咖啡因对左旋多巴的影响在帕金森病的药代学和药效学
文摘
作者研究了咖啡因的急性效应在左旋多巴的药物动力学和药效学12特发性帕金森病的患者。这双盲、随机、交叉研究显示,咖啡因缩短了左旋多巴的最大血浆浓度,减少左旋多巴步行和攻丝运动反应延迟,并增加步行响应的大小。咖啡因服用左旋多巴之前可能会改善一些帕金森患者的药物动力学。
Autoradiographic研究人类1表现出高水平的腺苷2纹状体和伏隔核受体。此外,原位杂交研究显示高表达的2在纹状体受体信使RNA。1分子克隆的研究表明,这些受体与多巴胺与D2神经元的受体间接striatopallidal通路。1非选择性(咖啡因和茶碱)和选择性2受体拮抗剂反向运动不能catecholamine-depleted剂量依赖性的老鼠在啮齿动物模型或增加运动活动不发展宽容。1
咖啡因麦角胺等可以提高某些药物的生物利用度,2和一些特发性帕金森病的患者(IPD)持续报告后在左旋多巴、溴麦角环肽效果明显增加摄入咖啡因(个人沟通)。之前的口头报告慢性服用咖啡因IPD没有任何有益的效果。3、4在这项研究中,我们研究了咖啡因的急性影响的性质和程度的左旋多巴IPD患者的药代学和药效学。
方法。
病人。
12例(10男,2女)与临床诊断IPD参与了这项研究。病人/治疗特点如下(平均数±标准差(范围):61±9岁(42至74年),疾病持续时间6.3±3.1年(2到13年),左旋多巴治疗持续时间4.8±2.8年(1到11年),左旋多巴剂量604±127毫克/天(400至850毫克/天)和左旋多巴剂量/天2.8±0.6。入选标准是轻度至中度IPD (Hoehn和Yahr我通过第三阶段,中位数II)和至少6个月的最佳治疗与左旋多巴/卡比多巴(250/25毫克)。IPD患有严重的心脏,肾,肺,肝,或胃肠道功能紊乱被排除在外。
苏丹卡布斯大学的医学研究和伦理委员会,马斯喀特,阿曼苏丹国,批准了这项研究,并从每个主题获得了知情同意。
协议。
4天的病人承认。所有的病人有咖啡因的摄入(≥1到3杯咖啡或茶/天)。时间达到最大血浆浓度(T马克斯)的咖啡因摄入后最少需要15 - 120分钟。2因为没有信息的影响咖啡因对左旋多巴的吸收,这是任意决定管理咖啡因15分钟前左旋多巴的摄入量。这双盲交叉研究设计如下:口服咖啡因(200毫克)或安慰剂前15分钟服用口服左旋多巴的标准平板电脑250毫克/卡比多巴25毫克。治疗的顺序是随机的,48小时后,病人了。这项研究是在早上进行,在一夜之间迅速。上届政府的左旋多巴,伴随抗帕金森病的药物,每次试验前和含咖啡因的饮料是12个小时。病人被允许光标准早餐摄入的剂量左旋多巴后90分钟。额外的抗帕金森病的药物恢复中午在完成每一天的学习。含咖啡因的饮料被允许在48小时之间的试验。
左旋多巴的药物动力学。
治疗过程中等离子体左旋多巴药物动力学进行了研究。等离子体左旋多巴分析血液样本被前(0小时),随后,为0.5,1.5,2和3小时后左旋多巴/卡比多巴的摄入量。左旋多巴的血液样本收集和处理之前报道。5以下为左旋多巴测定药代动力学变量:T马克斯最大血浆浓度左旋多巴(C马克斯左旋多巴),面积3小时血浆浓度时间曲线根据线性梯形法则(AUC0→3小时)。
药效学分析。
两次,临床评估与血液样本中进行。帕金森症是由交替的速度评估手指敲击(水龙头/分钟),受影响最严重的手,步行速度和地震/运动障碍得分如前所报道。6延迟的反应被定义为利用所花费的时间(lat速度利用)增加大于15%,步行速度(lat走)增加到大于25%的基线值。效应的大小计算最大的区别和基线运动效果。的总体程度上引发的运动反应咖啡因(或安慰剂)估计的面积(AUC 3小时开发效果利用(AUC)和作用时间走曲线走使用线性梯形法则)。血压、脉搏和发生的药品不良反应(adr)监测。
数据分析。
结果表示为均值±SEM,除非另有说明。在适当情况下,数据是由学生的评估t测试或使用重复测量方差分析(Newman-Keuls事后测试)p< 0.05的意义。
结果。
左旋多巴的药物动力学。
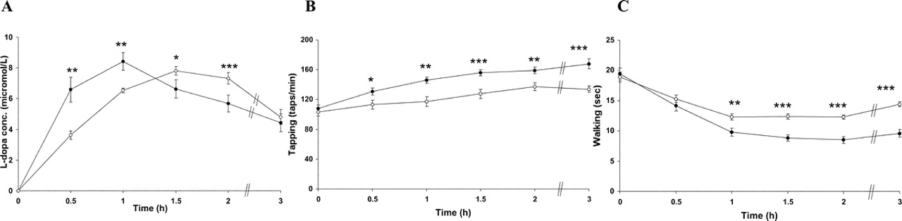
左旋多巴药物动力学在摄入咖啡因和安慰剂所示图。左旋多巴的基线值没有显著差异的两个研究。T马克斯为左旋多巴与咖啡因与安慰剂相比短(1小时和1.5小时;p= 0.003)。然而,左旋多巴的C马克斯和AUC0→3小时值是相当的咖啡因和安慰剂。
左旋多巴药效学。
在基线,利用速度和步行速度是相似的两种药物的条件下。的纬度利用与咖啡因与安慰剂相比两倍长(1.5小时和0.5小时;p= 0.009),而纬度走咖啡因是50%比用安慰剂(短0.5小时和1小时;p= 0.03)。利用咖啡因后的大小为39% (p= 0.07)高于安慰剂后,而走的大小反应增加了44% (p< 0.0001)。AUC利用咖啡因是30% (p= 0.01)高于安慰剂,而AUC走增加了28% (p= 0.001)。没有显著差异在运动障碍,生命体征,或两药物adr的条件。
讨论。
我们的研究表明,咖啡因能促进左旋多巴吸收,造成显著的缩短延迟运动反应。一个可能的机制占这减少T马克斯可能是其抑制胃酸分泌的影响,进而可能加速或加强胃排空和,因此,左旋多巴的吸收。2、7在IPD患者胃轻瘫的经验,任何影响,咖啡因可能对胃排空因此可能是相关的。符合之前的报道,明显的最低有效的左旋多巴阈值浓度附近的6到8μmol / L。7
指的药效学,我们观察到相当大的主体间变异性在左旋多巴反应,会计,例如,增加39%的无意义的大小的。咖啡因政府后,临床反应,特别是开发,继续增加了3小时的时间间隔,这表明咖啡因可以扮演一个角色在多巴胺受体介导的交互。证据支持这个理论可能源自人类使用PET扫描研究[11C] raclopride,显示增加在纹状体多巴胺受体结合后的咖啡因。1
早期的研究长期服用咖啡因并没有显示任何抗帕金森病的增强效果与溴麦角环肽,左旋多巴或吡贝地尔。3、4然而,在这些研究中,左旋多巴的持续时间增加动作障碍与咖啡因共同报道。4从我们这些早期的咖啡因的研究实质上不同,然而,特点是,第一,长期治疗与咖啡因,与潜在的caffeine-induced急速免疫法;第二,相对高剂量的咖啡因(800至1400毫克)中使用有限数量的患者(6);第三,异构IPD病人的人口;最后,药动学/药效学相关性的缺乏。
另一个非特异性腺苷拮抗剂,茶碱,也没有提高”“时间在IPD慢性治疗期间。8结果,双盲交叉,安慰剂对照研究显示,茶碱对运动不能只有一个有利的影响在急性左旋多巴测试(短期反应)。相比之下,一个选择性2受体拮抗剂,istradefylline,强的抗帕金森病的反应大大减少运动障碍9并延长左旋多巴的疗效半场。最近,reserpinized老鼠的实验研究表明,阈下剂量的咖啡因结合苯海索(benzhexol)诱导运动不能完全逆转。10这些数据可能支持低剂量的想法,或许更有选择性腺苷拮抗剂协同起到传统抗帕金森病的代理可以在一些IPD患者潜在的治疗中获益。
承认
作者感谢y Michotte教授,药物化学和药物分析,sccp布鲁塞尔,比利时,提供样品分析左旋多巴的机会。
脚注
披露:作者报告没有利益冲突。
收到2006年1月3日。2006年5月8日,接受的最终形式。
引用
信:快速的网络通信
你可能也会感兴趣
主题讨论
提醒我
推荐的文章
- 文章
12周,安慰剂对照研究(6002 -我们- 006)istradefylline帕金森病m .史黛西·d·银,Mendis et al。
首页神经学,2008年6月2日 - 文章
基础科学和临床治疗帕金森病(2009),c·华伦·奥兰诺马修·b·斯特恩Kapil Sethi et al。
首页神经学,2009年5月26日 - 文章
咖啡因的神经保护作用未来的人口研究(三个城市的研究)
k·里奇,我卡里埃,a . de Mendonca et al。
首页神经学,2007年8月6日 - 文章
咖啡因、绝经后雌激素和帕金森氏症的风险答:Ascherio博士,硕士h . Chen史瓦西等。
首页2003年3月11日,神经学,


