特发性颅内高血压
sinovenous狭窄的患病率和形态
文摘
摘要目的:确定的患病率和性质sinovenous阻塞特发性颅内高血压(IIH)使用auto-triggered elliptic-centric-ordered三维gadolinium-enhanced先生造影术(ATECO MRV)。
方法:前瞻性对照研究,建立颅内高压症患者29以及59名患者接受了ATECO MRV的控制。在随机盲评,三个读者评价图像。使用新颖的评分系统,每一个读者的程度进行分级的狭窄的横向和乙状窦每个病人。
结果:有优秀的协议在三个读者分级系统的应用。大量双边sinovenous狭窄被认为在颅内高压症患者27 29和59控制病人的只有4。
结论:使用ATECO MRV和小说分级系统量化sinovenous狭窄,作者可以识别颅内高压症患者敏感性和特异性为93%。
颅内压升高的病理生理机制在特发性颅内高血压(IIH)仍然是未知的。1导致了混乱与颅内高压症是最近的证据表明从头部摄动静脉流出可能发挥作用在疾病的病因。许多作家假设理论合并颅内静脉压力升高作为颅内高压症的基本组成部分。然而,到目前为止,还没有可靠的可识别的结构异常看到一直在这些患者影像学研究或验尸,帮助识别这些患者或解释他们的疾病。之前报道成像信号不一致在颅内高压症患者包括“slit-like”心室,2扩展视神经鞘,3压扁后巩膜,4和视神经乳头状突起。5使用静脉造影术先生的技术发展在我们的机构,auto-triggered elliptic-centric-ordered三维gadolinium-enhanced先生造影术(ATECO MRV),我们进行了本研究评估颅内高压症患者的脑静脉流出。
方法。
在一个前瞻性研究从2001年4月到2002年10月,接受一个可能的诊断评估的患者的颅内高压症被称为ATECO MRV在我们机构。的诊断颅内高压症成立于每个病人使用以下标准:头痛;视神经乳头水肿(由经验丰富的neuro-ophthalmologist确认);CSF开启压力大于20厘米的H2O;正常脑脊液成分;没有历史的先决条件或药物与颅内高血压;正常的钆增强磁共振成像的大脑;并没有证据表明当前或之前sinovenous血栓形成。
控制人口。
这些控制对象是从癌症病人的人口在我们机构接受筛查颅内转移性疾病。对照组没有明显的迹象或症状的神经疾病和正常gadolinium-enhanced先生检查。
奥造影术。
ATECO MRV的技术开发机构,用于这项研究之前已经详细描述6目前的标准方法,静脉造影术在我们的机构。所有考试先生进行了超导1.5 - t系统先生(标记Echospeed,版本8.2.3软件;通用电气医疗系统,密尔沃基,WI)标准头线圈。所有考试包括T1和t2加权序列以及ATECO MRV序列。ATECO MRV检查包括四个组成部分:1)启动一个2 d,单片、丸面向检测序列在轴向平面位于海绵颈动脉的水平;2)静脉注入对比剂;3)自动检测的到来经提醒对比剂在海绵颈动脉水平,导致自动终止检测序列,插入4)8秒延迟,并触发的快速三维梯度回波MRA与椭圆中心命令序列相位编码。这么快面向SPGR序列在矢状面覆盖从耳朵到耳朵用以下参数:重复时间msec / echo msec: 7/1.6;翻转角度:35°;部分回波采集; field of view: 25 cm; matrix: 320 × 320; bandwidth: 62.5.0 kHz; section thickness: 1.3 mm; and 124 sections resulting in a 16 cm thick volume; and scan time: 4:38. Resultant voxel dimensions were 0.78 × 0.78 × 1.3mm (this resolution was obtained without zero filling techniques).
图像处理和审核。
每个颅内高压症ATECO MRV的源图像和控制病人被转移到一个商用三维工作站(利用Windows 4.0版本;通用电气医疗系统)。最大强度投影(MIP)图像为每个ATECO MRV创建数据集所示图1。识别和人口数据都从图像中删除。这个分段MIP旋转以增量的方式提供90张图片(MIP图像每4°通过旋转360°)。创建一个MPEG电影循环每旋转分段MIP和被发现(通过数字随机函数发生器)和归档到CD。工作站图像处理需要大约5分钟为每个病人和被J.N.S.完成三个神经放射神经血管成像是这项研究的读者(R.A.W.,K.T.B.,and D.J.M.). Readers were blinded to the nature of the patient (i.e., IIH vs control) and were asked to grade the patency of the transverse and sigmoid dural venous sinuses using the grading scale explained in图2,称为联合静脉导管(CCS)。读者接受了简短的训练使用的例子图像的控制和颅内高压症病人没有随后用于研究。读者回顾了电影圈的病人随机盲法的方式记录每一次的CCS。查看软件允许读者暂停电影圈,慢慢地审查所需的图像在逐步的方式确保仔细审查。每个病人的CCS是由三个独立的读者和一个平均结合静脉导管得分(ACCS)计算。此外,所有颅内高压症患者的静脉造影照片先生回顾了由一个评论家(R.I.F.)来确定管性质的妥协。狭窄的被归类为由于经管阻塞或extralumenal压缩使用标准即放射标准。,extralumenal compression of a tube appears as a relatively long segment of smooth tapering of the opacified lumen where as intralumenal obstruction appears as a sharply demarcated acutely marginated filling defect within the opacified lumen. Institutional Review Board approval was obtained for all aspects of the study, and written informed consent was obtained for all control patients.
图1所示。Auto-triggered elliptic-centric-ordered控制病人的三维先生gadolinium-enhanced造影术。(一)横向和(B)前后的最大强度投影(MIPs)显示轮廓用来创建序列的分段MIPs获得每个控制和颅内高压症病人。(汉英)前后的左前斜(老挝),右前斜(RAO)分段MIPs。这三个选择拍摄的图像90张图片,电影圈的读者了。
图2。系统的原理图用于分级横向的开放和乙状窦。每个左翼和右翼的年级transverse-sigmoid管道分别确定和定义的最高程度的狭窄远端从torcula遇到乙状窦并给予相应的数字从0到4。0 =不连续(gap)或再生障碍性段;1 =发育不全或严重狭窄段的管道内估计不到25%的横截面直径的远端上矢状窦腔;2 =中度狭窄的部分管道(25 - 50%),3 =轻度缩小部分(50 - 75%);和4 =无显著缩小(75 - 100%)。左翼和右翼的和合并后的管道提供得分(CCS)和通常范围从2 - 8。(A)正常情况下,每一个左翼和右翼管道将得分4的合成CCS 8,和(B, C,以及D)示意图CCS 4的例子,3,1。
结果。
29例颅内高压症履行必要的标准也经历了ATECO造影术先生在我们的机构(表)。这些患者的平均年龄为37.2岁,男女比例1:2.6。图3说明了发现ATECO MRV的典型颅内高压症患者。
图3。Auto-triggered elliptic-centric-ordered三维gadolinium-enhanced先生造影术发现颅内高压症患者。老挝和饶分段最大强度投影(A和B)病人77;(C和D)病人36;和(E和F)病人8。(A)不连续(得分= 0)被认为在右侧横窦(箭头)(B)。extralumenal压狭窄的例子(打开箭头)在(B-F)。经管障碍物的例子被认为双边(箭头)病人69 (G和H)。
82控制病人同意进行MRV检查,21岁的患者颅内异常(转移性疾病)和被排除在研究之外。两名患者被排除在控制人口由于技术故障(不适当的触发延迟)阻碍了的MRV使用。最后控制人口由59患者平均年龄为60.3岁,1:0.9的男女比例。
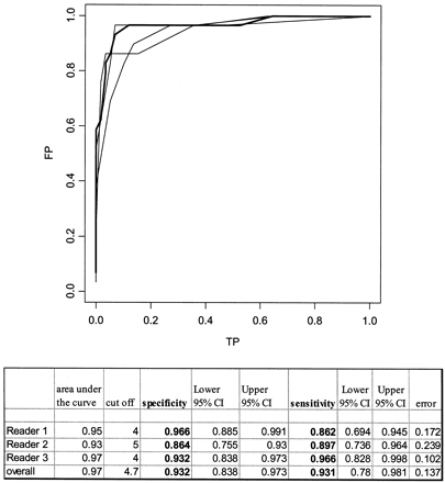
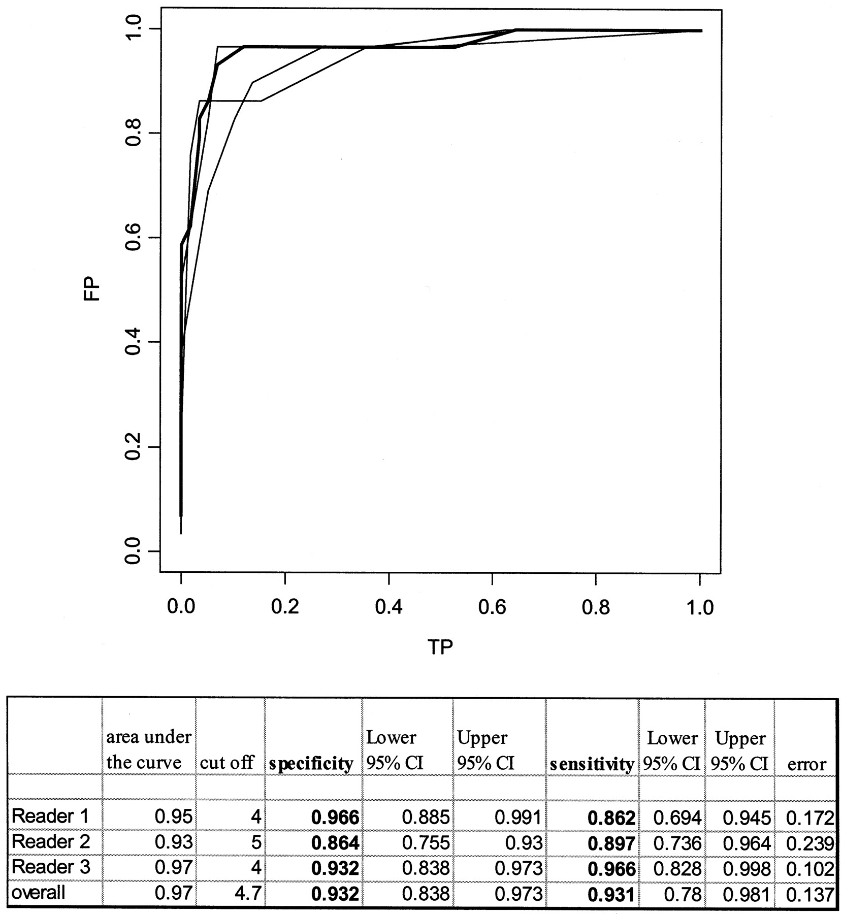
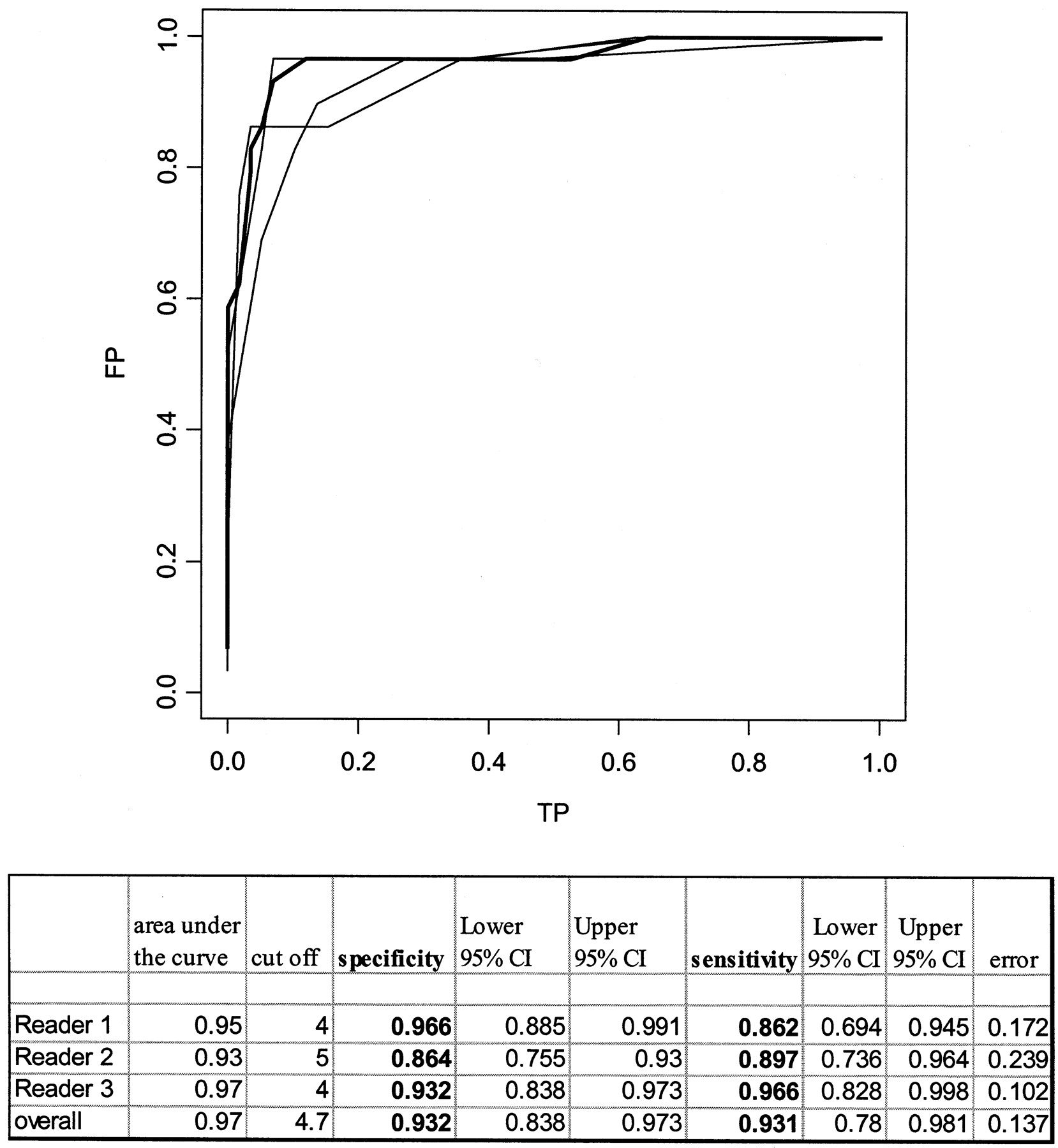
共有88名患者被随机分配和评价这三个读者。两两之间的协议三个读者为他们蒙蔽分级CCS的每个病人(颅内高压症或控制)是使用加权kappa统计评估。7评价读者1和2之间的协议取得了kappa值为0.73;读者1和3之间kappa值为0.66;和读者之间的两个和三个kappa值为0.67。所有三个读者之间协议的总体水平是评估使用肯德尔和谐系数测量0.90表明优秀的协议在读者分级CCS。8-操作者特征(ROC)曲线(一个常用的工具来评估诊断测试的性能9)是构造为每个读者以及平均的三个读者。曲线下的面积及其相关标准误差是计算使用Mann-Whitney等价U测试(图4)。9每个ROC曲线下的面积从0.93到-0.97不等。ACCS控制的分布和颅内高压症病人如图(E) 1上首页网站(www.neurology.org首页)。敏感性和特异性ACCS使用一系列的计算值。ACCS值低于5.0最好的正常和异常的静脉导管之间的歧视。除了两个病人(假阴性),所有颅内高压症患者ACCS小于5.0。四个控制患者(假阳性)的ACCS小于5.0。小于5.0的ACCS原本正常的患者大脑的核磁共振显示颅内高压症的存在的敏感性93%,特异性93%。颅内高压症患者sinovenous狭窄的原因是由于一个明显的经管充盈缺损13个横向鼻窦45 vs extralumenal压缩。散点图和皮尔逊相关性之间的关系被用来评估CSF开启压力和ACCS (图5)。ACCS和脑脊液压力没有明显相关性。
图4。ROC曲线为每个读者和整体组合生成曲线(粗体)计算的一部分数据用于生成这些曲线显示在下表中。“阈值”(切断)是读者的CCS的所有分数等于和它下面显示颅内高压症的存在。敏感性和特异性的“阈值”。平均的“阈值”联合静脉导管得分也是“整体”行所示。
讨论。
我们认识到,硬脑膜静脉窦血栓形成可引起临床表现类似于颅内高压症如果不完全相同,从而诊断研究(特别是MRV)已经成为常规检查的患者排除潜在的静脉窦病理学。1最近,知之甚少巨大蛛网膜颗粒等形式的静脉病理10和先天性狭窄11、12⇓与颅内高压症综合症的病因。目前的研究表明,正是这些形式的可疑的静脉病理,代表了“正常”的发现与颅内高压症病人的静脉系统,这些患者有硬脑膜静脉窦解剖不同的比正常对照组。先前的成像研究,检查颅内高压症的大脑静脉流出的不一致证明狭窄或异常的横向硬脑膜的鼻窦与这里显示的相似。12 - 14⇓⇓使用ATECO MRV的技术,我们已经表明,这些狭窄一直在90%以上的颅内高压症病人。这种差异强调前面的方法的局限性的静脉造影术即导管造影和飞行时间先生造影术(TOF MRV)。数字减影血管造影(DSA)通常在两个静态的平面进行很难完全理解横s形的连接。与DSA进行适当颅内静脉造影术,注入大量的主动脉弓对比是需要确保同时完成填充所有的颅内静脉通路。只有这样才能填补缺陷在硬脑膜的鼻窦成为真正的定义,即,true filling defects seen following a selective arterial injection would commonly be misinterpreted as unopacified blood flowing into the dural sinus from an adjacent, uninjected, arterial territory.15只有执行旋转血管造影术后三维重建能DSA的质量方法在本研究中获得的先生造影术。在过去,DSA进行排除其他颅内疾病的病理和没有特别询问静脉系统,和,因此,微妙的静脉流出的发现很可能被忽视。12
先生在过去的十年里,已经成为选择的形态检查静脉系统疑似患者颅内高压症排除静脉窦血栓形成。TOF血管造影术先生一直造影术先生的最受欢迎的技术到目前为止,尽管有局限性技术特别是artifactual信号的损失发生在静脉系统的可预测的位置由于平面流和湍流。6、16⇓具有讽刺意味的是,横在硬脑膜静脉窦和乙状窦的位置经常受到这样的工件(图6)。因此,与TOF MRV,远端横窦的重要地区通常会掩盖是否正常,狭窄的,或形成血栓。我们相信这陷阱早些时候MRV技术已经极大的混乱之源在试图定义MRV在颅内高压症的角色。17硬脑膜的鼻窦内的腔内狭窄的领域与颅内高压症无法欣赏到这里描述的一种新形式的造影术的发展,即ATECO MRV。ATECO血管造影术先生和造影术的技术已被证明是优于TOF技术在很大程度上由于其流不敏感和显著下降artifactual信号损失。6
图6。ATECO vs TOF MRV。(一)老挝和(B)拉奥分段最大强度投影(MIPs) ATECO MRV的控制病人展示良好的可视化的右(箭头)和左(打开箭头)横向和乙状窦。注意缺乏artifactual信号损失。(C和D)相应oblique-segmented MIPs从TOF MRV在同一病人获得先生在同一考试。注意信号的大量artifactual损失近端右横窦(弯曲的箭头)和最左横窦(箭头)。
观察缩小颅内高压症患者静脉导管为我们提供了一个相对敏感的和特定的成像条件的诊断这种疾病。这里显示的远端横向鼻窦缩小颅内高压症可能与疾病过程;是否这是一个主要或次要的关系是不确定的。先天性静脉导管狭窄的理论被假定为偶尔的假瘤综合症的主要原因。在这一理论产生的慢性轻度静脉高血压依次传递给CSF引起压力升高。11静脉狭窄的理论作为颅内高压症的主要原因是由更诱人的,当一个人认为疾病的潜在治疗经皮血管成形术和血管内支架。或者,发现静脉导管狭窄可能是辅助其他作者最近提出的。13日18⇓在最近的一次测压的研究,证明在远端横向压力梯度有颅内高压症患者鼻窦19 21,减轻了这些梯度CSF。13横窦没有成像作为研究的一部分,然而作者的描述压力梯度的位置匹配的位置狭窄的区域显示在当前的研究中。让我们暂时假设颅内高压症引起的脑水肿或者不正常脑脊液流最初与静脉梗阻无关。明显缩小横向鼻窦是容易解释基于颅内区划的住宿。Monroe-Kellie原则要求在颅内血管空间舱将局限于不断扩大的实质或脑脊液隔间。19随着越来越多的住宿需要,超过一个阈值高于整体颅内压升高,和患者症状。有趣的是,这种理论,在我们的研究中遇到的两种类型的缩小可以解释:1)长光滑锥形缩小的外部压缩引起的脑实质(见图3 e);和2)敏锐地加边明显经管充盈缺损的扩大,部分阻塞,经管蛛网膜脑脊液压力升高(见肉芽肿图3 g)。这个理论表明,狭窄的结果,而不是颅内压升高的原因。解释这个发现的颅内血管内压力梯度在横窦狭窄并不显而易见。也许颅内高压症的颅内压升高是由于两个相互关联的组件,这种可能性已经被其他作者。13日,20⇓第一个组件是颅内高压症的主要(未知)异常,存在一个变量之前的时间内病人报告。在这段时间里横窦的硬脑膜的墙壁慢慢伸展和崩溃extralumenal压力屈服。随着远端横窦继续缩小最终超过一个阈值和创建一个流限制狭窄和合成压力梯度(第二部分)。这导致颅内压,病人激增。远端横窦的解剖学在某种程度上可能容易使它这一现象。可能会觉得,一个妥善放置,self-expanding,血管内支架将提高远端横窦的倒塌的墙壁,缓解的恶化作用静脉高血压和返回病人pre-presentation状态。这可能是在最近的一份报告的颅内高压症患者接受支架远端横窦。在这个报告中,三周随访,患者有轻度持续性头痛但是她的视神经乳头水肿已经解决,和她的CSF开启压力显著下降(但仍轻度升高)。21在这个场景中,支架窦可能降低了病人的症状但是颅内高压症仍将是未知的和未经处理的主要原因。这里给出的结果表明,超过90%的患者颅内高压症横窦,狭窄的出现与正常的病人。患者颅内高压症这些硬脑膜窦狭小不应再被视为例外而是规则对这种疾病。我们能够观察静脉流出的大脑已经显著提高随着ATECO造影术先生的到来。造影术先生的这种技术结合小说评分系统的硬脑膜窦开放为我们提供了一个高性能的无创性成像检测颅内高压症和可能提供潜在的了解这种疾病的病理生理学。
确认
医学影像部门的支持下,多伦多大学。
承认
作者感谢吕克·哈维,RN,加菲猫Detzler,捷运(MR) AC (R),科琳恩,RTMR,崔阳光和诺拉的汤姆(多伦多大学西方医院健康网络)的援助。
脚注
附加材料与本文可以发现首页网站。去www.neuro首页logy.org和向下滚动5月13日发行的目录找到本文的标题链接。
参见页面1406年
- 收到了2002年12月5日。
- 接受2003年2月20日。
引用
信:快速的网络通信
-
回复威廉姆斯和Bergui
- 理查德,我Farb,多伦多西部医院,巴瑟斯特街399号加拿大多伦多安大略M5T 2 s8richard.farb@utoronto.ca
- 理查德。精神医学博士艾琳Vanek。詹姆斯·n·斯科特医学博士David j . Mikulis医学博士罗伯特·Willinsky。乔治•汤姆林森博士学位。卡雷尔·g·terBrugge MD。
2003年9月15日提交 -
特发性颅内高血压:sinovenous狭窄的患病率和形态
- 毛罗。Bergui,意大利di都灵,10126年通过Cherasco 15日意大利都灵mauro.bergui@unito.it
- 詹尼·鲍里斯•Bradac MD
2003年9月15日提交 -
特发性颅内高血压:sinovenous狭窄的患病率和形态
- 大卫·T威廉姆斯,白色纪念医疗中心,塞萨尔·查韦斯E大街1720号,内科住院医生办公室,洛杉矶,CA, 90033年david@lemonchicken.com
- 安东尼奥K刘
2003年9月15日提交
你可能也会感兴趣
相关文章
提醒我
推荐的文章
- 文章
测压法结合宫颈穿刺在特发性颅内高血压j . o .国王,p . j .米切尔k·r·汤姆森et al。
首页神经学,08年1月,2002年 - 文章
特发性颅内高血压的临床过程与横窦狭窄布莱恩·d·Riggeal博b·布鲁斯·阿米特·m·Saindane et al。
首页神经学,2012年12月26日 - 社论
特发性颅内高血压吗?斯蒂芬•西尔伯斯坦·d·罗伯特·c·麦金斯三世et al。
首页神经学,2003年5月13日 - 文章
血管内治疗特发性颅内高血压10个病人的临床和影像学结果
a . Donnet p . Metellus o . Levrier et al。
首页神经学,2008年2月19日


