验证算法的识别女士病例管理健康声明的数据集
做出评论
看到评论
文摘
客观的开发一个有效的算法识别多发性硬化症(MS)的病例管理健康声明(AHC)数据集。
方法我们使用4 AHC数据集从退伍军人管理局(VA)、Kaiser Permanente南加州(KPSC),马尼托巴省(加拿大),萨斯喀彻温(加拿大)。VA, KPSC,马尼托巴省,我们测试了候选算法的性能根据住院,门诊,和疾病修饰治疗(DMT)声称相比,医疗记录审查使用灵敏度,特异性,阳性和阴性预测值,评分者间信度(Youden J统计)整体和分层按性别和年龄。在萨斯喀彻温省,我们测试了算法在一群随机选择从一般人群。
结果首选算法要求≥3医学相关索赔的任何组合住院,门诊,或DMT声称在一年时间内;2年时间内提供小增益性能。算法包括DMT声称比那些没有做的更好。敏感性(86.6% - -96.0%),特异性(66.7% - -99.0%)、阳性预测值(95.4% - -99.0%),和评分者间信度(Youden J = 0.60 - -0.92)通常是稳定的跨越数据集和地层。分层分析观察的一些性能的变化但是很大程度上反映了地层的成分的变化。在萨斯喀彻温省,首选算法的敏感性为96%,特异性为99%,阳性预测值99%,阴性预测值为96%。
结论每个算法的性能非常一致的数据集。首选算法要求≥3医学相关索赔的任何组合住院,门诊,或1年内DMT使用。我们建议这个算法作为女士AHC病例定义的标准。
术语表
- AHC=
- 管理健康声明;
- CI=
- 置信区间;
- DMT=
- 疾病修饰治疗;
- ICD-9=
- 国际疾病分类,9日修订 ;
- ICD-9-CM=
- 国际疾病分类,9日修订,临床修改 ;
- ICD-10-CA=
- 国际疾病分类,10日修订,加拿大版本 ;
- ICD-10-CM=
- 国际疾病分类,10日修订,临床修改 ;
- IMS=
- 洲际营销服务;
- 知识产权=
- 住院病人;
- KPSC=
- Kaiser Permanente南加州;
- 女士=
- 多发性硬化症;
- 净现值=
- 消极的预测价值;
- 人事处=
- 门诊;
- PPV=
- 阳性预测值;
- 弗吉尼亚州=
- 退伍军人事务部
美国一直被认为是一种地区盛行的多发性硬化症(MS)。然而,MS的患病率仍然不好描述,1和严格的国家估计不足。患病率估计是理解女士的国家负担的关键,对卫生服务需求规划,支持宣传工作。
多个方法被用来估计MS的患病率在世界范围内,包括调查、回顾医疗记录或列表从医疗机构和管理健康声明(AHC)数据。1,- - - - - -,3AHC数据是有吸引力的,因为他们相对较低的成本,易用性相对于其他方法,随着时间的推移和潜在的重复使用。然而,AHC数据没有收集为研究目的,必须在使用前评估和有效性。4,- - - - - -,6验证研究可能对于一些AHC数据集在美国退伍军人事务部等(VA)而不是等医疗保险,因为他们不能链接回到临床记录。
因此,我们旨在测试几个病例定义(算法)识别的人使用多个女士AHC数据集。我们认为,如果我们能确定一个最好的定义,表现良好,相对跨不同AHC数据集,这将支持他们的使用在其他健康声称数据集验证研究并不可行。提供进一步的细节和理由这种方法在我们的一个同伴文章(Nelson et al .,7“一种新的方式来估计神经系统疾病患病率在美国:多发性硬化症”)。第二,我们旨在确定观测时期会影响检出率的持续时间(即。,低估患病率)适当调整我们的同伴流行文章(沃林et al .,8“女士在美国的流行程度:以人群为基础的估计使用医疗保健索赔数据”)。
方法
这是一个回顾性分析使用有关的管理和临床数据进行并行3主网站(数据集特征表e 1可以从森林女神,doi.org/10.5061/dryad.4c7s325)公共协议。初步分析的结果然后在第四个独立数据集进行测试。来源的AHC下面将描述数据集。临床数据来自医疗记录。Neurologist-confirmed诊断基于女士2010年麦当劳标准9作为这项研究的参考标准。3主要网站,本研究人口来源仅限于≥18岁的人还活着在研究期间(2000 - 2014),≥1医疗遇到诊断标准的女士(曼尼托巴使用任何脱髓鞘疾病定义源人口)。
标准协议的审批、登记和病人同意
每个站点获得当地机构审查委员会或伦理审批:马里兰大学巴尔的摩;巴尔的摩VA研究和发展委员会;Kaiser Permanente南加州(KPSC);曼尼托巴大学健康研究伦理委员会;和萨斯喀彻温省大学的生物医学研究伦理委员会。在马尼托巴省,批准管理数据访问从医疗信息隐私获得委员会。在萨斯喀彻温省,批准数据访问从萨斯喀彻温省获得卫生部和萨斯喀彻温省医疗质量委员会。
数据源
退伍军人事务部
VA提供全面医疗保健≈≈300 1100万退伍军人医院和1500个门诊和退伍军人中心分布在整个美国,波多黎各和关岛。自1997年以来,VA前瞻性收集和维护大量的数据在所有资助的卫生保健服务,包括住院,医生访问和处方。诊断记录使用ICD-9代码。
最初的验证队列是来自弗吉尼亚州2006年的病例发现算法研究,5包括所有病人在大西洋中部地区人≥18岁和≥1遇到一个诊断代码女士(ICD-9代码340)。我们添加了数据队列女士从海湾战争时代10和数据筛选的病人的纵向女士研究计划。我们遵循了同样的标准化的医疗记录审查程序(其特定的指导下训练有素的萃取器)来验证MS的诊断9对所有的病人。总的来说,这些研究产生了一群3452例(表1从1999年到2007年)。
Kaiser Permanente南加州
KPSC是预付健康维护组织的成员在研究期间> 350万人和≈20%的人口提供医疗保险在该地区的服务。KPSC成员主要是一般人群的代表在南加州关于种族,年龄和性别,但媒体的最低和最高的社会经济阶层。11医生就诊,住院,药物捕获数据集可链接的一个医疗记录的数字。
验证队列由所有人≥18岁和≥1住院(IP)或门诊(OP)遇到诊断代码(ICD-9代码340)女士是KPSC健康计划成员从2008年到2010年,至少有6个月的连续会员在研究期间,并完成电子健康记录(n = 4851)。我们随机选择2935 (表1)这些潜在的案例深入医疗记录的审核专家女士(A.L.-G),包括IP和OP记录、核磁共振扫描,和诊断测试结果,证实诊断的MS。9
曼尼托巴
在加拿大马尼托巴省,曼尼托巴健康,老年人和活跃的生活负责的公共资金资助的医疗保健几乎所有居民。几个数据维护,捕获人口统计信息(性别、出生日期、医疗保险,和死亡),住院,医生服务和处方药物的可能性。与临床诊断为医生服务记录修改ICD-9 (ICD-9-CM)代码,而住院诊断与ICD-9-CM编码或加拿大版的icd - 10编码(ICD-10-CA),根据。
马尼托巴省验证队列开始的400例年龄≥18年的用于开发行政案件的定义女士于2007年。6这个群是增强通过回顾医疗记录的所有人参与女士诊所注册(训练萃取器R.A.M.)的监督下在温尼伯诊所曾同意女士联系他们的医疗记录管理数据(89%的人走近)2015年6月,入选标准如上所述。这扩大了验证样本1654例(表1)。
萨斯喀彻温省
这是第四个独立网站。在加拿大萨斯喀彻温省,卫生保健是政府资助在马尼托巴省。数据集在马尼托巴省捕获类似人口信息(性别、出生日期、医疗保险,和死亡),住院,医生服务和处方药物的可能性。诊断医生服务记录与ICD-9-CM代码,而住院诊断与ICD-9或ICD-10-CA代码编码,根据。
在其他地方,所述12验证组包括200例随机选择从萨斯卡通MS诊所诊断证实了女士专家和200名对照(表1从住院康复中心数据库。这个数据库专门捕捉诊断的慢性疾病,包括女士。13
女士病例定义算法
我们开发的候选算法使用ICD-9 / icd - 10编码(340 / G35)女士和列表MS-specific疾病修饰治疗(儿童)。开发这些定义,我们回顾了文献验证行政案件的定义。5,6,12 - 15从这个审查,我们认为以下几点:(1)1遇到一个ICD-9 / icd -代码太特异性的女士,因为这些可能代表排除代码;(2)增加卫生保健的数量通常遇到需要增加特异性的敏感性;和(3)处方申领MS-specific儿童可能有助于提高灵敏度,特异性,或者两者都可用。因此,候选人算法(表2)不同的IP和OP遇到列为女士遇到的诊断之一,处方的数量申请DMT需要分类一个人作为一个情况下,女士和时间的病例定义应该满足。我们包括候选算法没有使用处方声称因为这些并不适用所有AHC数据集。因为我们预期应用这些定义在AHC数据集登记在一个健康保险计划可能会限制在短的时间内,我们认为只有1 - 2年时间的定义。这些病例定义的每个组件都是下面的进一步描述。
IP遇到
我们定义一个IP遇到作为一个IP入学(住宿)的女士被记录的诊断。占之间的传输机构,避免重复计算,我们崩溃多个重叠的住院和出院记录成1 IP相遇。另外,IP遇到的一个发生在24小时内入院日期之前IP遇到被算作一个IP。5,6
医生/ OP遇到
我们定义OP遇到访问一个OP诊所的ICD编码多个OP女士访问病人在同一天被视为1 OP。此外,OP遭遇发生在一个IP女士(进入卸货日期)都没有算在独特的OP的邂逅。
疾病修饰治疗
我们定义处方索赔的任何的可能性MS-specific儿童批准之前或在研究期间,包括干扰素beta-1a-SC,干扰素beta-1a-IM,干扰素beta-1b-SC, glatiramer醋酸,fingolimod, natalizumab认同国家药品编码和药物识别号码(可用表格e 1和依照从森林女神,doi.org/10.5061/dryad.4c7s325)。为了避免误分类,申领natalizumab并不包括如果个人也有一个为炎症性肠病ICD代码,一个障碍的药物被批准使用。
警告在定义的IP和OP遇到是弗吉尼亚州强加的层次编码,初步诊断为给定的相遇,应该首先列出,由其他诊断重要性降序排列,影响护理这一事件。并不是所有AHC数据集实施这样的层次结构(例如,KPSC)。我们评估这个编码层次结构的影响(见附录2为额外的方法和结果,可以从森林女神doi.org/10.5061/dryad.4c7s325)导致使用女士作为主要诊断VA数据和女士的任何诊断KPSC和马尼托巴省的数据集,当遇到女士计数。
分析
我们应用候选算法的3个主要验证军团。我们将候选算法的性能与女士的参考标准诊断病历使用敏感性,特异性,阳性预测值(PPV)以及阴性预测值(NPV)。此外,评分者间信算法之间的协议而使用原油来源于AHC和医疗记录数据准确性分数和Youden16J统计。我们选择了Jκ统计数据17,18因为它是专为使用两个数据和同样重量的假阳性和假阴性则。我们解释J统计κ,当算法和医疗记录被认为是参考标准,如轻微的(0 - 0.20),(0.21 - -0.40),中等(0.41 - -0.60),大(0.61 - -0.80),和优秀的(0.81 - -1.0)。19
确定执行的算法一直在社会人口的子组,我们分层参考人口(1)性,和(2)年龄(18 - 24、25至34岁这个35-44,45 - 55 - 64,65 - 74,≥75岁)和重复的分析4跨3 AHC表现最好的数据集的算法。的最终选择一种算法是基于性能和务实的考虑,包括易于应用和解释。
因为我们3主要验证数据集来自患者至少1遇到女士(或在马尼托巴脱髓鞘疾病),不是一般人,我们预计此案的特异性和预测值定义将被人为压低相比性能一般人群。因此,我们测试了我们的病例定义算法在萨斯喀彻温省第四个独立数据集,14包括患者和没有女士如上所述。
有限的患病率持续时间确定时间
我们打算将我们的优化算法应用到多个AHC可用数据集在美国20.确定患病率在2010年基于三年确定的时期。然而,有限的观察可能大幅减少病例检测和低估患病率,是公认的文学。21,- - - - - -,23Capocaccia et al。22描述他们如何处理调整癌症登记处的数据,一直活跃在短时间内创建欧洲范围内的项目评估时最重要的癌症的患病率(EUROPREVAL)。他们计算称为完整性指数多个观测时间使用来自康涅狄格州癌症登记处的数据,因为它一直在操作> 50年。观察4注册,只有5年,完整性指数从0.42到0.45不等。完整性指数改善系统的观察期间增加。他们继续描述基于模型的方法来估计完整的流行基于有限时间内使用年龄和性别发生率和存活率癌症。22缺乏这些信息在美国人口和女士不能准确估计的数据只有3年的时间。23因此,评估确定周期短的效果,我们使用Ng等所使用的方法。21和Capocaccia et al。22和估计的流行女士使用3年(2008 - 2010)和10年(1999 - 2010)的数据在弗吉尼亚州和马尼托巴省的数据集,而2010年这些估计的差异。患病率每年被定义为我们所有人≥18年会议女士优先算法的定义((IP + OP + DMT)≥3)那些活在日历年度。3年期和10年期2010年发病率估计累积估计基于所有那些见过的定义在任何时候确定时期,2010年谁还活着。
验证上述分析,我们重复这些过程使用PharMetrics +健康计划声称从洲际营销服务(IMS)的数据集,并没有用于开发的算法。这里,我们比较了估计患病率来源于3年(2013 - 2015)和9年(最长)在2015年结束。IMS数据集获取卫生保健声称从≈120年全美健康计划占≥4200万覆盖2011年的生活,反映了美国人口普查人口,并已用于国家和地区医疗基准测试使用和成本。20.,24数据包含在这个数据集与数据验证数据集,包括ICD-9-CM诊断和IP程序代码、供应商代码,当前程序的术语(OP过程)代码,国家药品代码、服务地点和日期、登记日期(s),性别,出生年份,美国人口普查区域。我们报告95%置信区间(CIs)25的比率普遍估计的长与短的间隔。虽然这些发病率估计高度相关,这将大幅缩小这些间隔,我们报告未修正的95% CIs保守。
进行了统计分析与SAS 9.4版本(SAS研究所有限公司、卡里、数控)或SPSS版本22 (、IBM公司,纽约Armonk)。
数据可用性
在这项研究中使用的数据集从之前的研究构成的二次分析数据。因此,没有数据共享协议在这些数据。除了担忧IMS数据,这是一个限量使用数据集提供了免费的马里兰大学巴尔的摩教员(W.J.C.)和数据共享协议下是不允许的。
结果
3主要验证组的特征代表一般人口(女士表1)。5,6,10,13,26正如预期的那样,有一个更高比例的男性在弗吉尼亚州数据相比KPSC和马尼托巴省,但跨人群年龄分布相似。
最初的验证算法
一般来说,当一个算法使用1年的数据,应用灵敏度低于当应用使用2年的数据,而特异性更高的数据(当应用使用1年表3)。更严格的病例定义,也就是说,需要的索赔数量越大,越低,灵敏度和特异性越高。处方申领DMT的另外一种算法增加敏感性没有特异性的丧失,导致整体更好的性能。
(IP + OP + DMT)算法MS_E(≥3)对时间敏感性最高。相比之下,特异性最高的算法是MS_C (≥2 IP或≥5 OP) 1年和2年的时间。所有算法的ppv很高,而npv是比较低,这表明算法更好的统治比排除非MS女士的情况下(在人群中至少有1 MS)索赔。
分类错误的情况下(假阳性和假阴性则)的比例相对较低,反映在中等精度高分数高;算法在这两个时间段MS_E精度最高。Youden J统计反映了原油准确性分数,揭示实质性的协议算法和参考标准。算法MS_E最高或第二最高J统计分数≥0.60的1年时间。
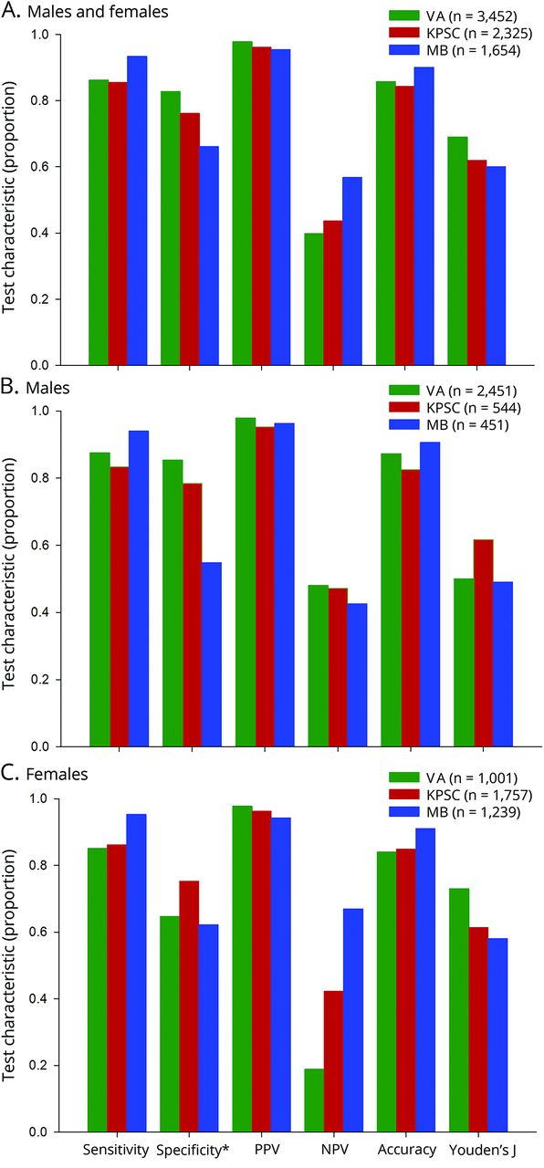
我们只进行了分层分析的算法,其中包括儿童,因为这些都是表现最好的定义(MS_D MS_E表3)。由于分层结果几乎相同的在这四个病例定义,我们现在只的结果MS_E-1 ((IP + OP + DMT)≥3) 1年时间(图1和2)。
(一个)男人和女人,男人只有(B), (C)的女性。提出了数据比例,范围在0和1之间。DMT =疾病修饰治疗;IP =住院;KPSC = Kaiser Permanente南加州;MB =马尼托巴湖;女士=多发性硬化症;净现值=负面预测值;OP =门诊;PPV =阳性预测值; VA = Department of Veterans Affairs.
(A)敏感性,(B)特异性、阳性预测值(C), (D),阴性预测值(E)的准确性,(F) Youden J统计。数据从马尼托巴(MB) 55 - 64和64 - 74岁年龄组是抑制由于小细胞大小。提出了数据比例,范围在0和1之间。DMT =疾病修饰治疗;IP =住院;KPSC = Kaiser Permanente南加州;女士=多发性硬化症;净现值=负面预测值;OP =门诊;PPV =阳性预测值;弗吉尼亚州=退伍军人事务部。
测试按性别特征保持稳定(男性,图1 b;女人,图1 cPPV),包括敏感性、特异性和准确性。在弗吉尼亚州,NPV和J统计女性与男性相比低但稳定的跨性别KPSC和马尼托巴省的数据集。同样,灵敏度、PPV和准确性相对一致的跨年龄组和比较稳定的特异性。NPV和J统计显示最大的变化;然而,尽管这种可变性,MS_E-1算法在数据集和年龄段表现良好。因此,鉴于其一贯的、性能优越,算法MS_E-1被选为首选算法。
验证在普通人群中
萨斯喀彻温省验证队列的特点是类似的其他军团。当我们的算法适用于萨斯喀彻温省一般人群中,特异性和ppv≥0.96和npv都≥0.91。使用1年的数据的算法,算法MS_E-1表现最好的,连同算法MS_D-1。MS_E优先算法的敏感性为0.96,特异性为0.99,PPV为0.99,净现值为0.96,Youden J是0.96。MS_D-2 2年期算法中的一种,也有0.99的特异性,但略微高灵敏度为0.97。
修正时间有限的确定时间
图3估计比较流行基于三年(2008 - 2010)确定的时间从10年(2000 - 2010)的数据截至2010年在弗吉尼亚州和马尼托巴省的数据集。3年的低估确定范围从37% (95% CI 13% - -66%),弗吉尼亚州数据集到47% (95% CI 23% -76%)在马尼托巴省的数据集。IMS(验证)的数据集,低估的3年(2013 - 2015)确定时期相比,9年间(2007 - 2015)在2015年为39%(95%可信区间13% - -71%)。女士估计患病率急剧上升到大约2010在所有的数据集(图3和4),然后平均增加2.3% / y之后(VA的2.1%,图3一;IMS的2.5%,图4)。
讨论
我们进行了这个研究来识别算法,以准确和一致确定情况下跨不同的女士AHC数据集代表不同类型的卫生保健系统和地理区域。发现在这些数据集支持的一致性算法的普遍性等AHC数据集在美国当验证研究并不可行。的首选算法(MS_E-1)要求≥3遇到(IP + OP + DMT)女士在1年时间内。算法不包括DMT比那些表现不那么好。然而,我们包括non-DMT算法准确地评估他们的能力确定的情况下女士在药学研究中声称数据可能不可用;MS_A-1执行近以及优先算法(MS_E-1)时,可以使用DMT是不可用的。因此,通过测试不同的算法,我们的研究提供了价值,研究结果可以应用在未来研究跨司法管辖区MS的患病率。
算法e 1女士([IP + OP + DMT)≥3)是首选,因为它一致的、高性能、易于应用。我们以后将它称为女士算法。1年期算法容易允许每年更新数据集有限的年发病率估计的数据。敏感性和PPV很高,与以前公布的一致定义开发类似的方法(VA)在美国和加拿大。5,6,12,13特异性主要验证军团是适度的,反映的基础上,我们的研究人群选择至少1诊断Tonelli女士等。27评估算法测量40并存状况AHC数据从卡尔加里,加拿大阿尔伯塔省。他们的算法定义为有效如果灵敏度和PPV≥0.70相比,队列的引用。他们不考虑特异性或NPV,因为他们通常≥0.90评估一般人群的慢性疾病。符合这些观察和建议,当女士算法应用于一般人群在萨斯喀彻温省,灵敏度(0.96),PPV特异性(0.99),(0.99)明显提高。这些研究结果支持我们的首选算法作为一个有效的方法确定情况下AHC女士的数据集。
小的变化表现观察当分层按性别和年龄。然而,精度仍然很高,Youden J统计依然可观。这些研究结果表明,该算法是一个女士准确和可靠的算法识别女士在这些不同的数据集和优于相似算法识别肌萎缩性脊髓侧索硬化症28和帕金森病。29日
使用AHC数据时,是很重要的调查以确定是否有任何层次诊断代码的方式记录下来,因为一个算法的性能造成不利影响。在弗吉尼亚州,这些编码层次结构存在,当遇到女士在初步诊断中的任何位置使用诊断与位置,特异性是妥协,就像Youden J统计。令人惊讶的是,精度仅略减少但可能更多的不利影响,当应用于整个数据集的子集的情况下为女士,是研究诊断代码。
之前报道定义军团在索赔数据基于单个遇到女士列为诊断之一。30.,31日这种策略会导致大量的假阳性。之前的工作VA算法5显示一个严格的算法(类似于MS算法)排除43%的只有一个女士遇到的情况。这引导我们决定需要多个遇到我们所有的算法的一部分。我们强烈鼓励其他调查人员避免使用一个女士遇到的女士来识别一个队列,因为根据包括假阳性的比例,结果可能是大大有偏见。
我们发现患病率估计随观察期间的持续时间在3种不同的数据集(2从美国和1从马尼托巴省,加拿大),表明观察时间应该最大化优化检出率。具体来说,我们发现,3年的观察期低估了MS的患病率37% (95% CI 13% -66%)在弗吉尼亚州的数据集和47%(95%可信区间23% - -76%)在马尼托巴省的数据集。应该注意的是,这些调整因素的95%可信区间重叠,暗示经济增长这两个数据集的不同是不重要的。IMS(验证)数据集的发现证实了VA和结果表明,三年确定时期低估了10年流行在我们的数据集≈38%不管最后一年的时间(2010比2015)。这是符合先前的发现在魁北克,加拿大,关于系统性红斑狼疮,女士这样的慢性疾病的卫生保健使用可能会变化随着时间的推移或疾病活动。21在这项研究中,当使用了3年时间内,普遍被低估了66%,15年期间,在5年时间内被低估的患病率为39%。类似的结果也出现在欧洲的评估癌症的患病率。22注册5年的数据低估了患病率42%至45%;随着注册中心的持续时间增加,患病率降低系统的低估。调查人员没有多年的数据,这些研究表明,一个调整因素应该应用于获得一个更加稳定和准确的估计。美国的区别(VA和IMS)和马尼托巴省的数据集可能结果因为马尼托巴湖有一个全民医疗系统与一个政府付款人及其AHC数据集获取> 98%的人口,6而美国卫生保健系统涉及多个保险费用,使其更难以实现完全确定的情况下。因此,37%的低估价值提供了一个保守的(即。,lower bound) inflation factor, whereas an inflation factor of 47% based on the Manitoba data likely better reflects what might be expected with nearly full capture of the US population over a 10-year period (i.e., upper bound).
这个研究包括了数量有限的AHC局限于北美的数据集,这可能限制概括性数据集来自其他国家。然而,包含的数据集提供了一个多样化的女士人口的抽样。IMS验证数据集不包括同一时期VA和马尼托巴省的数据集;然而,三年低估在弗吉尼亚州患病率几乎一样的数据集,尽管不同的时间评估。我们算法依赖ICD-9-CM编码(除了IP遇到在马尼托巴省的数据集,使用ICD-10-CM编码从2004年起)和未验证ICD-10-CM编码。算法不太可能会执行不同的ICD-10-CM编码使用时因为女士仍由一个三位数代码。
我们进行了严格的评估算法确定的情况下在几个不同的女士AHC数据集。选择的算法要求≥3医学相关知识产权招生的总和,医学相关OP遇到,或者药店申请在一个日历年内DMT。此外,该算法在不同的数据集和人口群体表现非常好。我们建议这女士算法采用未来医学相关研究使用AHC数据集,以提高对不同研究的可比性。
研究资金
研究由合同从国家社会的主要调查美国女士多发性硬化患病率工作组(hc - 1508 - 05693)。
信息披露
w . Culpepper女士更多的研究经费来自国家社会和接收VA女士卓越中心的支持。r·沃家庭椅子上支持的多发性硬化和接收从加拿大健康研究院的研究经费,研究马尼托巴省,多发性硬化症协会加拿大、多发性硬化症科学基础、国家多发性硬化症协会,克罗恩氏和结肠炎加拿大,和多发性硬化症的联盟中心。她还在编辑委员会首页。a . Langer-Gould网站首席研究员2参加的3期临床试验(生原体Idec;Hoffman-LaRoche)和网站首席研究员1参加观察研究(生原体Idec)。她收到NIH的支持,国家神经疾病和中风研究所(研究所),以病人为中心的结果研究所和国家女士的社会。m·沃林数据安全监测委员会曾对研究所资助试验,已经的副主编神经科学的百科全书女士和获得国家资金支持,社会和退伍军人事务部的统计,绩效评估研究项目。l·纳尔逊收到资助来自疾病控制与预防中心、国家卫生研究院和国家社会和女士合同有毒物质与疾病登记处联合机构。她收到赔偿作为智慧顾问公司和Neuropace数据监测委员会。j·坎贝尔过去5年咨询公司或研究资助的卫生保健研究和质量,ALSAM基金会,安进公司,阿斯利康,拜耳,Idec,勃林格殷格翰的发言,疾病控制和预防中心、科罗拉多医疗补助,企业社区伙伴公司,研究所临床和经济评论,Mallinckrodt,国家卫生研究院,国家社会,女士Kaiser Permanente,美国药品研究与制造商协会基金会Teva,研究在现实生活中,呼吸道组织有效性和Zogenix Inc . h . Tremlett是加拿大研究主席神经和多发性硬化症。她收到女士研究的支持国家社会,加拿大卫生研究院的研究中,加拿大、多发性硬化症协会和多发性硬化症的科学研究的基础。此外,在过去的五年里,她已经收到了研究多发性硬化症加拿大社会的支持下,迈克尔·史密斯卫生研究基金会和英国女士信任,参加会议以及差旅费用;所有演讲者谢礼都拒绝或捐赠给一个慈善机构或女士为她的研究小组使用一种无限制的补助金。w·凯收到资金从有毒物质与疾病登记处联合机构,国家社会,女士和人类研究保护协会认证的程序。l·瓦格纳收到资金从有毒物质与疾病登记处联合机构和国家女士的社会。l .陈由KPSC全职雇员。美国梁由马尼托巴大学的全职雇员。c·埃文斯接收来自加拿大健康研究院的研究经费,萨斯喀彻温省医疗研究基金会和加拿大的多发性硬化症协会。美国姚明医疗质量委员会的全职工作。 N. LaRocca is employed full-time by the National MS Society. Go to首页Neurology.org/N为充分披露。
承认
作者感谢以下美国多发性硬化患病率工作组的成员为他们的贡献:阿尔伯特·罗,罗伯特•麦克伯尼奥列格•Muravov巴里Talente,史蒂夫Buka,莱斯利·里特。作者还要感谢以下关键员工在国家社会对这个项目的贡献:女士凯茜卡尔森,雪莉生姜,蒂姆•Coetzee韦曼表示约翰逊,艾琳Madray,格雷厄姆McReynolds,王心凌Zagieboylo。此外,作者感谢山金(巴尔的摩VA医学中心)帮助他在弗吉尼亚州编译数据。结果和结论是作者提出的。没有官方认可的退伍军人事务部,马尼托巴省卫生、萨斯喀彻温省,萨斯喀彻温省医疗质量委员会,或Pharmetrics,公司的目的是或应该推断。
附录1的作者
附录2 Coinvestigators和美国多发性硬化患病率工作组的成员
脚注
去首页Neurology.org/N为充分披露。资金信息和披露认为作者相关的,如果有的话,年底提供这篇文章。
美国多发性硬化患病率工作组(MSPWG) coinvestigators附录2中列出的文章。
这篇文章加工费由国家多发性硬化症协会。
看到页面e1029
看到页面469年
- 收到了2018年7月20日。
- 接受的最终形式2018年11月24日。
- 版权©2019年作者(年代)。发表的Wolters Kluwer健康,公司代表美国神经病学学会。首页
这是一个开放的分布式根据文章Creative Commons Attribution-NonCommercial-NoDerivatives许可证4.0 (CC BY-NC-ND),它允许下载和共享工作提供适当的引用。不能改变的工作以任何方式或使用未经许可的商业杂志。
引用
- 1。↵
- 2。↵
- 3所示。↵
- 4所示。↵
- 5。↵
- 6。↵
- 7所示。↵
- 8。↵
- 9。↵
- 10。↵
- 11。↵
- KoebnickC,
- 兰格古尔德一个,
- 古尔德可,等
- 12。↵
- 13。↵
- Al-Sakran韩,
- 上类风湿性关节炎,
- 布莱克本DF,
- 诺克斯KB,
- 埃文斯CD
- 14。↵
- 15。↵
- 16。↵
- 17所示。↵
- 18岁。↵
- 19所示。↵
- 20.↵
- Trisolini米,
- Honeycutt一个,
- 维纳J,
- Lesesne年代
- 21。↵
- 22。↵
- 23。↵
- 格里菲思国际扶轮,
- 奥马利CD,
- 赫伯特RJ,
- Danese医学博士
- 24。↵
- 25。↵
- 女子,
- 李Y,
- 邹Z
- 26岁。↵
- CulpepperWJ,
- 瓦林太,
- MagderLS,等
- 27。↵
- 28。↵
- 凯我们,
- 桑切斯米,
- 吴J
- 29。↵
- 30.↵
- 锄地者一个,
- SchiffhorstG,
- 齐默尔曼一个,等
- 31日。↵
信:快速的网络通信
你可能也会感兴趣
提醒我
推荐的文章
- 文章
在美国女士的患病率以人群为基础的估计使用健康声明数据
米切尔·t·沃林,威廉j . Culpepper乔纳森·d·坎贝尔et al。
首页神经学,2019年2月15日 - 观点和评论
一种新的方式来估计神经疾病流行在美国插图与女士
Lorene m·纳尔逊·米切尔·t·沃林,露丝安上et al。
首页神经学,2019年2月15日 - 文章
多发性硬化患病率和年龄分布变化的上升在马尼托巴省j . r . a .上n . Yu布兰查德等。
首页神经学,2010年1月13日 - 审查
低流行加拿大第一民族的多发性硬化症露丝安上,斯特拉梁,南希Yu et al。
首页神经学:临床实践,2018年1月23日


