结论:认知障碍的发生率相对较低的Deprenyl和生育酚抗氧化治疗帕金森症研究的可能反映了招聘固有偏见的临床试验志愿者(例如,年轻)或细微精神状态考核标准的局限性。除了确认已知认知障碍的风险因素,我们发现潜在的小说预测如球功能障碍和gastroenterologic /泌尿道的障碍(自主功能障碍的暗示)在病程早期。
术语表
- CI=
- 置信区间;
- COWA=
- 控制字协会任务;
- DATATOP=
- Deprenyl和生育酚抗氧化治疗震颤麻痹;
- 下文=
- 路易体痴呆与;
- DST=
- 数字广度测试;
- 患者的=
- 细微精神状态检查;
- 无损检测=
- 新的点任务;
- OMO=
- 不合群的人测试;
- PD=
- 帕金森病;
- PDD=
- 在帕金森病痴呆;
- PIGD=
- 姿势不稳定和步态的困难;
- SDMT=
- 符号位模式测试;
- SRT=
- 选择性提醒测试;
- UPDRS=
- 统一帕金森病评定量表。
可以出现在早期认知障碍,1、2甚至还未经处理的3帕金森病(PD)阶段。当前标准在帕金森病痴呆认知障碍(PDD)需要在多个领域,代表从发病前的水平减少赤字严重到足以影响日常生活(社会、职业或个人护理)。4根据基线年龄、帕金森症的严重程度与认知功能的研究人群中,20%至83%的PD患者发展为痴呆(PDD)。5-11PDD的已知的危险因素包括姿势不稳定和步态困难(PIGD),幻觉,先进的年龄,男性性别,抑郁,和在基线认知测试中的表现不佳。4、6、7PDD范围在42.6和112.5之间的年发病率情况下每1000人每年根据基线特征(如年龄、疾病严重程度)或设置(医院、社区)。5、6、8 - 10唯一的以社区为基础的事件PDD PD研究年度报告发生率(95%可信区间[CI])每1000人每年30.0(16.4 - -52.9),13的126名患者(10%)有开发痴呆当测试3.5±0.7年之后诊断。2
识别重要的早期帕金森病认知障碍的风险因素将使临床医生能够针对那些风险最高时疾病修饰治疗痴呆。我们调查的发病率和危险因素的认知障碍Deprenyl和生育酚抗氧化治疗震颤麻痹(DATATOP)队列,一个大型早期PD组频繁评估(每3 - 6个月)和长期随访(7.6年)从未经处理的(pre-levodopa)阶段。12 - 14
方法
科目。
DATATOP研究招收了800名受试者(30 - 80岁)5年内出现症状,他们不需要对症治疗。15日16进一步的信息在DATATOP12和它的扩展研究13可以找到吗首页®网站www.首页neurology.org。受试者认为临床证实特发性帕金森病如果调查员保持≥60%的信心PD的诊断14在所有访问。有57个科目为谁的诊断信心水平降至60%以下的任何访问或谁没有信心数据;其中7主题在谁替代诊断与路易体痴呆(下文),但老年痴呆症发病的帕金森症的发病后1年多。因此,这些7对象被认为是维护诊断为特发性帕金森病/下文财团17和PDD特遣部队4标准,包括在分析中。维护诊断的750例经临床确诊的原发性帕金森病在整个研究中,6有符合我们的标准在基线认知障碍(见下文)和4没有任何细微精神状态检查随访(MMSE)数据。因此,最后分析组包括740例临床确认免费PD患者认知障碍与纵向基准和MMSE评估。
标准协议的审批、登记和病人同意。
DATATOP研究及其扩展研究机构审查委员会批准参与机构。从所有参与者获得书面知情同意。
潜在的认知障碍的风险因素。
我们统计分析跨8领域考虑众多因素。1)人口:年龄,年龄≥65岁,性别,和多年的教育> 12.2)家族史:阿尔茨海默病的家庭历史,精神疾病和抑郁症。3)PD历史:年诊断、症状出现以来,PD发病,和初始步态和震颤的症状。4)电机特点:统一帕金森病评定量表(UPDRS)因子得分基于部分》得到的主成分因子分析与正交(最大方差法)旋转使用DATATOP基线数据的访问。这种分析确定8因素占总样本方差的60.8%(表e 1)。因子8是UPDRS第一部分(精神),其项目被认为是作为独立的独立变量(见下文),其他7因素分数视为独立变量:PIGD,动作迟缓,刚性,左侧震颤、右震颤、延髓的障碍,和灵巧损失(困难手动能力,如手写或使用餐具)。我们也被认为是一个不对称分数来源于UPDRS电动机内部氧化物如前所述。145)认知18、19:MMSE(每3个月)、数字广度测试前后(DST-attention),符号位模式测试(SDMT-attention和visuomotor速度),选择性提醒测试延迟和宇宙威龙(SRT-verbal学习和记忆),不合群的测试(OMO-set shifting-executive功能)使用正确总在试验2和4中,新的点任务(NDT-visuospatial工作记忆)和控制字协会任务(COWA-verbal流利/语言,执行功能)。神经心理学测试管理每隔6个月。然而,DST、OMO COWA没有管理后第一个2年。6)精神特点:抑郁症(ham - d18分数≥1020.),冷漠(UPDRS第一部分,第四项(动机/计划)≥2),和幻觉(UPDRS第一部分,第二项(思想障碍)≥2)。7)全身性疾病:一个全面的神经和一般医疗评估基线包括是否执行障碍存在于每个11个器官系统。特定的障碍和其严重性或意义被记录。148)药物的使用:使用(yes / no) deprenyl,受体激动剂,金刚烷胺,或抗胆碱能类,累积暴露在左旋多巴(表示为100 mg-years)。
可用的变量与纵向数据(UPDRS, SDMT SRT,无损检测,精神功能(抑郁、冷漠和幻觉)和药物使用)协变量被当作时间统计分析。基线值被用于其他的预测因子。
分析。
主要的结果变量是随机化的时间认知障碍的发展。我们认知障碍定义为执行至少2岁以下SD -和education-adjusted人口在MMSE准则,21所实施的人。22我们没有使用3纵向可用的认知测试诊断,因为潜在的混杂SDMT结果的运动功能障碍18无损检测和不可用足够的规范,只留下SRT与建立一个合适的测试规范。23
随访时间在最后可用评估审查那些没有经验的认知障碍。kaplan meier曲线是用来描述随着时间的累积发病率认知障碍;95%置信区间计算事件率在指定时间。
Cox比例风险回归模型来检验协会之间的潜在风险因素(自变量)和认知障碍的时候。我们的基本策略进行分析是第一次执行单独的每个潜在风险因素的关联分析的结果。然后构造和未独立的多变量模型,包括神经心理测试结果不。所有变量保留在最后的模型使用自由20%显著性水平是重要的,除了年龄(p= 0.58),被迫被包括在模型不包括神经心理测试结果。
探索认知障碍的后果在日常生活中,我们定义功能下降2个或更多的得分UPDRS第一部分,第一项(智力功能),24或分2(边际函数,主要协助)或3(不能)职业能力或处理财政问题DATATOP残疾级数形式。16
在探索性分析,mixed-effects回归模型用于描述随时间的变化,在受试者在认知测试中表现最终还是没有出现认知障碍。所有统计分析提供的细节首页®网站www.首页neurology.org。
结果
受试者在分析组(n = 740)的平均随访6.5年(四分位范围1.9 - -7.1年)。在基线,他们有轻微的震颤麻痹和神经心理测试上得分低正常范围(表1)。740年的主题,117年达到了主要终点(要求左旋多巴)任何后续研究之前DATATOP到位(endpointers早期)。这些“早期endpointers”是包含在分析到最后的随访评估。
相比其余群体参与的扩展研究,早期的endpointers帕金森症的严重程度,更多的对称基准,更大比例的男性受试者,和更高的百分比奔袭出现震颤麻痹(表依照)。没有明显差异的神经心理测试的分数,抑郁、冷漠,幻觉,并存病,年龄和教育。
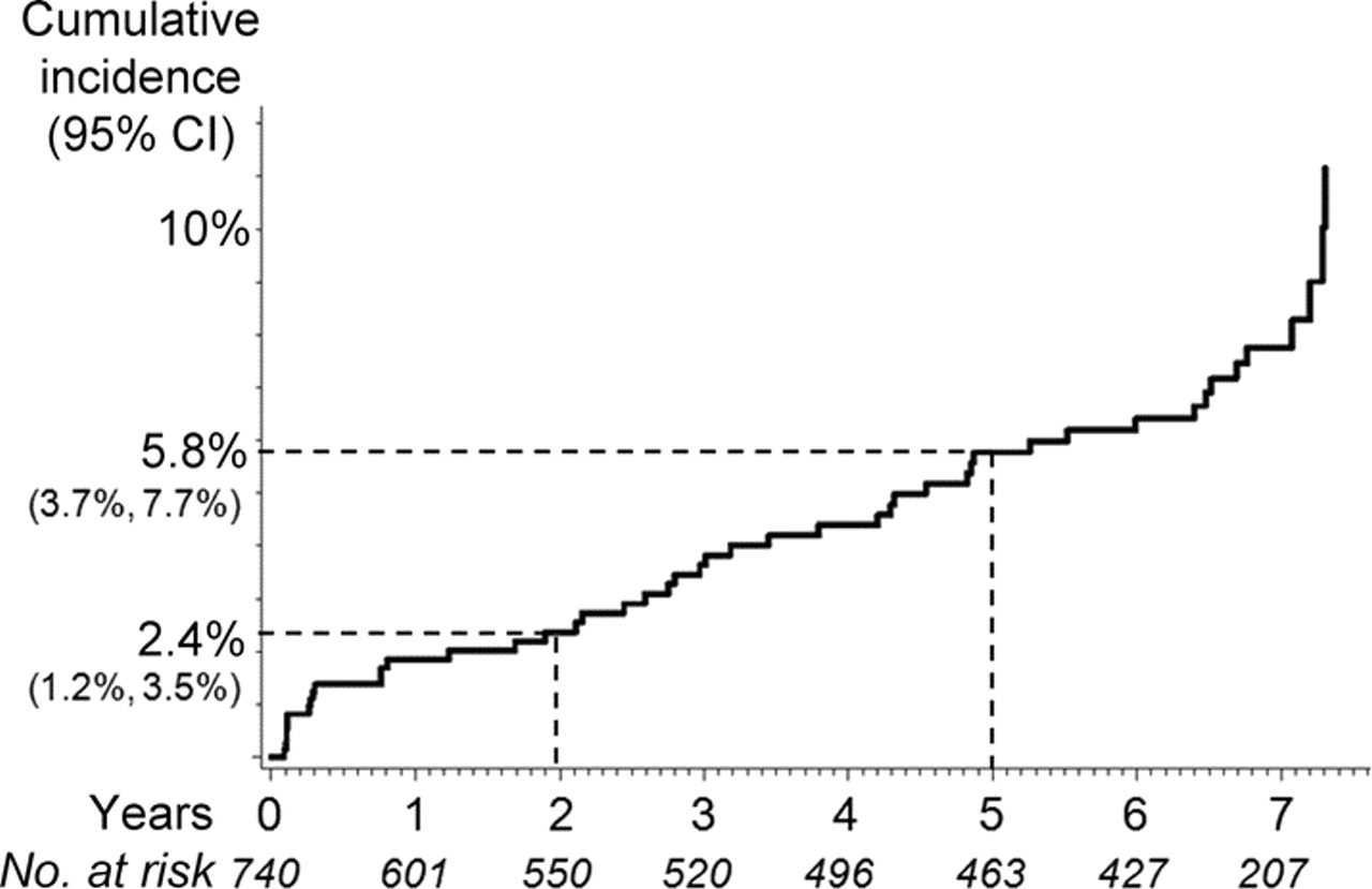
在这项研究中,46(6.2%)的740例达到认知障碍端点平均年龄为67.7±10.2年的随访时间是3.3±2.5年。认知障碍的发生率(95% CI)在2年2.4%(1.2% - -3.5%),5.8%(3.7% - -7.7%)5年(图1)。发病率为12.7(9.0 - -16.4)/ 1000人每年。认知障碍之间有一个强大的协会和功能下降:尽管有366例功能下降(包括282名显示,职业能力的局限性)没有认知障碍,所有与认知障碍了46名受试者(100%)功能下降标准(p< 0.001,Fisher精确检验)。
在纵向可用认知测试中的表现的进化(SRT-verbal学习和记忆、工作记忆NDT-visuospatial SDMT-attention和visuomotor速度)所示图2。那些最终成为认知受损的MMSE准则(n = 46)性能基线比那些没有成为认知障碍(n = 694) (p所有测试< 0.003),也有更大的下降随着时间的推移,在语言和非语言测试(p< 0.01 SRT和无损检测;pSDMT < 0.05),这表明我们MMSE-based判据能够区分好与进步的认知衰退详细的主题之间,特定领域的认知测试和性能稳定。
图2随时间演化的认知测试性能
绘制值调整组意味着来自mixed-effects回归模型,包括线性和二次计算时间。受试者最终发展为认知障碍(n = 46)在基线性能下降比那些没有出现认知障碍(n = 694) (p所有测试< 0.003),也有更大的下降随着时间的推移,在语言和非语言测试(p< 0.01为选择性提醒测试和新点任务;p< 0.05为符号位模式测试)。
基线和时间(纵向)单变量时间认知障碍的风险因素所示表2。变量分别是与时间相关的认知障碍包括老年人,男性性别、运动损伤的严重程度(除了地震,与以前的观测一致),增加了对称的运动障碍,神经心理测试性能差,和幻觉。小说的认知障碍的风险因素包括胃肠道和泌尿道的障碍和UPDRS因素对球功能障碍和灵巧的损失。
在多元回归分析,当所有的变量,包括神经心理测试结果,被认为是,选择模型包括SDMT (p< 0.0001),无损检测(p< 0.001),SRT-delayed回忆(p= 0.04),UPDRS-bulbar障碍因子(p= 0.001),基线肠胃失调(p= 0.04)作为名义上的重大风险因素(表3)。多元回归分析的结果的认知障碍的风险因素表3(包括上半部分:当神经心理学测试)似乎相反建议年龄较大和较小的教育是对认知障碍的“保护”。然而,这些结果需要解释在多元回归分析中,即,所有其他危险因素的值(例如,认知测试成绩)常数。这个结果意味着,如果2者有相同的神经心理学测试得分,年轻,受教育水平较高的人患认知障碍,因为他或她将会得分比年长的和受教育程度较低。此外,在单变量分析(上图),年龄与认知障碍显著相关,如预期。教育没有明显与认知障碍在这群在单变量相关分析。当神经心理测试结果被排除在考虑之外,幻觉(p< 0.001)和UPDRS-bulbar障碍因子(p= 0.02)是名义上的重大风险因素(表3下半部分)。
讨论
本研究发现,每年的发病率DATATOP认知障碍的研究是12.7例/ 1000人每年;2.4% kaplan - meier估计在2年和5年5.8%。这个估计的认知障碍发生率低于报道痴呆发病率从医院5、8或以社区为基础的6日,9 - 11群主题与现有PD,以及一个以社区为基础的事件PD组。2然而,非正式的比较表明,一年一度的认知障碍的发生率高于DATATOP研究观察到类似痴呆的发生率在几个大众人群年龄方括号。25例如,奥姆斯特德县、锰、队列和类似的人口特征然后在大约同一时期DATATOP研究显示低年龄组的痴呆的发生率65 - 69(1.7例/ 1000人年)和70 - 74(5.2例/ 1000人每年)。26
因素可能占DATATOP认知障碍的发病率相对较低的人群包括临床试验志愿者招聘固有偏见(例如,年轻时代,高等教育,更好的健康状况),14短endpointers早期随访(15.8%的原始分析群体,更糟震颤麻痹在基线),我们的研究的回顾性质,和潜在的低灵敏度MMSE-based认知障碍的标准。27DATATOP队列基线的平均年龄是61.0,类似于基线的平均年龄在其他临床试验早期PD患者(范围59 - 64),12日,28-32而PD的发病高峰在普通人群中年龄在70年到79年之间。33在事件PD, PDD的唯一研究基线的平均年龄是69.6,PDD的年发病率为30.0例/ 1000人每年。2虽然发病率的概括性的结果可能是有限的,我们的研究提供了知识的认知预后早期PD患者参加临床试验,这可能影响未来的临床试验设计。
本研究选择的结果测量是一个挑战DATATOP没有设计主要是研究帕金森病的认知过程。虽然认知障碍显著相关的功能下降,我们的特别功能标准不适合痴呆诊断为最近的研究表明,智力障碍项UPDRS灵敏度较低34、35和不适合筛查或诊断目的。34此外,职业上的反应能力和处理财政问题DATATOP残疾发展形式16可以让运动功能障碍。DATATOP神经心理的截断后电池的初始阶段我们选择有限的客观评估认知障碍。我们只有一个可靠的认知测试,可用纵向(SRT-verbal学习和记忆),我们使用了一个MMSE-based标准全球认知障碍。这种方法的局限性包括潜在的实践影响由于重复管理MMSE尽管使用备用2个版本的列表在不同的访问,并严重依赖的患者的语言能力和低敏感性检测痴呆,特别是经常使用信用评分底线痴呆(24/30)应用于受过高等教育的人。27日,36
然而,使用年龄,education-specific MMSE准则21日,22日认知障碍,我们的MMSE信用评分底线是最常见的人群≤26 DATATOP(61 - 65岁> 12年的教育)。这个截止的建议是一致的。最近一项研究发现,≤截止26日有灵敏度高(0.89)和特异性(0.91)检测痴呆与认知投诉受过高等教育的人筛选与MMSE和跟进神经心理测试。36此外,我们的认知损伤判据能够区分受试者之间显示逐步下降,那些保持稳定在所有可用纵向神经心理测试(图2)。那些发展认知障碍开始以更低的平均基线水平和显示性能逐步下降,尤其是SRT-total召回(言语学习),SRT-delayed召回(非文字记忆),SDMT (visuomotor速度和注意力),和无损检测(的视觉空间工作记忆),而那些没有出现认知障碍在随访显示性能稳定。
我们已经证实一些以前确定PDD的危险因素如年龄、男性性别,神经心理测试性能降低,幻觉,更糟糕的运动机能,PIGD,增加电机严重程度的对称性。我们发现,在早期帕金森病认知障碍的风险似乎并未与药物治疗PD的使用。小说我们还发现潜在的风险因素,如球功能障碍,早期灵巧的困难,在基线和胃肠道和泌尿生殖障碍,提示早期自主功能障碍。或者,一个可以解释常见疾病相关的泌尿生殖器的干扰这个年龄人口如前列腺肥大或脱垂,胃肠道紊乱,特别是便秘,在PD早期的前驱症状。
球功能障碍似乎比PIGD与认知障碍密切相关,最常报道的运动认知障碍的危险因素。2、4、6PIGD和球损伤反映轴功能障碍。6球障碍尚未调查作为一个单独的实体,因为之前UPDRS的因素分析37、38和UPDRS项分组6从球功能障碍和PIGD因素结合项目到一个轴功能障碍因素。DATATOP是主要力量的大样本大小的因素分析,可能会使我们更好的分离轴功能放入2个因素。
胃肠道和泌尿生殖器的(在较小程度上,心脏)障碍在基线认知障碍的危险因素。我们不能确定他们是否代表特定疾病或症状复合物可交付的这些系统。存在这些障碍严重的特定疾病是不可能的,然而,由于不稳定的医疗合并症是DATATOP研究的排除标准之一。16考虑到便秘等症状,与胃排空困难,尿紧迫感,勃起功能障碍是常见的nonmotor PD的表现,39可想而知,这些疾病可能代表自主症状。自主功能障碍与时间认知障碍是兼容的横断面研究结果显示频率增加患者的自主神经功能失调的下文或PDD PD患者相比无痴呆。40
信息披露
加州大学获得博士议长谢礼活动不是由行业;作为一个格兰特评论家帕金森研究小组;和接收来自国家卫生研究院研究支持研究所NS044930(π)],美国退伍军人事务部(从康复研发部门绩效审查;B6261R (PI)和1 I01 RX000170 (PI))和帕金森病的基础。麦克德莫特博士从迈克尔·j·福克斯基金会收到酬金;曾任纽约州卫生部顾问和美国癫痫协会;收到Medivation研究支持,Inc .,勃林格殷格翰的发言,NeuroSearch瑞典AB和森林实验室,Inc .);和接收来自国家卫生研究院研究支持[NS42372(共同)HD44430(共同)DE16280(共同)NS52619(π)NS45686(共同)NS46487(共同)NS50095(共同)NS49639(共同)AR52274(共同)NS50573(共同)HL80107(共同)RR24160(共同)NS58259(共同)和NS48843(共同)],美国食品和药物管理局,迈克尔·j·福克斯基金会,基金会,脊髓性肌萎缩症和肌肉萎缩症协会。马德尔博士的编辑委员会首页®;从Amarin接收研究支持公司,勃林格殷格翰集团,和瑞典NeuroSearch AB;和接收来自国家卫生研究院研究支持[NS36630(π),1 ul1 RR024156-01(导演PCIR) PO412196-G(共同)和PO412196-G(共同)],从帕金森病基金会,亨廷顿氏舞蹈症的美国社会和帕金森研究小组。安德森博士的报告没有披露。博士Litvan Neuropharma供职于科学咨询委员会;作为联合主编的沿着,在编辑委员会临床神经学新闻首页和Archivos de Neurologia Neurocirugia y Neuropsiquiatria;收到出版版税临床神经病学手册痴呆,首页卷89(爱思唯尔,2008年);已经收到了来自诺华议长谢礼,梯瓦制药产业有限公司,勃林格殷格翰的发言,运动障碍社会,和美国神经病学学会;首页诺华曾对扬声器的分社,勃林格殷格翰的发言,梯瓦制药产业有限公司和葛兰素史克公司;已经收到了研究支持Kyowa白光麒麟制药,Inc .)和奇尔特恩斯国际有限公司;和接收来自国家卫生研究院研究支持[NIA 5 R01 pas - 03 - 092 (PI), 1 R13 NS062643-01(π)和研究所NPTUNE(π)]和路易斯维尔大学的环境基因组学中心和综合生物学、Kentuckiana帕金森支持中心,全国帕金森基金会,帕金森研究小组,社会运动障碍,CurePSP。科莫博士是一个科学帕金森研究小组审查委员会;作为顾问专机制药和Medivation Inc .);并已收到迈克尔·j·福克斯基金会的谢礼,地中海评论、Inc .和Leerink Swann LLC。p . Auinger报告没有披露。周博士收到出版版税章节(诊断帕金森病,帕金森病的临床表现,患者信息:帕金森病症状和诊断)最新式的(2007);服务/曾对扬声器的办事处为葛兰素史克,梯瓦制药产业有限公司,勃林格殷格翰集团,和爱力根公司。和接收研究来自美国国立卫生研究院的支持[4 U10 NS44504-06(π)]。Growdon博士是一个科学顾问委员会神经免疫疗法AG);是编辑委员会神经病学档案首页和神经退行性疾病;收到出版版税的痴呆(爱思唯尔,2007年);和接收来自国家卫生研究院研究支持[NIA P50 AG05134 (Co-PI),研究所P50 NS037372 (Co-PI)和研究所一下R21 NS60310(π)和迈克尔·j·福克斯基金会。
脚注
* DATATOP调查人员的列表/协调员参考12中可以找到的首页®网站www.首页neurology.org。
帕金森病基金会提供资助(E.Y.U.)。DATATOP是24778年由美国公共卫生服务支持格兰特NS(国家神经疾病和中风研究所)。
披露:作者披露提供的文章。
2009年4月9日收到。2009年7月21日接受的最终形式。
引用
- ↵
- ↵
- ↵
- ↵
- ↵
- ↵
- ↵
- ↵
- ↵
- ↵
- ↵
- ↵
- ↵
-
麦克德莫特Kieburtz K、M,科莫P, et al . deprenyl和生育酚的影响在早期治疗帕金森病认知能力。帕金森神经学研究小组首页1994年;44:1756年-1759年。
- ↵
- ↵
- ↵
- ↵
- ↵
Fahn年代,埃尔顿RL、UPDRS发展委员会的成员。统一帕金森病评定量表。:Fahn年代,马斯登CD, Calne DB, et al, eds。帕金森病的最新发展。抖,新泽西:麦克米伦医疗信息;
- ↵
- ↵
- ↵
里德尔O, Klotsche J, Spottke, et al . 873年认知障碍患者特发性帕金森病:德国流行病学研究的结果的帕金森病痴呆(GEPAD)。J神经2008年;255年:255 - 264。
- ↵
- ↵
- ↵
- ↵
- ↵
- ↵
Poewe w·帕金森病的神经异常和认知障碍。Mov Disord2007年;22:S374-S378。
信:快速的网络通信
你可能也会感兴趣
提醒我
推荐的文章
- 文章
代谢综合征和改变协会统一帕金森病评定量表分数莫林Leehey盛罗,Saloni Sharma et al。
首页神经学,2017年9月29日 - 文章
帕金森病的自然历史维尔纳·h·Poewe格雷戈尔k温等。
首页神经学,1996年12月1日 - 文章
兼职zonisamide为下文左旋多巴震颤麻痹一项随机双盲第二阶段的研究
长谷川合子Miho Murata Toshinari Odawara,等。
首页神经学,2018年1月24日 - 文章
临床试验旨在检测帕金森病的神经保护罗伯特·a·豪泽特蕾莎Zesiewicz et al。
首页神经学,2006年5月22日


