跳转到主要内容
  • 首页Neurology.org
  • 期刊
    • 首页
    • 临床实践
    • 教育
    • 遗传学
    • 神经免疫学和神经炎症
  • 在线部分
    • 首页神经学视频杂志俱乐部
    • 多样性,股本,包含(一些)
    • 首页神经学:临床实践加速器
    • 实践的嗡嗡声
    • 当前实践
    • 居民和同伴
    • 无国界
  • 188app官网下载
    • COVID-19
    • 争议和辩论
    • 健康差异
    • 信息图
    • 188app下载地址
    • 零假设
    • 188app苹果
    • 话题无所不包的
    • 188app下载
    • UDDA修订系列
  • 188bet官网app网址
  • 芝加哥商品交易所
  • 关于
    • 关于期刊
    • 联系我们
    • 188app
  • 作者
    • 提交新的手稿
    • 提交修改后的手稿
    • 作者中心

高级搜索

主菜单

  • 首页Neurology.org
  • 期刊
    • 首页
    • 临床实践
    • 教育
    • 遗传学
    • 神经免疫学和神经炎症
  • 在线部分
    • 首页神经学视频杂志俱乐部
    • 多样性,股本,包含(一些)
    • 首页神经学:临床实践加速器
    • 实践的嗡嗡声
    • 当前实践
    • 居民和同伴
    • 无国界
  • 188app官网下载
    • COVID-19
    • 争议和辩论
    • 健康差异
    • 信息图
    • 188app下载地址
    • 零假设
    • 188app苹果
    • 话题无所不包的
    • 188app下载
    • UDDA修订系列
  • 188bet官网app网址
  • 芝加哥商品交易所
  • 关于
    • 关于期刊
    • 联系我们
    • 188app
  • 作者
    • 提交新的手稿
    • 提交修改后的手稿
    • 作者中心
  • 家
  • 最新文章
  • 最新一期
  • 过去的问题
  • 首页神经学视频杂志俱乐部
  • 居民和同伴

用户菜单

  • 订阅
  • 我的提醒
  • 登录
  • 注销

搜索

  • 高级搜索
首页
家
最广泛的阅读和高度引用同行评议的神经病学杂志上首页
  • 订阅
  • 我的提醒
  • 登录
  • 注销
网站的标志
  • 家
  • 最新文章
  • 最新一期
  • 过去的问题
  • 首页神经学视频杂志俱乐部
  • 居民和同伴

分享

2018年9月18日, ;91 (12) 文章 开放获取

Fremanezumab偏头痛的预防治疗

在不头痛的日子里功能状态

朱莉安娜VanderPluym,大卫·w·Dodick,理查德·b·利普顿,Yuju马,皮帕s .放大镜,马塞洛·e·Bigal
第一次出版2018年8月17日, DOI: https://doi.org/10.1212/01.wnl.0000544321.19316.40
朱莉安娜VanderPluym
从梅奥诊所(J.V.D.W.D.),凤凰城,阿兹;蒙蒂菲奥里头痛中心(R.B.L.),爱因斯坦医学院,纽约,纽约;Teva制药有限公司(Y.M.Netanya P.S.L.),以色列;和梯瓦制药有限公司(M.E.B.),弗雷泽,PA。Bigal博士现在普渡制药,斯坦福,CT。
医学博士
  • 在谷歌学术搜索找到这位作者
  • 在PubMed找到这位作者
  • 寻找作者在这个地点上
大卫·w·Dodick
从梅奥诊所(J.V.D.W.D.),凤凰城,阿兹;蒙蒂菲奥里头痛中心(R.B.L.),爱因斯坦医学院,纽约,纽约;Teva制药有限公司(Y.M.Netanya P.S.L.),以色列;和梯瓦制药有限公司(M.E.B.),弗雷泽,PA。Bigal博士现在普渡制药,斯坦福,CT。
医学博士
  • 在谷歌学术搜索找到这位作者
  • 在PubMed找到这位作者
  • 寻找作者在这个地点上
理查德·b·利普顿
从梅奥诊所(J.V.D.W.D.),凤凰城,阿兹;蒙蒂菲奥里头痛中心(R.B.L.),爱因斯坦医学院,纽约,纽约;Teva制药有限公司(Y.M.Netanya P.S.L.),以色列;和梯瓦制药有限公司(M.E.B.),弗雷泽,PA。Bigal博士现在普渡制药,斯坦福,CT。
医学博士
  • 在谷歌学术搜索找到这位作者
  • 在PubMed找到这位作者
  • 寻找作者在这个地点上
Yuju马
从梅奥诊所(J.V.D.W.D.),凤凰城,阿兹;蒙蒂菲奥里头痛中心(R.B.L.),爱因斯坦医学院,纽约,纽约;Teva制药有限公司(Y.M.Netanya P.S.L.),以色列;和梯瓦制药有限公司(M.E.B.),弗雷泽,PA。Bigal博士现在普渡制药,斯坦福,CT。
马
  • 在谷歌学术搜索找到这位作者
  • 在PubMed找到这位作者
  • 寻找作者在这个地点上
皮帕s .放大镜
从梅奥诊所(J.V.D.W.D.),凤凰城,阿兹;蒙蒂菲奥里头痛中心(R.B.L.),爱因斯坦医学院,纽约,纽约;Teva制药有限公司(Y.M.Netanya P.S.L.),以色列;和梯瓦制药有限公司(M.E.B.),弗雷泽,PA。Bigal博士现在普渡制药,斯坦福,CT。
博士学位
  • 在谷歌学术搜索找到这位作者
  • 在PubMed找到这位作者
  • 寻找作者在这个地点上
马塞洛·e·Bigal
从梅奥诊所(J.V.D.W.D.),凤凰城,阿兹;蒙蒂菲奥里头痛中心(R.B.L.),爱因斯坦医学院,纽约,纽约;Teva制药有限公司(Y.M.Netanya P.S.L.),以色列;和梯瓦制药有限公司(M.E.B.),弗雷泽,PA。Bigal博士现在普渡制药,斯坦福,CT。
医学博士
  • 在谷歌学术搜索找到这位作者
  • 在PubMed找到这位作者
  • 寻找作者在这个地点上
完整的PDF
简式
引用
Fremanezumab偏头痛的预防治疗
在不头痛的日子里功能状态
朱莉安娜VanderPluym,大卫·W。Dodick,理查德·B。利普顿,Yuju马,皮帕。放大镜,马塞洛E。Bigal
首页 2018年9月, 91年 (12) e1152-e1165; DOI:10.1212/01. wnl.0000544321.19316.40

引用管理器格式

  • 助理
  • 书挡
  • 值得
  • 尾注(标记)
  • 尾注8 (xml)
  • 枸杞
  • Mendeley
  • 论文
  • RefWorks标记
  • Ref经理
  • RIS
  • Zotero
权限

做出评论

看到评论

下载
2324年

分享

  • 文章
  • 数据与数据
  • 信息与信息披露
  • CME过程
加载

文摘

客观的评估的影响fremanezumab在第二阶段功能状态在不头痛的日子情景偏头痛(EM)和慢性偏头痛(CM)的研究。

方法前瞻性地收集了功能状态数据通过电子头痛日记对所有病人回答问题不头痛的日子有关工作/学校/家庭琐事的性能,工作完成的速度,浓度和疲劳感。EM患者接受每月225毫克剂量的fremanezumab (n = 96)或675毫克(n = 97)或安慰剂(n = 104)进行了比较。患者CM接收fremanezumab 675毫克紧随其后的是每月225毫克(n = 88)和900毫克(n = 86)独立也比接受安慰剂(n = 89)。

结果EM患者,与接受安慰剂的病人相比,那些接受fremanezumab经历了数量的增加与正常功能不头痛的日子在工作/学校/家庭琐事性能和浓度/精神疲劳的措施与基线相比在整个治疗期间(所有p< 0.005)。增加的数量不头痛的日子与正常功能性能的一些措施也发现在那些接受fremanezumab CM组。

结论有一个数量的增加不头痛的日子与正常功能性能在所有EM患者和一些措施办法CM fremanezumab-treated组患者。需要进一步的研究来证实这些发现前瞻性研究和阐明底层机制(s)。

ClinicalTrials.gov标识符:NCT02025556和NCT02021773。

证据的分类这项研究提供了二类证据表明偏头痛患者,fremanezumab增加正常功能表现在不头痛的日子。

术语表

ANCOVA=
协方差分析;
CGRP怎样=
降钙素相关基因肽;
厘米=
慢性偏头痛;
新兴市场=
情景性偏头痛;
HFEM=
高频情景性偏头痛;
MMRM=
mixed-effects模型重复测量

情景性偏头痛(EM)影响普通人群的12%,和≈1%的普通人群慢性偏头痛(CM)经验,定义为头痛发生在至少15 d / mo,每月至少有8天的偏头痛。1,- - - - - -,4残疾的基础上与头痛的攻击,偏头痛是全球排名第七最高医学残疾的原因。5

Headache-related残疾可能不完全捕捉到偏头痛的负担,因为越来越多的证据表明偏头痛超出头痛的效果。在最近的一项大型研究6调查2959 EM患者,10.6%发作焦虑,14.8%报道回避和生活方式妥协,26%报道发作症状。而不是传统观点的偏头痛的情景或阵发性头痛疾病攻击分为离散阶段之间的病人无症状,偏头痛可能最好的概念化的慢性神经障碍持续interparoxysmal生理妥协,以持续的症状被头痛反复发作和其他attack-related症状可能包括前驱症状的重叠阶段(通常称为先兆的),光环,头痛,postdrome。7,- - - - - -,9前驱症状和postdrome确实是常见的症状,影响人口高达80%的偏头痛。10,- - - - - -,12占phase-related和发作nonheadache症状,除了常见的共病疾病的症状,最重要的是充分描述偏头痛的负担。

Fremanezumab,原名tev - 48125,是一个完全人性化的免疫球蛋白G2a单克隆抗体,强有力地和有选择性地结合降钙素相关基因肽(CGRP怎样),从而防止其受体的绑定。2和关键阶段3期试验评估其有效性和安全性已经完成对EM和厘米。13,- - - - - -,17在试验中,病人完成了每日头痛日历;天,他们没有经历头痛,病人回答问题关注功能性能。这里,我们利用第二阶段fremanezumab试验来评估它对功能的影响表现在不头痛的日子。

主要研究问题

偏头痛患者服用fremanezumab有改进的功能性能不头痛的日子吗?这项研究提供了二类证据表明偏头痛患者,fremanezumab增加不头痛的日子与正常功能的性能。

标准协议的审批、登记和病人同意

高频电磁(HFEM)和CM进行第二阶段的研究按照良好的临床实践和美国食品和药物管理局安全监测和注册指南clinicaltrials.gov作为NCT02025556和NCT02021773。所有的病人提供书面知情同意参加这项研究之前,和所有协议为每个站点被机构审查委员会批准。研究进行了从2014年1月到2015年1月在美国62个站点,包括头痛中心、神经学诊所,和初级保健设施。首页

研究设计和病人

目前的研究是一个数据的事后分析。第二阶段试验评估预防性治疗的fremanezumab HFEM和厘米。13,14在每个研究中,2剂fremanezumab管理每月4皮下注射一次3个月:每月225或675毫克fremanezumab HFEM研究和675毫克(1初始负荷剂量)其次是每月225或900毫克fremanezumab CM的研究。

这两项研究评估病人18岁到65岁。合格病人HFEM审判HFEM,定义为每月8到14天头痛,并被允许使用标准1偏头痛预防药物稳定剂量至少3个月前研究和急性发作偏头痛药物14 d / mo(最多4天的阿片类药物或巴比妥酸盐)。符合条件的患者在CM试验遇到头痛疾患三世β国际分类标准厘米(定义为>每月15天头痛,甚至可能有每日头痛)。4他们被允许使用两种不同的偏头痛预防药物稳定剂至少3个月前研究入口和被允许像往常一样对待他们的急性偏头痛。两项研究中,患者需要≥80%遵守日常头痛的记录信息使用电子头痛日记在28天试车阶段。患者被排除在外,如果他们收到onabotulinumtoxinA研究入口前的6个月期间,使用阿片类药物或巴比妥酸盐> 4天在试车阶段,或失败≥3偏头痛预防药物。

随机化和屏蔽

满足资格要求后28天试车期间,病人HFEM和CM试验的分层性和预防性药物治疗的基础上使用,然后随机化(比)是安慰剂或1的2积极治疗武器通过电子交互式web访问的响应系统研究协调员通过eClinical操作系统门户,联邦Regulations-compliant基于权限系统的代码。随机化模式是由一个专门的人员集中在开发合同研究组织没有进一步的作用研究。

研究地点被要求有2盲法研究协调员在每个诊所访问,1为临床评估和治疗管理。患者戴面具的治疗分配;他们都接受了4每28天注射治疗访问相同的包装和外观无论治疗组从盲法研究协调员。

程序

日常信息的发生和性质头痛被病人使用电子日记。每一天,患者前24小时内记录数据。的交互式web反应系统允许1天back-entering信息,之后是锁着的。头痛信息被记录在试车阶段和三种治疗28天期。

结果和分析

对于这些事后分析,不头痛的日子被定义为天,一次,一位病人回答说“不”的问题,“你经历过任何严重的头痛吗?前瞻性地收集了“功能性性能数据通过电子日记,1分为2类:工作/学校/家庭琐事和浓度/精神疲劳性能。

评估性能在工作场所、学校或家里,病人问以下两个问题,能回答通过选择正常,< 50%受损,或≥50%受损:(1)昨日表现最好的描述你的工作/学校;和(2)最好描述你做家务的能力。评估集中/精神疲劳,病人问以下三个问题和可以选择的时间,有些时候,大多数时候,或者所有的时间:(1)多少工作的时候你觉得你更慢或完成任务的时间更长?(2)昨天有多少时间你发现很难把精力集中在你需要做什么?(3)平均有多少时间你昨天很累,睡着了,还是感觉精疲力尽?

使用协方差分析(ANCOVAs)和重复测量(MMRM) mixed-effects模型分析(SAS 9.2版本,SAS研究所卡里,NC),我们分析了改变基线的平均天数每调查给出了每个可能的响应问题。ANCOVAs测量平均天数的变化对于每一个可能的反应从基线到整个治疗期间(周1 - 12)。MMRM分析评估的变化意味着天数为每一个可能的反应从基线到每个月治疗期。最好的反应表明最优状态包括能够正常工作/学习,做家务通常,报告没有时间更慢或完成任务的时间更长,工作报告没有时间和注意力不集中,和报告没有时间感觉很累,睡着了,或者感觉精疲力尽。所有疗效变量修改intent-to-treat原理进行了分析,其中包括所有随机接受至少1剂量的研究药物的受试者并提供至少1端点测量。ANCOVA模型包括治疗、性别、地区和基线预防性药物的使用(yes / no)作为固定效应和基线值和年偏头痛发作不。另外MMRM模型包括月和treatment-by-month交互。因为这些是事后分析,调整为多个比较是不合适的,18和推断统计的结果应该被认为是探索性的。

数据可用性

事后分析中描述的数据可用的报告要求作者调查人员或梯瓦制药有限公司,该公司赞助fremanezumab治疗偏头痛的临床开发。

结果

耐心的性格

HFEM和CM研究在同一地点同时进行的,和一个共有1170名患者筛选研究的整体。在HFEM研究中,297人合格标准和被随机分配接受安慰剂(n = 104) fremanezumab 225毫克(n = 96)或675毫克(n = 97)。在CM研究中,264厘米的患者被随机分配接受安慰剂(n = 89)或fremanezumab 675/225毫克(n = 88)或900毫克(n = 87)。提出了两项研究的人口学特征表1。病人性格和撤军的原因前面描述的。13,14

把这个表:
  • 内联视图
  • 查看弹出
  • 下载演示文稿
表1

基线人口统计学和疾病HFEM和CM研究中的患者的特征

安全性和有效性

详细HFEM和厘米2期研究结果描述了其他地方。13,14总之,fremanezumab被证明有良好的安全性和耐受性良好,没有严重的安全信号或临床相关的生命体征的变化,心电图参数,或实验室的发现。没有差异的速度与fremanezumab治疗诱发的不良事件与安慰剂相比,除了轻微的注射部位疼痛和瘙痒。的注射部位疼痛的安慰剂组HFEM和CM研究是6%和3%,分别为fremanezumab组分别为6.8%和8.0%。瘙痒率是0%的安慰剂组和2%和3.4% HFEM fremanezumab组织和CM研究。

如前所述,fremanezumab显著改善头痛等参数的头痛天数和期间的偏头痛天数显著功效的研究和在早期端点与安慰剂治疗1周后。16,17在HFEM研究中,不头痛的日子在3月的平均数是19.7 (4.9 SD)安慰剂组,22.1(标准差4.7)fremanezumab 225毫克组,和21.8(标准差4.9)fremanezumab 675毫克组。在CM研究中,不头痛的日子在3月的平均数是12.5 (7.9 SD)安慰剂,15.0(标准差8.2)fremanezumab 675/225毫克,和15.7(标准差8.2)fremanezumab 900毫克。

功能状态

ANCOVA最小二乘的结果意味着(标准误差)事后分析的变化从基线到治疗期结束后应对问题的功能状态在不头痛的日子里所示表2。HFEM学习小组,我们发现fremanezumab组和安慰剂组之间的差异的变化从基线到结束治疗的数量不头痛的日子里的病人报告说他们正常工作/学习,通常做家务(所有p< 0.005)。有治疗差异报告病人的数量的不头痛的日子没有时间更慢,没有时间和注意力不能集中,而没有时间感觉很累,睡着了,或者感觉精疲力尽p< 0.005)。

把这个表:
  • 内联视图
  • 查看弹出
表2

patient-reported措施的变化从基线到结束三个月的治疗期在不头痛的日子2域功能的性能

在CM的研究中,对于那些接受900毫克剂量,我们发现了一致的差异相比,那些接受安慰剂的数量不头痛的日子与反应表明最优状态(正常工作/研究p= 0.011,正常完成家务p= 0.0007,报道没有时间更慢p= 0.0076,难以集中注意力p= 0.0162,或者感觉很累p= 0.0322)。675/225-mg剂量组的患者,与安慰剂相比有差异的数量不头痛的日子中,患者通常做家务(p= 0.0465)和没有时间难以集中报道(p= 0.0284)。虽然不头痛的日子的患者数量的变化报道工作/学习和家务性能受损≥50%或报告有困难在大部分时间集中最低(即。对所有组),< 1天,有增加675/225-mg组相比安慰剂组(p= 0.0302,p= 0.0211,p分别为= 0.0109;表2)。

在每个月fremanezumab治疗期间功能状态

MMRM结果分析基线每个月治疗期间的变化反应表明最优状态下面描述和说明图1和2。全部结果的数据对于所有可能的反应是可用的表3。

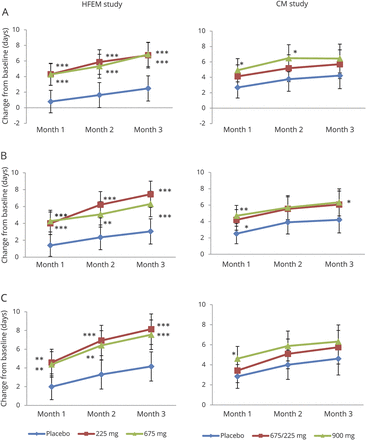
图1
  • 下载图
  • 打开新标签
  • 下载演示文稿
图1 病人回答有关工作/学校/工作性能的问题

(一)工作/学校表现:我正常工作/研究。(B)最好描述你的家务能力:我通常做家务。厘米=慢性偏头痛;HFEM =高频情景性偏头痛。*p< 0.05,* *p< 0.01,* * *p< 0.001。

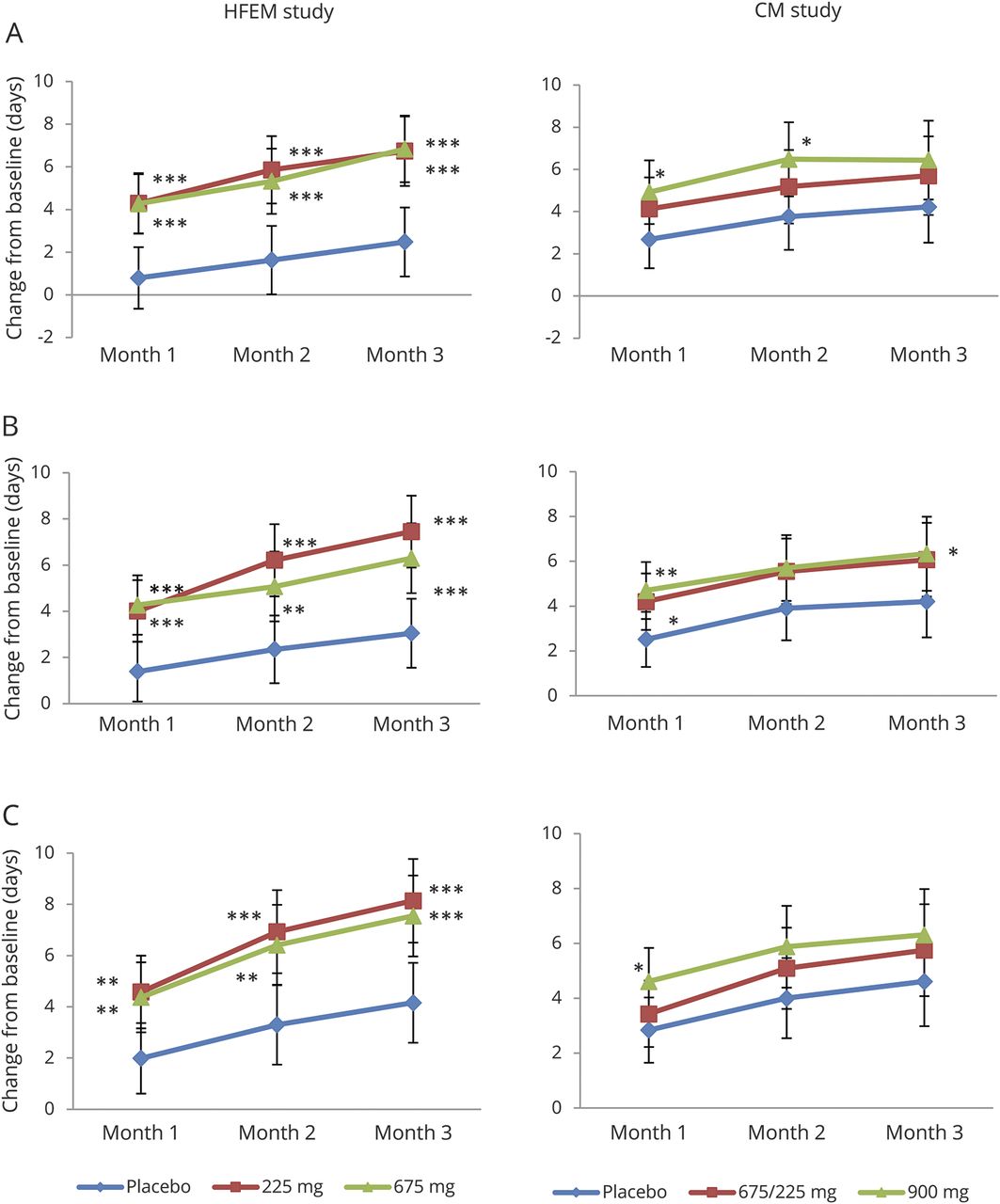
图2
  • 下载图
  • 打开新标签
  • 下载演示文稿
图2 患者反应问题难以集中和精神疲劳

(A)多少时间你觉得工作更慢或完成一项任务的时间更长?所有的时间。(B)昨天有多少时间你发现很难集中精力你需要做什么?所有的时间。(C)平均多少时间昨天你很累,睡着了,还是感觉精疲力尽?所有的时间。厘米=慢性偏头痛;HFEM =高频情景性偏头痛。*p< 0.05,* *p< 0.01,* * *p< 0.001。

把这个表:
  • 内联视图
  • 查看弹出
表3

MMRM分析结果功能性能的措施

所示图1,更改分数表明不头痛的日子中,患者的数量能够执行工作/学习和家务通常相对于基线增加预处理期间每个月的fremanezumab治疗。在CM研究中,虽然有数量的增加不头痛的日子工作/学习和家务通常表现为fremanezumab组,只有边际效应显示900毫克组。

病人在HFEM研究225 - 675毫克组报道数量的增加不头痛的日子与安慰剂相比,他们没有工作更慢或报告没有难于集中注意力,不感觉很累,感觉精疲力尽在每个治疗周期(图2,所有p< 0.001,除了2月675毫克,p没有困难集中p < 0.01)。CM研究,报告病人的增加不头痛的日子没有时间和注意力不能集中和时间感觉很累,睡着了,或者感觉精疲力尽在每个治疗3月期的900毫克剂量(所有p< 0.05,除了3月没有时间更慢,也没有感觉很累)。

讨论

病人服用fremanezumab HFEM和CM试验报告的数量增加不头痛的日子与正常功能性能相比安慰剂的领域内工作或学校,家庭工作,家务,以及能源和集中注意力的能力。HFEM试验,增加不头痛的日子与正常功能性能与225 - 675毫克剂量的fremanezumab。在CM的试验中,增加不头痛的日子与正常功能性能被认为主要是900毫克剂量的fremanezumab。

因为这些发现来自事后分析执行检查患者功能状态在不头痛的日子fremanezumab HFEM和CM第二阶段研究期间,应该考虑探索的结果。还需要进一步的研究来证实这些初步发现和理解因素导致认知功能状态在不头痛的日子。剖析这些因素对理解至关重要的总负担偏头痛患者和确定如何治疗像fremanezumab可能解决其中的一些。可以假设一个病人有更多的不头痛的日子与正常功能性能fremanezumab仅仅是因为他们有更多的不头痛的日子。增加不头痛的日子里,患者可能有减少发作的焦虑,从而减少回避行为和生活方式妥协,使他们能够正常运转。这是一个可测试的假设未来的研究。值得注意的是,我们没有看到一个一致的增加不头痛的日子当患者在积极治疗报道低层次的功能性能与安慰剂相比。这是一个重要的观察,因为许多预防偏头痛治疗已知各种副作用(如认知困难),会引起发作症状负担和减少药物治疗依从性和持久性。19,20.

急性治疗偏头痛的管理往往是在头痛的发作,但管理的一个子集病人可能就不头痛的日子是一种先行治疗,尤其是前驱症状有经验,为了抢占头痛的阶段。此外,病人可能使用一种急性治疗没有头痛的焦虑反应的恐惧头疼(cephalalgiaphobia)。21,22更不头痛的日子里,患者可能减少摄入的急性治疗,导致减少任何相关的副作用,可能导致受损的功能表现在不头痛的日子。总的来说,病人服用fremanezumab显著降低急性药物的使用,5和6.5 d / mo相比减少3和4 d / mo服用安慰剂的受试者在HFEM和厘米的研究。13,14我们不知道具体的使用是否急性药物减少头痛和不头痛的日子。未来的研究应该考虑潜在的变化在急性药物由于使用预防性治疗的评估功能的性能。

另一个可能性是有影响的不仅仅是头痛阶段的攻击还前驱症状,postdrome或interictal-phase症状在不头痛的日子。偏头痛的前驱症状阶段被认为是集中中转,可能在下丘脑的层面上。23尽管CGRP-monoclonal抗体并不认为穿过血脑屏障,因为他们的高分子量、fremanezumab可能会直接影响中央网络。一种可能性是,fremanezumab可以减少CGRP-mediated trigeminovascular系统中的传输,这减少外周传入活动可能调节中央网络生成偏头痛攻击。24,25在研究唾液CGRP怎样在偏头痛患者阶段EM水平,显著增加CGRP怎样被发现在先兆的,轻微的头痛,和中度到重度头痛阶段相比,在基线水平和解决阶段。26患者CM的预处理interheadache CGRP怎样水平也被证明是在反应明显高于onabotulinumtoxinA nonresponders相比,在治疗后1个月,CGRP怎样减少人员而不是nonresponders。27调查我们的病人没有前驱症状和postdrome症状,所以比较这样的症状和他们的报道功能状态是不可能的。是对未来的研究是否fremanezumab对这些症状有影响,这涉及到如何提出的作用机制及其对疾病负担的影响整体。

CGRP怎样影响的另一个解释是,调制共病抑郁、焦虑、肠易激综合症和其他慢性疼痛障碍,没有评估。动物模型表明CGRP怎样的作用类似抑郁的症状和焦虑性神经通路。28,- - - - - -,31日CGRP怎样一直在研究各种疼痛综合症,其中包括纤维组织肌痛32和内脏疼痛。33β-CGRP也被报告为调制自主内脏控制肠道。34未来的研究应该评估CGRP-modulating疗法的效果共病疾病相关的症状。

与所有临床试验,一个潜在的限制我们的研究是,病人可能已经成为研究中选取的,因为副作用的差异之间的积极治疗和安慰剂治疗,这可能影响的报告。考虑到低的不良事件报道,发生在HFEM和CM研究,不太可能,任何无效符号由于副反应差异对结果的影响很大。另一个限制我们的研究包括这样一个事实:我们的评估函数不是基于标准化的问卷测试6或头痛等影响Migraine-Specific生活质量调查问卷。然而,这些措施询问过去4周,不区分猝发的和发作的负担。我们相信报道每天日记问最后一天提供一个face-valid方法评估自我报告的函数在某一天。每日日记措施不受回忆偏倚和建议作为一个额外的措施来回顾生活质量评估。35尽管如此,验证这些措施是必要的。的临床意义数量的增加与正常功能并不是评估不头痛的日子;因此,直接比较其他类型的偏头痛与健康有关的生活质量评估是需要在将来的研究中。36,37然而,认识到在头痛临床试验的差异每月1天头痛是临床意义以及减少30%头痛频率,我们可以推测,我们的发现可能具有临床意义。38

本研究的力量是,它引入了一个新颖的和潜在的临床意义的端点,如果未来的研究证实,有助于更全面的测量结果对病人和提出了一系列质疑这类生物制剂的作用机制和疾病的机制在偏头痛。

我们的研究报告增加了患者与正常功能不头痛的日子在HFEM fremanezumab治疗和CM研究。进一步的前瞻性研究CGRP怎样单克隆抗体的效果在不头痛的日子是十分必要的。评估期间CGRP-modulating疗法对功能性性能的影响不头痛的日子和nonheadache症状可能帮助提供洞察偏头痛和潜在的病理生理机制可能有助于确定CGRP怎样单克隆抗体的作用,如fremanezumab在偏头痛的病理生理学和CGRP怎样的影响及其封锁migraine-related共病的疾病。

作者的贡献

J.V.,D。W.D., R.B.L., P.S.L., Y.M., and M.E.B. designed the post hoc analyses and discussed the interpretation of the results. Y.M. created the statistical analysis plan, analyzed and interpreted data. J.V. and P.S.L. wrote the first draft of the manuscript. All authors participated in the writing and editing of the manuscript and approved its content.

研究资金

fremanezumab的EM和厘米2期研究中描述的这个报告是由全球专业研究和梯瓦制药产业发展有限公司(Netanya以色列)。

信息披露

j . VanderPluym报告演讲费为Healint安进和诺华和咨询。d Dodick已收到赔偿担任顾问委员会和/或咨询艾尔建,安进公司,诺华,桤木Arteaus,辉瑞公司Colucid,默克公司NuPathe,礼来公司,自主技术,Ethicon强生,Zogenix, Supernus, Labrys,波士顿科技公司,美敦力公司,圣裘德,百时美施贵宝,Lundbeck公司,它是一家Impax,地图,Electrocore, Tonix,诺华,Teva, Alcobra, Zosano, Insys,日常,GBS / Nocira Acorda, eNeura,查尔斯顿实验室,戈尔,Biohaven, Bioventric,麦哲伦,Theranica,氙,Reddy博士的/ Promius制药公司。Dodick博士在Epien拥有股权,GBS / Nocira,第二个观点,Healint, Theranica。Dodick博士已经收到资助旅行,说,编辑活动,或从IntraMed特许使用金,圣人出版、太阳制药,爱力根,牛津大学出版社,美国神经病学学会,美国头痛学会,西弗吉尼亚大学基金会加拿大头痛学会Healthlogix,普遍的会议管理,WebMD,现时的,起到了推动作用,俄勒冈健康科学中心,阿尔伯特·爱因斯坦大学,多伦多大学,斯塔尔临床决策资源,协同作用,MedNet LLC同行认为医学教育首页研究所,Medicom,变色龙通信、持续医疗学院学习,干草市场医学教育、全球科学通信,Healthlogix,米勒医疗、MeetingLogiX,威利•布莱克威尔。Dodick博士,通过他的雇主,与NeuroAssessment系统和Myndshft咨询使用协议。他拥有与King-Devick技术的董事职位,和Epien公司。他拥有以下专利:17189376.1 -1466:vTitle:肉毒杆菌毒素为慢性偏头痛预防给药方案(无补偿)。r·利普顿报告赠款和桤木的个人费用,爱力根,CoLucid, Electrocore,和诺华;个人费用和其他从eNeura;从Ethicon个人费用,默克、Labrys、自主技术,波士顿科学,百时美施贵宝,Reddy博士的实验室,礼来,Endo制药、Informa,梯瓦制药、吠檀多;和赠款从偏头痛研究基金,国家头痛基金会、国家卫生研究院。 Y. Ma and P. Loupe are employees of the Innovative Research and Development division of Teva Pharmaceutical Industries Ltd. M. Bigal is a former employee of Teva Pharmaceuticals and is now senior vice president and chief medical officer of Purdue Pharma. Go to首页Neurology.org/N为充分披露。

承认

作者认识到奉献的病人参与研究和调查人员进行领导和fremanezumab HFEM和CM研究。特别要感谢江microrna的麦当劳和Bo(生物统计学,梯瓦制药产业,弗雷泽,PA)对他们的援助的统计分析。

脚注

  • 去首页Neurology.org/N为充分披露。资金信息和披露认为作者相关的,如果有的话,年底提供这篇文章。

  • 文章加工费由梯瓦制药有限公司的赞助fremanezumab 2期临床研究。

  • 类的证据:NPub.org/coe

  • CME过程:NPub.org/cmelist

  • 收到了2017年8月23日。
  • 接受的最终形式2018年6月25日。
  • 版权©2018年作者(年代)。发表的Wolters Kluwer健康,公司代表美国神经病学学会。首页

这是一个开放的分布式根据文章Creative Commons Attribution-NonCommercial-NoDerivatives许可证4.0 (CC BY-NC-ND),它允许下载和共享工作提供适当的引用。不能改变的工作以任何方式或使用未经许可的商业杂志。

引用

  1. 1。↵
    1. 利普顿RB,
    2. 斯图尔特WF,
    3. 钻石年代,
    4. 钻石毫升,
    5. 里德米
    。患病率和偏头痛的负担在美国:数据来自美国偏头痛研究II。头痛2001年;41:646年- - - - - -657年。
    OpenUrl CrossRef PubMed
  2. 2。↵
    1. Buse直流,
    2. Manack一个,
    3. 范宁公里,等
    。慢性偏头痛患病率、残疾和社会人口因素:美国偏头痛患病率和预防研究的结果。头痛2012年;52:1456年- - - - - -1470年。
    OpenUrl CrossRef PubMed
  3. 3所示。↵
    1. Natoli莱托,
    2. Manack一个,
    3. 迪安B,等
    。全球慢性偏头痛患病率:系统回顾。头痛2010年;30.:599年- - - - - -609年。
    OpenUrl PubMed
  4. 4所示。↵
    国际头痛协会头痛分类委员会。头痛疾患的国际分类,第3版(测试版)。头痛2013年;33:629年- - - - - -808年。
    OpenUrl CrossRef PubMed
  5. 5。↵
    GBD 2015疾病和损伤发病率和患病率的合作者。全球、区域和国家发病率、患病率和残疾人生活了310年的疾病和伤害,1990 - 2015年:2015年全球疾病负担研究系统分析。《柳叶刀》2016年;388年:1545年- - - - - -1602年。
    OpenUrl CrossRef PubMed
  6. 6。↵
    1. 你说C,
    2. 托马斯。H,
    3. StovnerLJ,等
    。阵发性头痛发作负担归因于:Eurolight项目的研究结果。我头痛2016年;17:9。
    OpenUrl
  7. 7所示。↵
    1. 科波拉G,
    2. PierelliF,
    3. SchoenenJ
    。习惯化和偏头痛。一般人学习Mem2009年;92年:249年- - - - - -259年。
    OpenUrl CrossRef PubMed
  8. 8。↵
    1. 蓝色约
    。偏头痛前驱症状分开的光环:完整的偏头痛。Br地中海J1980年;281年:658年- - - - - -660年。
    OpenUrl 文摘/免费的全文
  9. 9。↵
    1. 蓝色约
    。偏头痛postdromes:攻击后的症状。头痛1991年;11:229年- - - - - -231年。
    OpenUrl PubMed
  10. 10。↵
    1. Maniyar跳频,
    2. 斯派格T,
    3. 环球T,
    4. SchankinCJ,
    5. 戈德比PJ
    。偏头痛的先兆期:我们能从中学习什么?头痛2015年;55:609年- - - - - -620年。
    OpenUrl CrossRef PubMed
  11. 11。↵
    1. Giffin新泽西,
    2. 向鲁杰罗l,
    3. 利普顿RB,等
    。先兆的偏头痛症状:电子日记的研究。首页2003年;60:935年- - - - - -940年。
    OpenUrl 文摘/免费的全文
  12. 12。↵
    1. Giffin新泽西,
    2. 利普顿RB,
    3. SilbersteinSD,
    4. 奥尔森J,
    5. 戈德比PJ
    。偏头痛postdrome:电子日记的研究。首页2016年;87年:309年- - - - - -313年。
    OpenUrl 文摘/免费的全文
  13. 13。↵
    1. Bigal我,
    2. DodickDW,
    3. 拉波波特我,等
    。安全性、耐受性和疗效的tev - 48125高频情景性偏头痛的预防治疗:一项多中心,随机,双盲,安慰剂对照,2 b期研究。柳叶刀神经2015年;14:1081年- - - - - -1090年。
    OpenUrl CrossRef PubMed
  14. 14。↵
    1. Bigal我,
    2. Edvinssonl,
    3. 拉波波特我,等
    。安全性、耐受性和疗效tev - 48125慢性偏头痛的预防治疗:一项多中心,随机,双盲,安慰剂对照,2 b期研究。柳叶刀神经2015年;14:1091年- - - - - -1100年。
    OpenUrl CrossRef PubMed
  15. 15。↵
    1. SilbersteinSD,
    2. DodickDW,
    3. Bigal我等
    。Fremanezumab慢性偏头痛的预防治疗。N拉米夫地中海2017年;377年:2113年- - - - - -2122年。
    OpenUrl CrossRef PubMed
  16. 16。↵
    1. Bigal米,
    2. DodickD,
    3. KrymchantowskiAV,等
    。tev - 48125慢性偏头痛的预防治疗:功效在早期的时间点。首页2016年;87年:1- - - - - -8。
    OpenUrl 免费的全文
  17. 17所示。↵
    1. AycardiE,
    2. Bigal米,
    3. 麦当劳米
    。Fremanezumab(以前tev - 48125)减少头痛的第一周内开始治疗的第二阶段情景偏头痛研究:在美国头痛学会抽象IOR5。头痛2017年;57(,85):I29。
    OpenUrl
  18. 18岁。↵
    美国卫生和人类服务部食品和药物管理局。多个端点在临床试验指导工业指南草案。2017年。可以在:fda.gov /下载/药品/ guidancecomplianceregulatoryinformation /指引/ ucm536750.pdf。2018年5月15日通过。
  19. 19所示。↵
    1. SilbersteinSD
    。托吡酯在偏头痛的预防:2016年的角度来看。头痛2017年;57:165年- - - - - -178年。
    OpenUrl CrossRef PubMed
  20. 20.↵
    1. HeppZ,
    2. BloudekLM,
    3. 瓦伦而言科幻小说
    。系统综述的偏头痛预防依从性和持久性。J等保健制药2014年;20.:22- - - - - -33。
    OpenUrl PubMed
  21. 21。↵
    1. 佩雷斯曼氏金融,
    2. Mercante摩根大通,
    3. GuendlerVZ,等
    。Cephalalgiaphobia:一个可能的疾病的特定恐惧症。我头痛2007年;14:56- - - - - -59。
    OpenUrl
  22. 22。↵
    1. GianniniG,
    2. Zanigni年代,
    3. 格里马尔迪D,等
    。Cephalalgiaphobia高频偏头痛的特性:一个试点研究。我头痛2013年;14:49。
    OpenUrl
  23. 23。↵
    1. Maniyar跳频,
    2. 斯派格T,
    3. 环球T,
    4. SchankinC,
    5. 戈德比PJ
    。在先兆期发生的大脑激活的硝化甘油引起偏头痛发作。大脑2014年;137年:232年- - - - - -242年。
    OpenUrl CrossRef PubMed
  24. 24。↵
    1. Eftekhari年代,
    2. 塞尔瓦托CA,
    3. 约翰逊年代,
    4. 陈T,
    5. 曾Z,
    6. Edvinssonl
    。CGRP怎样定位,CGRP怎样受体,PACAP和谷氨酸在三叉神经节:血脑屏障。大脑Res2015年;1600年:93年- - - - - -109年。
    OpenUrl CrossRef PubMed
  25. 25。↵
    1. 戈德堡西南,
    2. SibersteinSD
    。针对CGRP怎样:偏头痛治疗的新时代。中枢神经系统药物2015年;29日:443年- - - - - -452年。
    OpenUrl CrossRef PubMed
  26. 26岁。↵
    1. 便帽RK,
    2. 落地时简历,
    3. 何太瓦,
    4. Bigal我,
    5. 达勒姆PL
    。唾液降钙素相关基因肽水平升高在急性偏头痛rizatriptan预测治疗反应。头痛2009年;49:1258年- - - - - -1266年。
    OpenUrl CrossRef PubMed
  27. 27。↵
    1. Cernuda-MorollonE,
    2. 拉蒙C,
    3. Martinez-CamblorP,
    4. Serrano-PertierraE,
    5. LarrosaD,
    6. 帕斯卡J
    。OnabotulinumtoxinA减少发作CGRP怎样等离子体水平在慢性偏头痛患者。疼痛2015年;156年:820年- - - - - -824年。
    OpenUrl CrossRef PubMed
  28. 28。↵
    1. 邵B,
    2. 周YL型,
    3. 王H,
    4. 林y
    。的作用降钙素相关基因肽在慢性轻度stress-treated缺血性中风后抑郁大鼠。杂志Behav2015年;139年:224年- - - - - -230年。
    OpenUrl
  29. 29。↵
    1. 水槽KS,
    2. 沃克戴斯。莱纳姆:,
    3. 杨Y,
    4. 戴维斯米
    。降钙素相关基因肽在床上核的条痕terminalis产生焦虑的行为模式,增加神经激活焦虑性结构。J >2011年;31日:1802年- - - - - -1810年。
    OpenUrl 文摘/免费的全文
  30. 30.↵
    1. Schorscher-Petcu一个,
    2. 奥斯丁JS,
    3. MogilJS,
    4. QuirionR
    。角色的中央降钙素相关基因肽(CGRP怎样)运动和焦虑——在两个品系小鼠和类似抑郁的行为表现出CGRP-dependent热疼痛敏感性的差异。J摩尔>2009年;39:125年- - - - - -136年。
    OpenUrl CrossRef PubMed
  31. 31日。↵
    1. 在我新西兰,
    2. 削减D
    。床的CGRP怎样抑制神经元细胞核的条痕terminalis:对恐惧和焦虑的规定的影响。J >2014年:34:60- - - - - -65年。
    OpenUrl 文摘/免费的全文
  32. 32。↵
    1. VaeroyH,
    2. SakuradaT,
    3. ForreO,
    4. 卡斯E,
    5. Tereniusl
    。调制的疼痛在纤维肌痛(纤维化综合征)脑脊液(CSF):调查的疼痛相关的神经肽与降钙素相关基因肽(CGRP怎样)。J Rheumatol1989年;16(增刊19):94年- - - - - -97年。
    OpenUrl
  33. 33。↵
    1. 休乌WS,
    2. Ashina年代,
    3. 阿明调频,
    4. 戈德比P,
    5. Ashina米
    。降钙素相关基因肽和痛苦:系统回顾。我头痛2017年;18:34。
    OpenUrl CrossRef PubMed
  34. 34。↵
    1. Abdel-Salam渗出性中耳炎
    1. 伊万格丽斯塔年代
    。辣椒素受体的目标降钙素相关基因肽在肠道。:Abdel-Salam渗出性中耳炎,编辑器。辣椒素分子治疗,药物研究的进展。卷68。巴塞尔协议:施普林格;2014年。
  35. 35。↵
    1. 伯顿WN,
    2. 兰迪上海,
    3. 波动柯,
    4. RunkenC
    。偏头痛和偏头痛治疗的效果的影响在美国职场生产力和未来研究的建议。梅奥中国Proc2009年;84年:436年- - - - - -445年。
    OpenUrl CrossRef PubMed
  36. 36。↵
    1. 利普顿RB,
    2. 罗森问,
    3. AilaniJ,
    4. DeGryse再保险,
    5. 吉拉德PJ,
    6. 瓦伦而言科幻小说
    。OnabotulinumtoxinA可以提高生活质量和减少慢性偏头痛的影响超过一年的治疗:汇集结果抢占随机临床试验项目。头痛2016年;36:899年- - - - - -908年。
    OpenUrl CrossRef PubMed
  37. 37岁。↵
    1. 利普顿RB,
    2. 瓦伦而言科幻小说,
    3. GrosbergB,等
    。OnabotulinumtoxinA可以提高生活质量和减少慢性偏头痛的影响。首页2011年;77年:1465年- - - - - -1472年。
    OpenUrl 文摘/免费的全文
  38. 38。↵
    1. DodickDW,
    2. 特克尔CC,
    3. DeGryse再保险,等
    。在对照试验评估临床有意义的治疗效果:慢性偏头痛为例。J疼痛2015年;16:164年- - - - - -175年。
    OpenUrl

信:快速的网络通信

没有对本文发表评论。
评论

需求

你必须确保披露已经过去6个月内更新。请到我们的提交网站添加或更新你的披露信息。

你的合作者必须发送完成出版协议形式来首页员工(不是必要的领导/通讯作者如下表单就足够了)在你上传你的评论。

如果你回复评论,写过一篇文章你最初撰写:
你(和合作者)不需要填写表单或检查信息披露作为作者形式仍然有效
和申请信。

提交规格:

  • 提交必须与< < 200字5引用。参考1必须你评论的文章。
  • 提交不应该超过5作者。(例外:原作者回复可以包括所有原始作者的文章)
  • 6个月内提交只在文章发表日期的问题。
  • 不会是多余的。读任何评论已经张贴在本文之前提交。
  • 提交评论编辑和编辑审查发布之前。

更多的指导方针和信息在争议和辩论

写评论

关于文本格式的更多信息

纯文本

  • 不允许HTML标记。
  • 网页地址和电子邮件地址自动转化为链接。
  • 行和段落自动打破。
作者信息
注:第一作者的作者也必须相应的评论。
第一次或名字,如。“彼得”。
最后,或家庭,名字,如。“MacMoody”。
你的电子邮件地址,例如higgs-boson@gmail.com
你的角色和/或职业。“整形外科医生”。
您的组织或机构(如果适用),例如:“皇家自由医院”。
出版协议
注意:所有作者,除了第一/通讯作者,必须完成一个独立的出版协议形式前向编辑部提供通过电子邮件可以发表评论。
验证码
这个问题测试你是否人类访问者,并防止自动垃圾邮件提交。

垂直制表符

你可能也会感兴趣

回到顶部
  • 文章
    • 文摘
    • 术语表
    • 主要研究问题
    • 标准协议的审批、登记和病人同意
    • 研究设计和病人
    • 结果
    • 讨论
    • 作者的贡献
    • 研究资金
    • 信息披露
    • 承认
    • 脚注
    • 引用
  • 数据与数据
  • 信息与信息披露
  • CME过程

更多的网上

CME过程

直接医疗成本与多发性硬化症:以人群为基础的队列研究在不列颠哥伦比亚,加拿大,2001 - 2020

丹尼斯Bourdette博士和林赛Wooliscroft博士

►看

主题讨论

  • 所有的头痛
  • 偏头痛

提醒我

  • 提醒我当eletters出版

推荐的文章

  • 文章
    动态优化慢性偏头痛的治疗
    当前和未来的选择
    尼南·t·马修等。
    首页神经学,2009年2月2日
  • 文章
    外周血发作增加CGRP怎样水平作为慢性偏头痛的生物标志物
    伊娃Cernuda-Morollon, Davinia Larrosa,塞萨尔雷蒙et al。
    首页神经学,2013年8月23日
  • 文章
    tev - 48125为慢性偏头痛的预防治疗
    功效在早期的时间点
    马塞洛·e·Bigal大卫·w·Dodick Abouch诉Krymchantowski et al。
    首页神经学、08年6月,2016年
  • 文章
    肥胖和偏头痛
    人口研究
    马塞洛·e·Bigal约书亚n . Liberman理查德·b·利普顿等。
    首页神经学,2005年12月14日
首页神经学:101 (9)

文章

  • 提前打印
  • 最新一期
  • 过去的问题
  • 受欢迎的文章
  • 188app下载

关于

  • 关于期刊
  • 道德政策
  • 188app
  • 1888博金宝
  • 做广告

提交

  • 作者中心
  • 提交一份手稿
  • 信息审核人员
  • 河畔的指导方针
  • 权限

用户

  • 订阅
  • 激活订阅
  • 报名参加eAlerts
  • RSS提要
网站的标志
  • 神经学访问模首页板在Facebook上
  • 在Twitte首页r上关注神经病学模板
  • 访问YouT首页ube上的神经学
  • 首页
  • 首页神经学:临床实践
  • 首页神经学:教育
  • 首页神经学:遗传学
  • 首页神经学:神经免疫学和神经炎症
  • AAN.com
  • AANnews
  • 连续体
  • 大脑和生活
  • 首页今天神经学

Wolters Kluwer标志

首页神经病学|打印ISSN:0028年- - - - - -3878年
在线ISSN: 1526 - 632 x

188金宝搏官网登录

  • 隐私政策
  • 反馈
  • 做广告
Baidu
map