中风预测使用年龄和国家卫生研究院的中风尺度
跨越- 100
文摘
目的:年龄和中风的严重程度是中风的主要决定因素的结果,但系统地整合这些预言家在急性缺血性中风的常规实践可以挑战。我们评估指数的影响结合年龄和中风严重性第四应对组织纤溶酶原激活物(tPA)患者中国家神经疾病和中风研究所(研究所)tPA中风试验。
方法:我们创建了中风预测使用年龄和NIH卒中量表(跨度)指数结合在岁+ NIH卒中量表(署)≥100。我们跨越- 100指数应用于病人的中风研究所tPA试验(I和II部分)来评估其预测能力的临床反应和溶栓后颅内出血(ICH)的风险。主要结果评价包括我(任何类型)和复合有利的结果(定义为改良Rankin量表得分为0或1,署≤1,Barthel指数≥95点,和格拉斯哥结果量表得分1)在3个月。双变量和多变量逻辑回归分析用于确定跨越- 100和结果之间的关系的兴趣。
结果:在研究所试验624例中,62例(9.9%)受试者跨度- 100阳性。在那些接受tPA,我跨越- 100阳性患者的自杀率很高(42% vs 12%跨越- 100 -病人;p< 0.001);同样,我跨越- 100阳性患者的自杀率很高(19% vs 5%;p= 0.005)那些不接受tPA。跨越- 100与较差的预后有关。tPA的好处,定义为良好的复合结果为3个月,出现在跨- 100 -患者(55.4% vs 40.2%;p< 0.001),但不能跨越- 100阳性患者(tPA 5.6% vs 3.9%;p= 0.76)。二次结果发现了类似的趋势(如出血症状,灾难性的结果,出院回家)。
结论:跨越- 100指数可能是一个简单的方法估算出血性并发症的临床反应和风险在tPA急性缺血性中风。这些结果需要进一步确认在较大的当代数据集。
术语表
- 基于“增大化现实”技术=
- 由于风险;
- AUC=
- 曲线下的面积;
- CI=
- 置信区间;
- 出口信贷机构=
- 欧洲合作急性中风的研究;
- 帽子=
- 溶栓后出血;
- 我=
- 脑内出血;
- 夫人=
- 改良Rankin规模;
- 署=
- 国立卫生研究院的中风尺度;
- 研究所=
- 国家神经疾病和中风研究所;
- NNH=
- 数量需要伤害;
- 例数十分=
- 数量需要治疗;
- 或=
- 优势比;
- 票面价值=
- 人口归因危险度;
- 中华民国=
- 接受者操作特性;
- 西奇=
- 出血症状;
- 跨度=
- 中风预测使用年龄和国家卫生研究院的中风尺度;
- tPA=
- 组织纤溶酶原激活物;
- 加州大学圣地亚哥分校=
- 加州大学圣地亚哥分校
年龄和中风严重性的2个最重要的决定因素是中风的结果。1,- - - - - -,3与静脉溶栓治疗的决定(组织纤溶酶原激活物(tPA))可能是一个挑战在老年患者高NIH卒中量表(署)得分。前静脉溶栓的临床试验排除患者年龄或署得分较高。例如,欧洲合作急性中风研究急性Noninterventional (eca)和溶栓溶栓治疗缺血性中风试验排除患者年龄超过80岁4,- - - - - -,6和出口信贷机构3排除患者基线署> 25。7没有上限的年龄或排除标准基于署国家神经疾病和中风研究所(研究所)tPA中风试验。8
虽然年龄不是正式的禁忌溶栓,观察性研究和随机试验显示老年人贫困的结果和出血的风险更高。9,10中风患者和他们的家人请求一个好结果的可能性的信息和颅内出血的风险如果tPA,和临床医生必须权衡多种因素在决定与溶栓治疗,尤其是在患者排除在临床试验。4,- - - - - -,6尽管改善医生的估计、风险计算器不是广泛应用在临床医生,即使网上和自由。11
本研究的目的是创建一个简单实用的索引,可以系统地和持续应用在日常临床实践中,和评估其作为预言者tPA-treated急性缺血性中风患者。
方法
我们创建了中风预测使用年龄和署(跨度)指数。个人的年龄在岁+署得分大于或等于100年被指定为跨度- 100阳性患者,而那些得分< 100年指定为跨度- 100负。这个指数的基本原理创建1)和中风的严重程度是2岁急性缺血性中风的最重要的预后因素,1,- - - - - -,32)年龄在80岁及以上的患者和高署(例如,≥20)的预后较差,10,12和3)需要一个简单和容易的指数考虑到现有的有限使用分数要求更复杂的估计。13,- - - - - -,15然后我们跨越- 100指数应用于病人中遇到两个研究所tPA试验。研究所tPA中风试验多中心、双盲、安慰剂对照、随机试验IV tPA对急性缺血性中风从1991年1月到1994年10月完成。8大脑的41 CT扫描是强制性入学前在这项研究排除颅内出血(我)。所有基线CT扫描获得了10毫米切片厚度。进一步的细节和方法论的审判之前出版。8,16我们使用了研究所tPA试验比较临床结果和出血性并发症的风险之间的跨度跨越- 100 - 100 -正面影响和负面病人随机tPA和安慰剂。
结果测量
主要结果的措施包括我(症状和任何类型)和复合有利的结果。我被定义为任何出血性转换后36小时内发生的治疗。出血症状(西奇)定义如果下降神经状态记录。复合有利结果研究所tPA审判被定义为:一个改良Rankin规模(夫人)得分为0或1,署≤1,Barthel指数≥95,格拉斯哥结果评分1分3个月。8
次要结果包括1)致命的我,2)灾难性的结果定义为夫人的4到6 3个月,3)出院回家,在3个月4)死亡,5)缺乏神经改善基线定义为小于三分区别和24小时的署。17
标准协议的审批、登记和病人同意
在研究所试验中,所有患者知情同意了。8圣迈克尔医院审查委员会的批准。我们描述了我们的发现按照配偶2010声明。
统计分析
比较分类变量,χ2测试使用;方差分析或克鲁斯卡尔-沃利斯测试被用来比较连续变量均值和中位数差异。主要分析是评估之间的联系进行跨- 100与感兴趣的结果。二次使用逻辑回归进行分析与调整年龄、署,tPA,跨越- 100来确定是否存在跨- 100和tPA之间的交互。由于风险(AR)估计是暴露的事件率之间的差异和nonexposed组。人群归因危险度(PAR)估计的结果在研究人口比例是归因于曝光(跨度- 100)。我们报道了PAR通过以下公式:[PAR = AR×患病率跨度- 100]。治疗(例数十分)所需数量和所需数量的伤害(NNH)计算的逆tPA和安慰剂之间的绝对风险差异,和95%置信区间为每个报告(CIs)。18复合有利的结果,灾难性的功能结果,出院回家,和缺乏改善是对所有患者3个月可用。十二个月的灾难性结果的估计数据可供598名患者。
进行灵敏度分析,比较不同跨度的截止点指数(如90、95、100、105、110)表示为曲线下的面积(AUC)。我们报道p值调整为多个测试比较不同截止点的AUC的AUC跨度- 100。我们也分析了跨度的影响——100状态开始治疗。我们使用相同的类别(≤90 (n = 302) vs > 91分钟(n = 322))中定义的研究所tPA审判。8
统计分析了使用占据版本9 (StataCorp LP,大学城,TX)。Rocgold命令是用于比较不同跨度的auc截止点。所有的测试都是2-tailed,p值< 0.05被认为是重要的。
结果
跨越- 100指数应用于所有参加实验的624名病人。有62(9.9%)人遇到了跨越- 100阳性组的标准。跨越- 100阳性患者更可能是女性,和心房纤维性颤动,充血性心力衰竭,cardioembolic中风早期缺血性改变,而跨- 100阴性患者(表1)。没有时间上的差异从发病到入院或CT团体之间。平均基线署14岁(范围1-37)在- 100 - 24(样本)在- 100阳性患者。的平均年龄是65岁(范围26 - 89)和81年(范围65 - 89)- 100 -和跨- 100阳性组,分别。其他不同的基线特征进行了总结表1。我的跨度的AR - 100为23.7%,西奇是9.2%,而基于“增大化现实”技术的跨越100年的灾难性结果夫人(4 - 6)3个月为23.3%。西奇我PARs 2.4, 0.9%, 2.3%和5.5%,灾难性的结果在3和12个月,分别。
有276跨度36 - 100阴性患者(49.1%)和跨- 100阳性的病人(58.1%)接受溶栓(p= 0.18)。最后的意思是基于CT梗塞体积的3个月是56.1±88毫升跨度- 100负组和143.7±128毫升跨度- 100阳性组(p< 0.0001)。
结果测量
脑内出血
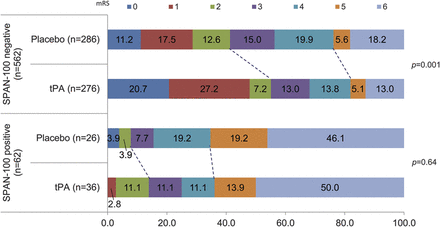
总的来说,我是20(32.3%)跨越- 100阳性患者和48例(8.5%)跨越- 100阴性患者(p< 0.0001)。跨越- 100阳性患者高我率相比,跨- 100负接受tPA的病人(41.7% vs 12.0%;p< 0.0001)或安慰剂(19.2% vs 5.2%;p< 0.01)。图1一个代表我的发生率在两组治疗效果。tPA管理增加了一倍的风险我任何类型的跨度跨越- 100 - 100 -正面影响和负面组。症状和死亡我也更常见的在- 100阳性患者(表2)。我的NNH跨度- 100负和跨度- 100正组14和图4,分别。
(一)脑出血(任何类型)。(B)复合有利的结果,定义为一个改良Rankin量表得分为0或1,NIH卒中量表评分≤1,Barthel指数≥95,或者格拉斯哥结果评分分数< 1。进一步的细节解释的文本。跨度=中风预测使用年龄和NIH卒中量表;tPA =组织纤溶酶原激活物。
逻辑回归分析调整后tPA,跨度- 100患者增加3.5倍的几率西奇(c统计0.733;正确分类的95.4%)。同样,跨度- 100患者增加了近5倍的几率我任何类型的(c统计0.682;正确分类(89.1%)表2)。之间没有统计上显著的交互跨- 100地位和tPA西奇(p= 0.20)和我(p= 0.77)。
复合有利的结果
在跨越- 100 -病人,结果与tPA更有利与安慰剂相比(复合有利的结果在3个月:55.4% vs 40.2%;p< 0.001,例数十分7)。然而,只有少量的跨越- 100阳性患者(n = 2)取得了良好的结果在3个月(tPA 5.6% vs 3.9%;p= 0.76)(图1 b)。
tPA在逻辑回归分析调整后,跨越- 100状态与有利的结果的几率明显降低(c统计0.641)。没有发现显著的交互之间跨越- 100状态和tPA (p= 0.86)。
二次函数的结果
次要功能结果详细图2。
这个数字说明了残疾在3个月根据修改后的兰金规模(夫人)(0 =没有症状;6 =死亡)之间组织纤溶酶原激活物(tPA)和安慰剂的患者分层中风预测使用年龄和NIH卒中量表(跨度)-100。虚线显示相应的类别(0 - 2和5 - 6)夫人夫人tPA和安慰剂在每层之间。参与者在- 100 -组,tPA政府与良好的功能结果的一个重要机会(0 - 2)夫人在3个月(p< 0.001)。相反,没有受益其中跨度- 100阳性组与tPA管理局(p= 0.64)。
跨越- 100 -患者,tPA管理与风险有关的灾难性结果(重大残疾或死亡所定义的夫人4 - 6)在3个月(tPA与安慰剂31.9% vs 43.7%;p< 0.004,例数十分8)。相反,没有观察到显著减少死亡或重大残疾与tPA的管理跨度- 100例(tPA 75.0% vs 84.6%安慰剂;p= 0.36)(表2)。类似的结果在12个月观察灾难性的结果。
与安慰剂相比,跨- 100 -接受tPA的病人更有可能出院(49.6% vs 34.6%;p< 0.001,例数十分7)。相反,没有观察到好处与tPA跨度- 100阳性患者(8.3% vs 11.5%;p= 0.67)。跨度接受tPA - 100阳性患者有更高的死亡率比跨越3个月- 100 -患者(50.0% vs 13.0%;p< 0.001,NNH 3)。其他次要功能结果报告表2。
敏感性分析
灵敏度分析显示稍微更好的性能(2 - 5分)较低的截止点(例如,跨越90年或95年)的主要结果(表3)。之间没有显著差异auc(- 90或跨- 95 vs跨度- 100)的主要结果(我的任何类型或症状)。没有患者良好的结果在3个月时间截止105年或110年。
时间治疗
跨度- 100与我有关病人在90分钟(比值比(或)6.07,95%可信区间2.52 - -14.6;p< 0.0001)和超过90分钟(或4.02,95%可信区间1.66 - -9.76;p= 0.002)。同样,跨度- 100是一个有利的结果的可能性降低两组(患者在90分钟:或0.039,95%可信区间0.005 - -90.29;p< 0.0001;患者在90分钟:或0.032,95%可信区间0.0043 - -90.24;p= 0.002)。之间没有显著的交互时间治疗和跨度- 100状态的主要或次要的结果(p所有交互值> 0.05)。
讨论
临床医生需要简单实用的工具当讨论预后与中风患者和他们的家庭。一个有利的结果的预测和风险的溶栓后我代表老年中风患者高署的一个挑战。可用的工具(例如,iScore, TPI,龙,星体,溶栓后出血[帽子])是复杂的;需要解释的中风亚型、成像或视觉领域;或缺乏对照组(non-tPA)验证,结果可能不会被广泛使用。13,15,19,- - - - - -,21
在目前的研究中,我们分析了短期和长期的临床结果和出血性并发症的风险结合2强预测因子(年龄和署分数)的中风研究所tPA的中风试验后的结果。一起的年龄加上署≥100(跨度- 100)与三倍我的风险更高(tPA后绝对风险:在41.7% - 100正跨越vs 12.0% - 100负患者),也没有改善有利的结果(表2)不论从发病到治疗的时间。在1年,85.7%的跨越- 100积极接受tPA的病人有一个灾难性的结果(4 - 6夫人)相比,30%在- 100 -集团。
跨度- 100患者的2.6倍最终梗塞卷(在3个月由CT)在3个月和5倍高死亡率相比跨度- 100 -病人。
人口层面(患病率10%),会有一个额外的我42的中风患者由于跨度- 100。同样的,会有一个额外的病人一个灾难性的结果在12个月内每18中风患者由于跨度- 100。
在最近提出的一项研究中,结果在257年从加州大学圣地亚哥分校(UCSD)中风注册中心进行了分析使用一个类似的定义:年龄+署≥100 (n = 53),这个流行词“中风100俱乐部。”22与我们的研究中,他们发现没有区别tPA-treated之间的西奇率(3.8%)和non-tPA-treated(3.4%)患者(p= 0.99)。样本大小的差异(UCSD的群体较小),入选标准、调整,和中风保健实践(1994年研究所包括病人登记)也许可以解释观察到的差异。22我们组,使用更复杂的指数在加拿大中风注册表,发现患者iScore大于200没有明显受益于IV tPA和三倍出血性并发症的风险更高(20% vs 6%;p< 0.001)。21iScore风险评分,估计功能结果在早期缺血性中风患者住院使用临床参数和共病条件。14,21,23iScore时应用于试验研究所tPA, iScore > 200与三倍我的风险更高(或3.08,95%可信区间1.41 - -6.74;tPA 30.8% vs 11.5%安慰剂,NNH 5)。24这类似于跨- 100状态的观察结果本研究(-8.46或3.50,95 CI 1.45西奇,或4.93,95%可信区间2.64 - -9.16为任何我)。进一步,iScore≥200和跨度- 100阳性与低同样有利的综合结果于3个月后调整tPA (iScore≥200: 0.16, 95% CI 0.09 - -0.27;跨越- 100:0.05,95% CI 0.02 - -0.16)。
基于署的帽子分数是5点量表得分,hypodensity程度在CT扫描,在基线血清葡萄糖,糖尿病的历史来预测溶栓后出血的风险。任何我的研究所tPA的手臂是密切相关的帽子评分(c统计0.70)。19
龙是一个10分的分数,包括早期梗死迹象或高密度的脑动脉,中风发作前的夫人,年龄,开始治疗时间,和中风严重性。它显示良好的预测能力(AUC 0.84)有利的结果(0 - 2)夫人溶栓后的推导(n = 1319)和验证(n = 333)军团。15星体的分数,包括年龄、严重中风,中风发病入院时间,范围的视觉领域,葡萄糖在承认,意识和水平,还显示一个好的预测值0.85 (AUC)不利的结果(> 2)夫人在1645年一个缺血性中风患者。20.没有特定的截止报告星体或龙组的分数的患者可能不会从tPA中获益。15,20.
虽然可能有用的预测,这些分数要求在线访问或使用手持设备,以及专业知识和时间来执行必要的计算,从而为忙代表一个障碍临床医生协助病人在紧急情况下。跨越- 100指数是一个简单和容易计算分数,提供有用的信息对临床tPA反应(有利的和糟糕的结果)在不同的时间点(24小时、3个月和1年)以及我溶栓后的风险。它不需要解释成像,中风亚型或其他准确的措施提供了估计结果。
我们的研究有一些局限性,值得评论。首先,使用只有2变量创建一个分数可能过于简单。我们组所显示的和其他人,其他因素影响临床结果和出血的风险。13,14,19,21一些临床医生可能会争辩说,老年患者(> 80岁)与低署仍可能有一个好的结果。然而,最低署在跨度15 - 100患者,建议跨度100指数成份股捕捉高危患者,并提供相关的临床信息。
第二,我们的结果进行解释时应特别谨慎考虑这个相对较小的群体(n = 624)。患者分为跨- 100可能会影响评价结果的准确性低标准反映的我和宽CIs致命的我或灾难性的结果在12个月。因此,这些结果在更大、更需要确认现代中风注册或临床试验的数据集。第三,100年截止的跨度指数被人为地创建并不是来自接受者操作特征(ROC)曲线分析。虽然较低的截止点稍微更好的中华民国的价值观,我们不认为这将证明其复杂性。跨越100年的意图是创建一个简单的,容易记住指数对临床医师,不会依赖于可用性和访问互联网。最后,我post-tPA并不总是与贫困相关的结果。
从这个研究帮助临床医生结果如何?先前的调查证明了临床医生的不准确的感知风险和溶栓的好处。在他们的调查中,只有11% (95% CI 0% - -22%)的紧急医生和神经科医师能够正确识别tPA治疗和不到40%的利益能够估计我的风险。25我们的研究表明,跨- 100患者40%以上我的风险,死亡率50%,只有5%的机会3个月后tPA复合有利的结果。此外,糟糕的长期结果是三倍更常见的跨越- 100阳性患者相比,跨越- 100 -同行(灾难性的结果在12个月:85.7% vs 30.0%)。这是一个灾难性的结果每18病人由于跨度- 100。跨越- 100阳性患者,我的NNH 4当比较tPA和安慰剂。进一步,我的NNH 3当比较- 100积极与跨- 100 -接受tPA的病人。
一些家庭可能仍然同意继续第四tPA跨越- 100阳性患者如果没有禁忌症尽管知道出血的高危和有限的临床效益(相比,患者没有接受溶栓)。临床医生可能会谨慎行事当面对老年患者高署(例如,实现跨- 100标准)。
跨越- 100指数是一个简单的方法,适用于几乎所有临床设置,和容易计算,记住,尤其是急诊医师,内科医师,non-stroke神经学家,可以当咨询患者和家庭使用。尽管tPA强劲提高有利的结果的可能性,跨越- 100状态可以识别不同的患者更有可能差的结果。确认这些结果的更大、更现代的数据集tPA-treated患者是十分必要的。
作者的贡献
g . Saposnik:起草/修改手稿,研究或设计概念,分析或解释的数据,贡献的重要试剂/工具/病人,采集的数据,统计分析,研究监督,获得资金。答:(Guzik起草/修订手稿。b . Ovbiagele:起草/修改手稿,研究或设计概念,分析和解释数据。m·里夫斯:起草/修订手稿,分析或解释的数据,统计分析。南卡罗莱纳州约翰斯顿:起草/修改手稿,研究或设计概念,分析或解释的数据,研究监督。
研究资金
支持Saposnik卓越临床科学家奖博士从加拿大心脏与中风基金会(HSFC)。
信息披露
作者报告没有披露相关的手稿。去首页Neurology.org为充分披露。
脚注
去首页Neurology.org为充分披露。资金信息和披露认为作者相关的,如果有的话,年底提供这篇文章。
编辑、页面15
- 收到了2012年5月24日。
- 接受2012年8月15日。
- ©2012美国神经病学学会的首页
引用
- 1。↵
- 2。↵
- 3所示。↵
- 4所示。↵
- 5。↵
- 6。↵
- 7所示。↵
- 8。↵
- 9。↵
- 10。↵
- 11。↵
- 12。↵
- 13。↵
- 14。↵
- 15。↵
- 16。↵
- 17所示。↵
- 18岁。↵
- 19所示。↵
- 20.↵
- 21。↵
- 22。↵
- Guzik正义与发展党,
- 拉曼R,
- ErnstronK,
- 等
- 23。↵
- 24。↵
- SaposnikG,
- Demchuk一个,
- 你合资企业,
- 约翰斯顿SC
- 25。↵
信:快速的网络通信
-
应对外国留学生,博士
- GustavoSaposnik,导演,中风的结果研究中心,圣迈克尔医院,多伦多大学saposnikg@smh.ca
2013年1月11日提交 -
中风预测使用年龄和国家卫生研究院的中风尺度:跨度- 100
- 罗伯特。外国留学生,医生,威廉奥斯勒卫生系统robertyufe@yahoo.ca
2013年1月10日提交
你可能也会感兴趣
更多的网上
相关文章
主题讨论
提醒我
推荐的文章
- 文章
这顶帽子的分数一个简单的评分量表预测溶栓后出血
m·卢a . Safdar m . Mehdiratta et al。
首页神经学,2008年10月27日 - 文章
mri溶栓治疗急性缺血性中风患者出现低署Shahram马吉迪玛丽·露比约翰·k·林奇et al。
首页神经学,2019年9月13日 - 文章
脑出血复发、小血管疾病类型和脑microbleeds一个荟萃分析
Andreas Charidimou, Toshio Imaizumi Solene冰川锅穴等。
首页神经学,2017年7月26日 - 文章
t-PA在急性缺血性中风的有效性结果与适当性
点巴肯,P.A.理发师:Newcommon et al。
首页神经学、08年2月,2000年


