灰质MRI随机森林鉴别视神经脊髓炎与多发性硬化症
摘要
摘要目的:我们使用随机森林分类测试了脑灰质(GM)成像测量是否可以区分多发性硬化症(MS)和视神经脊髓炎(NMO)。
方法:90名参与者(25名MS患者、30名NMO患者和35名健康对照[hc])在伊朗德黑兰进行了研究,54名参与者(24名MS患者、20名NMO患者和10名hc患者)在意大利帕多瓦进行了研究。参与者接受脑T1和T2/液体衰减反转恢复MRI检查。计算50个皮质GM区域的体积、厚度和表面以及深层GM核的体积,并用于构建3个随机森林模型,将患者分为NMO或MS,并将每个患者组与hc分开。临床诊断是计算准确性的金标准。
结果:分类器将MS患者(尤其是GM深部萎缩更严重)与NMO患者区分开来,平均准确率为74%(敏感性/特异性:77/72;p< 0.01)。当我们使用丘脑体积(最具鉴别性的GM测量)和白质病变体积时,MS与NMO分类的准确性为80%。MS vs hc和NMO vs hc的分类准确率较高(92%和88%)。
结论:从临床扫描中自动获得的GM成像生物标志物可用于区分NMO与MS,即使是在2中心设置中,也可促进临床实践中的鉴别诊断。
证据分类:这项研究提供了II类证据,证明GM成像生物标志物可以区分NMO患者和MS患者。
术语表
- AQP4-Ab=
- aquaporin-4自身抗体;
- eds=
- 扩大残疾状况量表;
- 天赋=
- 流体衰减反演采收率;
- 通用汽车=
- 灰质;
- HC=
- 健康的控制;
- LPBA=
- LONI概率脑图谱;
- 女士=
- 多发性硬化症;
- 动=
- 视neuromyelitis;
- NMOSD=
- 视神经脊髓炎谱系障碍
视神经脊髓炎(NMO)与多发性硬化症(MS)具有相似的临床和影像学特征,但由于治疗方案差异很大,正确及时的诊断对于患者的管理至关重要。与NMO患者相比,MS患者的差异影像学特征包括更明显的脑萎缩,特别是皮质灰质(GM)1;MS的丘脑变化比NMO更严重2,3.;NMO缺乏皮质损伤。1,4,5
机器学习算法在对神经系统疾病患者的MRI扫描进行分类方面显示出了前景。6与人类观察者相比,它们的优势在于可以处理来自每个患者的大量变量,并且缺乏不一致性。因此,它们在临床环境中提供了支持诊断过程的潜力,并已成功用于阿尔茨海默病,7创伤性脑损伤,8以及提示多发性硬化的临床孤立综合征。9
随机森林分类是一种用于分类问题的强大机器学习方法,例如根据MRI扫描将不同疾病的患者区分开来,或将神经系统患者与健康对照(hc)分开,特别是在多中心研究中。7随机森林是一组被训练来回答决策问题的决策树,例如:病人属于两组中的哪一组?它从一个训练阶段开始,构建一组树,每个树使用训练数据的随机子集来描述组之间的差异。然后,测试(或验证)阶段通过组合决策树集中的投票来预测新案例属于哪个组。10
我们测试了从临床方案的MRI扫描中获得的GM测量是否可以区分MS和NMO。特别是,我们计算了皮层的厚度、体积和表面积,以及基底神经节的体积,这些都反映了潜在的GM病理。11为了测试这是否可以用于多中心设置,我们使用了来自2个不同中心的数据。最后,我们调查了导致MS与NMO差异最大的GM措施,以深入了解这些疾病的潜在病理。
方法
我们的主要问题是从常规MRI测量中提取的成像生物标志物是否能区分MS和NMO。本研究的病例对照设计提供了II类证据。
参与者。
在这项回顾性研究中,我们收集了连续的复发缓解型MS和NMO患者的所有数据。他们在2个三级中心被招募,其中一个在伊朗(2009年1月至2012年12月)12意大利(2013年6月- 2013年12月)。MS的诊断是根据2005年修订的McDonald标准进行的,13根据Wingerchuk标准(2006年修订)的NMO。14这项研究在新的NMO标准公布之前开始并完成,但回顾性评估显示,所有NMO患者都符合2015年NMO谱系障碍(NMOSD)标准。15其他纳入标准为:(1)无伴发神经或精神疾病,(2)临床复发或在研究开始前至少6周静脉注射甲泼尼龙。
标准方案批准,注册和病人同意。
所有参与者均给予书面知情同意16对于每个队列,当地伦理委员会都批准了该项目。
临床评估和MRI方案。
所有患者进行临床检查,并在MRI扫描当天进行扩展残疾状态量表(EDSS)评分。17所有参与者都接受了MRI扫描,包括高分辨率3D T1和T2液体衰减反转恢复(FLAIR)成像,在帕多瓦1.5T和德黑兰3T。每个队列的MRI方案见表e-1首页Neurology.org.
图像分析。
我们用同样的方法分析了两个中心的扫描结果。目的是计算LONI概率脑图谱(LPBA)定义的每个半球25个皮层区域的皮质体积、厚度和表面积,18以及深层GM核(伏隔核、杏仁核、尾状核、苍白球、壳核和丘脑)的体积。我们在ANTs软件(v1.9)和FSL软件(v5.0)中进行图像分析(fsl.fmrib.ox.ac.uk /目前/).
我们在FLAIR/T2扫描上手动构建二元病变图,与T1扫描共配位,并以此来填充T1扫描的低强度病变,以避免患者分割错误。19接下来,我们构建了一个特定于学习的模板作为注册的公共空间。20.我们计算了从图谱空间到公共模板,再到每个参与者的原生空间的变换矩阵,并将其应用于LPBA标签,将其转移到原生空间,以提取成像测度。
为了计算皮层厚度,我们使用了一种新的基于配准的方法,该方法最近得到了验证。21,22我们通过用皮质体积除以厚度来计算每个皮质区域的表面积。我们使用FSL FIRST来计算深层GM结构的体积。23
分类分析。
我们在R version 3.1.0和Scientific Python 2.7库(Scikit-Learn包)中进行了所有统计分析。24,25我们计算了157个变量,分别是皮层厚度、表面积和每个皮层区域的体积,以及每个深层GM核的体积。我们将区域容积除以颅内总容积,以适应不同的头部大小。26我们针对年龄的影响分别调整了每项GM测量。我们拟合了一条线性回归线,其中年龄为自变量,每个GM措施为因变量。我们计算了回归模型无法解释的GM度量量(拟合残差),并将其用于所有后续分析。
为了研究不同中心和MRI扫描仪对分类的影响,我们在分析中添加了变量“中心”。接下来,我们构建了3个模型来区分每对组:(1)MS vs NMO;(2) MS vs hc;(3) NMO vs hc。对于每个模型,我们将来自两个中心的参与者随机分配到训练集或测试集,以便每个集包含一半的参与者。接下来,我们执行训练步骤,然后对遗漏的一半进行交叉验证(重复5000次)。计算了5000个经过训练和交叉验证的模型的准确性的平均值和标准差。MS或NMO的临床诊断是计算分类准确性的金标准。
我们使用Scikit学习包提供的随机森林参数默认值,并根据原始随机森林算法计算变量的重要性。10此外,在区分MS和NMO时,我们使用皮质区域体积、厚度、表面积和深层GM核体积建立模型,首先单独建立模型,然后结合模型,使用如上所述的交叉验证方法评估每种测量对准确性的影响。由于决策树森林中的每个决策树都选择了随机变量子集,因此随机森林分类器不受共线性(表面、厚度和体积之间的相关性)的影响。10在一项事后分析中,我们简化了模型,通过包括最具鉴别性的GM变量和白质病变负荷来评估区分NMO与MS的准确性。最后,我们用aqp4阳性的NMO患者的扫描来训练NMO vs MS分类器,并测试它来区分aqp4阴性的NMO患者的扫描和MS患者的扫描。
为了更好地了解GM的变化,计算了皮层厚度、表面积和皮层下区域体积的中位数和第75百分位的箱线图。
结果
参与者。
我们包括144名参与者;在伊朗德黑兰招募了90名参与者(25名MS患者,30名NMO患者,35名hc患者),12意大利帕多瓦54例(24例MS, 20例NMO, 10例hc)。临床和人口学特征见表1(治疗信息见表e-2)。
德黑兰队列中30例NMO患者中有17例水通道蛋白-4自身抗体(AQP4-Ab)检测呈阳性(免疫荧光法,bioscientia.de / en /),而来自Padua队列的20例患者中有18例AQP4-Ab阳性(基于细胞的检测,euroimmun.com).意大利队列患者的残疾明显高于伊朗队列患者(MS: EDSS中位数4.0 vs 2.5,p< 0.05;NMO: 4.5 vs 3,p分别< 0.05)。两组间疾病持续时间无显著差异。两组之间年龄差异显著(表1).
分类结果。
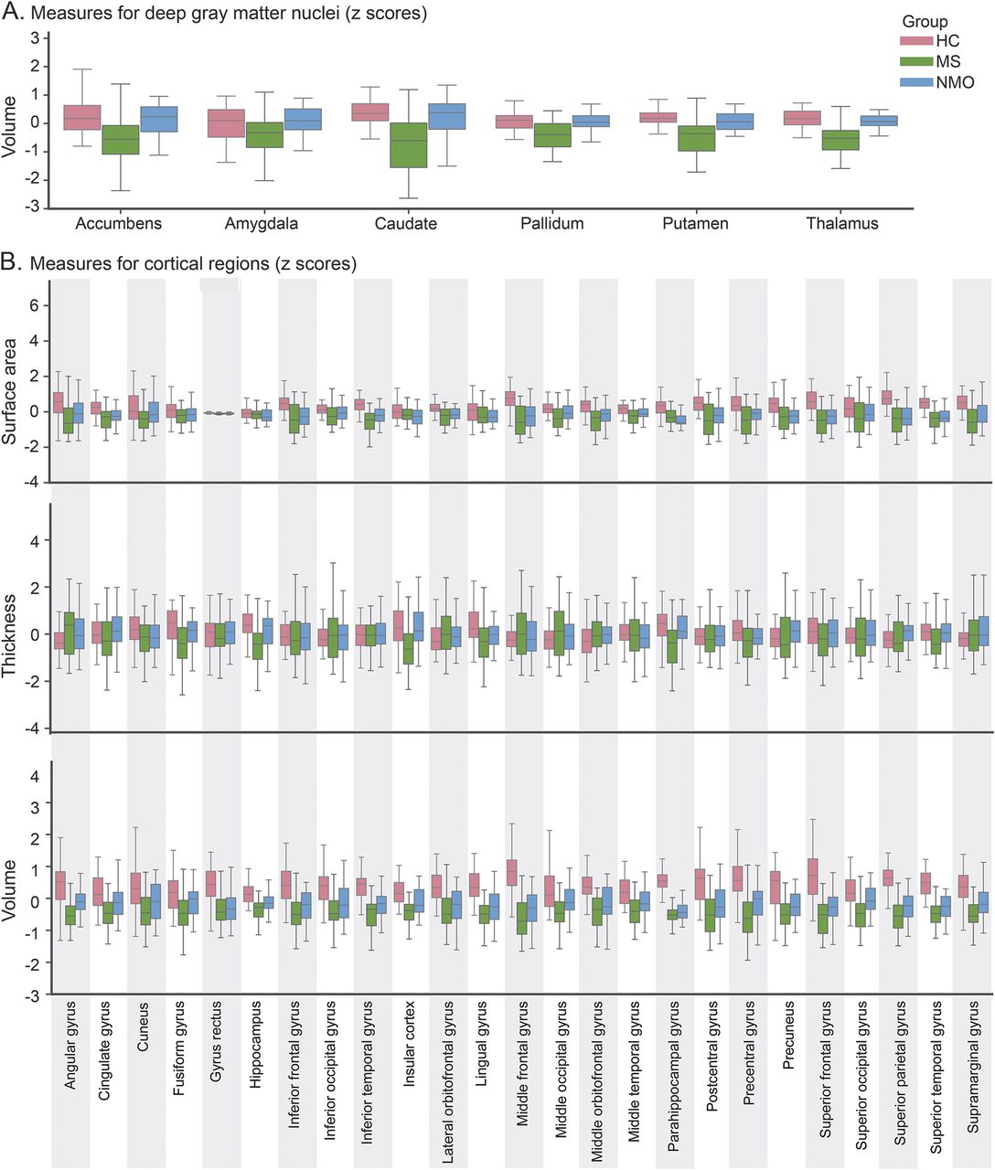
用所有GM成像特征训练的NMO vs MS模型的平均准确性为74%,敏感性为77%(即77%的MS患者被分类为MS),特异性为72%(即72%的无MS但有NMO的患者被正确分类)(p< 0.01根据标签随机改变或排列的分类器计算,并使用Bonferroni方法进行多次比较校正)(表2和图e-1)。当单独使用皮质体积、皮质厚度和表面积对两组患者进行分类时,平均准确率较低(分别为59%、62%和66%)(图1).在没有调整年龄的情况下,分析结果保持不变。
(A-C)随机森林算法中各变量对分类的重要性。重要性是一种相对度量,对于每个模型,它被标准化为和为1,并且应该用于比较每个模型内部(而不是模型之间)变量的重要性。(D)不同灰质测量模型的准确性,包括皮质体积、皮质表面积、皮质厚度、厚度与表面积组合、皮质下体积。结合表面积和厚度得到了比体积更高的精度。每个模型都经过了1000次训练和测试,参与者来自两个中心。深灰质。
在区分MS和hc时获得了较高的准确度(92%)(敏感性/特异性94/90;p< 0.001);NMO与hc分类的准确性也很高(88%;敏感性和特异性89/88;p< 0.001)。
变量的重要性。
深层GM结构的体积是区分MS与NMO最重要的GM指标,而皮质区域的体积在区分hcc中更为重要。总的来说,GM体积比皮质厚度和表面积更有利于分类。
MS vs NMO。
深层GM的体积(丘脑、右侧苍白球和壳核),其次是岛厚度,与NMO相比,显示MS减少(图1而且2),是区分MS与NMO最重要的GM指标。
(A) DGM核。(B)皮层区。左半球和右半球的值为平均值,以便更好地可视化。所有措施都标准化了,而且Z计算分数。HC =健康对照;多发性硬化症;视神经脊髓炎。
当观察GM测量(皮质和皮质下体积、表面积和厚度)在区分NMO和MS方面的个别影响时,所有测量的组合提供了最佳的准确性,这与仅使用深层GM体积(图1 d),但高于单独测量所得的结果。
当我们使用丘脑体积(最具鉴别性的GM测量)和白质病变体积(见图e-2)时,MS vs NMO分类的平均准确度为80%(敏感性/特异性85%/76%,p< 0.001)。
当我们使用来自aqp4阳性的NMO患者的数据训练NMO vs MS分类器,并对aqp4阴性的NMO患者进行测试时,该模型的性能与训练和测试来自所有NMO患者的随机选择的扫描(无论血清状态如何)的模型相似(平均±SD准确性77%±12,敏感性74%±19,特异性80%±15)。
NMO vs HC。
海马旁回和左额中回的体积是最重要的分类变量;与hc相比,NMO患者的这些区域体积更小(图2).
MS vs HC。
双侧海马旁回和右侧颞上回的体积是这一分类的最重要变量(与hc相比,MS的这些区域体积减少)。变量“中心”(即德黑兰和帕多瓦)始终被认为是所有分类中最不重要的特征。
讨论
以往的影像学研究强调了NMO和MS之间MRI特征的差异1,12,27,28,但自动区分仍然具有挑战性。在这里,我们使用随机森林分类器,根据临床协议常规获得的脑MRI扫描,自动对MS和NMO患者进行分类。我们的研究结果表明,在对两组患者进行分类时,皮质厚度、皮质表面积和皮质下GM体积等GM成像测量的准确度为74%,高于单独使用每种GM测量的准确度。当我们同时使用最具鉴别性的GM测量(丘脑体积)和白质病变体积时,该模型在分类NMO和MS时的准确性比原始模型更高(80%)。随机森林分类在区分MS与HCs(92%)和NMO与HCs(88%)时准确率较高,因为分类任务比区分这两种疾病更具挑战性。因此,这种自动方法可以支持临床实践中的诊断过程,例如在无AQP4的NMOSD患者中。变量“中心”对分类无显著影响。此外,成像特征对分类的贡献比临床特征的差异更相关,这可能存在于患者队列之间。
我们证明,MS患者的深层GM体积低于NMO (图2一个),是区分NMO和MS的更重要的特征,而非皮质厚度和体积。我们的结果与最近的一项研究一致,该研究未能显示NMO与hc相比有明显的丘脑萎缩,2,3.而另一项研究发现,与hc相比,NMO的丘脑体积略有减少。1MS的丘脑体积损失可能与发生在皮质区域的继发性神经退行性变有关,也可能代表原发性神经退行性变,1,2,11而在NMO中,脊髓或视觉通路中出现继发于轴突变性的轻度神经退行性变。29
皮层厚度表示每个皮层柱中的神经元数量。30.岛叶皮质厚度是区分MS和NMO的第二大鉴别值(仅次于深层GM体积)。该区域表现出萎缩的倾向,特别是在MS进展的患者中。31岛叶位于颞叶深处,可能比其他皮质区域更容易受到炎症介质的影响。31
虽然诸如丘脑和脑岛等区域的萎缩仅在MS中可见,但这两种脱髓鞘疾病似乎以类似的方式影响海马旁回(图2).旁海马体是边缘系统的一部分,与颞区、额区和深部GM区有广泛的联系。这些连接的横断是白质病变的结果,在这两种疾病中都可能通过逆行性神经退行性变导致该区域的萎缩。32,33此外,在MS中,GM损伤可能是GM本身发生的非炎症性或炎症性过程的结果。32,34在NMO中,GM损失更具选择性,取决于AQP4的表达,以及星形胶质细胞中M1与M23蛋白的比例。33尽管大脑中AQP4表达的动态模式尚不清楚,但副海马区可能表现出不同的AQP4表达模式,或可能与AQP4高表达区域有关。35,36
NMO患者可能有严重的复发,影响运动或视觉系统。37然而,枕皮质或运动皮质的GM测量并不能区分NMO和MS或hc。这些发现与先前在NMO中基于体素的形态测量学研究一致,与MS或hc相比,这些区域的GM体积未能显示出可检测到的变化。2,38,39另一项研究发现,与hc相比,NMO的钙质、中央前和中央后皮质轻度变薄,但NMO和MS之间没有显著差异。1
我们研究的一个优势是我们纳入了来自两个中心的参与者。我们之前证明,在1中心设置中,使用本研究中使用的同一伊朗患者的扫描,先进的MRI模式(功能MRI和弥散张量成像)结合使用一种称为多核学习数据融合的技术,以高精度区分MS和NMO。12该技术的局限性是计算量大,在多中心研究中的应用有限。目前的工作使用随机森林分类,在多中心环境中更稳健,而且不太可能过拟合。10在我们的分析中,我们将中心作为一个变量,发现它在NMO vs MS、MS vs HC和NMO vs HC这三种分类中具有最低的重要性。我们重复了5000次交叉验证,这允许将所有患者纳入训练集和测试集。这可以推广到其他中心,只要训练样本中包括来自新中心的足够多的参与者。此外,为了便于应用,我们简化了模型,只包括丘脑体积和白质病变体积;该方法区分MS和NMO的准确率达到80%。在未来,通过包括其他特征,如腰椎穿刺结果、抗体状态和定量脊髓测量,可能会获得更高的准确性。40,41
在本研究中,NMO患者明显比MS患者年龄大,因此我们根据年龄调整了GM测量。NMO比MS发病晚,37因此,在我们根据疾病持续时间匹配两组后,NMO的年龄高于ms。然而,尽管年龄越大,GM体积就会减少,42NMO患者的GM体积高于MS患者,这表明年龄不太可能是我们分析中的混杂因素。此外,我们使用安全诊断为MS或NMO的患者的扫描构建了我们的模型,这些患者的平均病程为7.5年。这是因为MS或NMO的临床诊断是计算分类准确性的金标准。在未来的研究中需要解决的一个重要问题是,该算法是否可以帮助分类困难的放射病例或预测第一次发作后的结果。例如,在之前的一项研究中,我们发现机器学习正确地预测了71.4%的患者在临床孤立综合征发病后1年内存在(或不存在)临床确定的MS。9
这项研究并非没有局限性。首先,NMO组是在NMOSD诊断标准修订之前招募的,15包括aqp4阴性和aqp4阳性患者(15例阴性和50例阳性)。最近的研究强调了这两组之间可能不同的临床和放射学特征,这可能表明不同的亚型。43无AQP4的NMO(2例来自意大利,13例来自伊朗)与有AQP4的NMO在年龄、性别或临床残疾方面无显著差异。然而,血清阴性患者的人数很少。在未来,这项技术可以帮助识别无AQP4的NMOSD患者,因为在这个队列中,他们表现出与有AQP4病例的NMOSD相似之处;特别是,该算法在仅从有AQP4病例的NMOSD中学习后,在77%的无AQP4病例的NMOSD中正确地分类了它们。其次,没有评估GM病变在区分这两种疾病中的作用,1因为在临床环境中不能常规获得允许GM病变检测的序列。进一步的研究将澄清这些问题。
我们证明,随机森林分类在2中心设置的MRI扫描的基础上,稳健且自动地区分MS和NMO,准确率高达80%。此外,特定关键区域的深层GM体积和皮层厚度可能增加检测细微GM特征的能力,这可能有助于MS和NMO的鉴别诊断。
作者的贡献
A.E.设计了这个项目,从德黑兰队列中获取数据,分析数据,解释分析,并撰写手稿。V.W.参与了研究设计、数据分析和修订手稿。M.C.为帕多瓦队列收集了数据,监督了项目,并修改了手稿。M.A.S.为德黑兰队列的患者招募做出了贡献,修订了手稿,并监督了该项目。A.J.T.监督了这个项目并修改了手稿。d.c.a和O.C.设计了这个项目,监督了这个项目,并修改了手稿。
研究资金
A.E.获多发性硬化症国际联合会(msif.org).这项研究由新浪MS研究中心和国家卫生研究所(NIHR)、伦敦大学学院医院(UCLH)生物医学研究中心(BRC)资助。
信息披露
a . Eshaghi拥有多发性硬化症国际联合会(MSIF)的麦克唐纳奖学金和欧洲多发性硬化症治疗与研究委员会(ECTRIMS)的MAGNIMS奖学金。沃切尔和科尔蒂斯报告没有披露与手稿相关的信息。M. Calabrese是默克-雪兰诺、拜耳-先灵、健赞、罗氏和百健的顾问委员会成员,也是百健、默克-雪兰诺、拜耳-先灵和罗氏的顾问。M. sahraan获得了Biogen Idec、Merck Serono、Bayer-Schering、Novartis和Cinnagen的旅行支持和讲座费。A. Thompson曾获得Biogen Idec、Eisai、Excemed、MedDay和Novartis的酬金、旅行支持或咨询;作为医学和科学咨询委员会主席的MS国际联合会,作为科学指导委员会主席的国际进步MS联盟,以及作为研究计划咨询委员会成员的国家MS协会(美国)的旅行支持;并获得SAGE出版社作为总编辑的酬金多发性硬化症杂志.D.亚历山大报告说没有披露与手稿相关的信息。O. Ciccarelli获得EPSRC、大不列颠及北爱尔兰多发性硬化症协会和卫生部NIHR综合生物医学中心的研究资助;担任通用电气(GE)、诺华(Novartis)和百健(Biogen)的顾问(所有费用均支付给研究所);的副主编首页®。去首页Neurology.org全面披露。
脚注
去首页Neurology.org全面披露。作者认为相关的资金信息和披露(如果有的话)将在文章末尾提供。
补充资料载于首页Neurology.org
- 收到了2016年2月1日。
- 最终接受2016年9月8日。
- ©2016美国神经病学学会首页
参考文献
- 1.↵
- 2.↵
- 马修斯l,
- Kolind年代,
- 火盆一个,等
- 3.↵
- 4.↵
- 5.↵
- 6.↵
- 7.↵
- 列别捷夫AV,
- 韦斯特曼E,
- 凡西数GJ,等
- 8.↵
- 9.↵
- WottschelV,
- 亚历山大直流,
- 郭页,等
- 10.↵
- 陈C,
- Liaw一个,
- Breimanl
- 11.↵
- 12.↵
- Eshaghi一个,
- Riyahi-Alam年代,
- 卡R,等
- 13.↵
- 14.↵
- 15.↵
- 16.↵
世界医学协会.赫尔辛基宣言,涉及人体的医学研究的伦理原则.爱丁堡:第52届WMA大会;2000.
- 17.↵
- 18.↵
- 19.↵
- 20.↵
- 21.↵
- 22.↵
- 23.↵
- 24.↵
- 25.↵
- 26.↵
- 27.↵
- 28.↵
- 29.↵
- 30.↵
- 31.↵
- 32.↵
- 33.↵
- 34.↵
- 35.↵
- 36.↵
- 37.↵
- 38.↵
- 39.↵
- 40.↵
- 41.↵
- 42.↵
- 43.↵
信件:快速在线通信
-
回复Avasarala等人对我们文章的评论
- 阿尔曼Eshaghi,,女王广场多发性硬化症中心,神经炎症系,伦敦大学学院神经病学研究所,首页arman.eshaghi.14@ucl.ac.uk
- Olga Ciccarelli,伦敦,英国
2017年1月3日提交 -
从MS破译NMOSD的算法
- JagannadhaAvasarala,神经学副教授首页,南加州大学医学院,格林维尔卫生系统,javasarala@ghs.org
- 格林维尔
2016年12月27日提交
需求
如果你要上传关于文章的信件:
您必须在六个月内更新您的披露:http://submit.首页neurology.org
您的合著者必须发送一份完整的出版协议表格来首页(对于主要/通讯作者不需要填写以下表格即可),然后再上传您的评论。
如果你在回复一篇关于你最初撰写的文章的评论:
您(和共同作者)不需要填写表格或检查披露,因为作者表格仍然有效
并适用于信件。
提交规格:
- 文章必须少于200字,参考文献少于5篇。参考文献1必须是你所评论的文章。
- 投稿者不得超过5人。(例外:原作者回复可以包括文章的所有原作者)
- 只可提交发稿日起6个月内发表的文章。
- 不要冗余。在提交之前阅读文章上已经发布的任何评论。
- 提交的意见在发表前须经过编辑和编辑审查。
你可能也感兴趣
提醒我
推荐的文章
- 文章
视神经脊髓炎认知障碍的MRI结构底物刘友鸥,傅莹,门诺M. Schoonheim等。
首页神经病学,2015年9月30日 - 文章
放射学孤立综合征中的早期中枢神经退行性变克里斯蒂娜·j·阿泽维多,伊芙·奥弗顿,桑卡尔帕·卡德卡等人。
首页神经炎症,2015年4月9日 - 文章
在多发性硬化症中,随着认知能力下降的恶化,皮质萎缩加速Anand J.C. Eijlers, Iris Dekker, Martijn D. Steenwijk等。
首页2019年9月4日 - 文章
皮质厚度和血清NfL解释多发性硬化症新诊断患者的认知功能障碍Álvaro J. Cruz-Gomez, Lucía Forero, Elena Lozano-Soto等。
首页《神经病学:神经免疫学与神经炎症》,2021年8月31日


