成像淀粉样沉积在路易身体疾病
做出评论
看到评论
文摘
背景:锥体束外的运动症状之前在帕金森病痴呆(PDD)多年,而路易体痴呆发生痴呆的早期(下文)。尽管临床区别,这些条件的神经心理学和neuropathologic功能重叠。除了广泛分布的路易小体,这两种疾病有变量负担神经炎的斑块和神经元纤维缠结的阿尔茨海默病(AD)的特征。
目的:确定淀粉样蛋白沉积,评估通过PET成像β-amyloid-binding化合物匹兹堡化合物B(加以评估是否可以区分下文PDD,区域性的淀粉样蛋白沉积模式与特定的电机或认知功能。
方法:八个下文,7 PDD, 11个帕金森病(PD), 15广告,37正常控制(NC)的研究对象接受PiB-PET成像和神经心理评估。淀粉样蛋白负担使用加以量化分配体积比。
结果:下文组皮质淀粉样负担高于PDD组与广告组。淀粉样蛋白沉积PDD组很低,与PD和NC组。相对全球皮质保留,枕加以保留低比其他组在广告组。下文,PDD, PD组,淀粉样蛋白沉积在顶叶(横向和楔前叶)/后扣带回区域与视觉空间的障碍。纹状体在下文加以保留,PDD组与更少的运动功能受损有关。
结论:全球皮质淀粉样负担高路易体痴呆和帕金森病痴呆(下文),但低。这些数据表明,β-amyloid可能造成选择性路易体痴呆的认知障碍可能导致痴呆的时间相对于电动机帕金森症的迹象。
术语表:光芒四射=自动解剖标记;广告=阿尔茨海默病;自抗扰控制器=阿尔茨海默病研究中心;AMNART美国版本的国家成人阅读测试;ANCOVA=协方差分析;BDS=祝福痴呆量表;创新艺人经纪公司=脑淀粉样血管病;CDR=临床痴呆评定;CDR-SB=临床痴呆评定笔盒;下文=和路易体痴呆;DVR=分布体积比;FCSRT=暗示选择性提醒测试;FRSRT=免费选择性提醒测试;浩英= Hoehn Yahr;MGH=马萨诸塞州综合医院;患者的=细微精神状态检查;数控=正常控制;非功能性测试=神经原纤维缠结;NPIQ=神经精神量表问卷调查;NS=不显著;PD=帕金森病;PDD=帕金森病痴呆;加以=匹兹堡化合物B;ROI=感兴趣的地区;SPM2=统计参数映射;UKPDSBRC英国帕金森症学会大脑银行研究中心;UPDRS=统一帕金森病评定量表;WAIS-R=韦氏成人智力量表——。
帕金森病(PD)和路易体痴呆(下文)是最常见的synucleinopathies与痴呆有关。诊断为帕金森病痴呆(PDD)是由认知障碍发展的设置完善的特发性帕金森病,1而在下文,痴呆通常预示着提前发病的帕金森运动迹象但共识可能跟随他们的发展从开始到1年。2
路易体痴呆的临床特征PDD包括幻觉、认知的波动,在帕金森症的设置和痴呆。1、2认知领域和广阔neuropsychologic PDD特性影响,下文亦大幅重叠,杰出的执行功能障碍和视觉空间的异常。3尽管不同时间序列的运动和认知赤字,尸检PDD,下文亦显示显著收敛neuropathologic变化。这些包括广泛的边缘和皮质路易小体4以及在前脑腹侧核胆碱能神经元的损失。5神经炎的包含淀粉样斑块和神经纤维缠结(非功能性测试)被发现在大多数情况下的下文4并在PD是常见的。6临床的重叠,neuropsychologic neuropathologic特性导致了PDD的假设和下文亦可能不同表型表达相同的底层的过程。7、8然而,它是可能的neuropathologic基地这两种疾病重叠尸检因为融合了他们的课程。能力衡量淀粉样负担临死前的匹兹堡化合物B(加以PET成像允许我们检查是否微分淀粉样负担与PDD的不同的自然历史和下文。具体来说,我们假设路易体痴呆PDD可能分化的程度的皮质淀粉样蛋白的负担。我们进一步假设区域沉积的淀粉样蛋白会与路易体痴呆的认知和运动特征PDD军团,将区分阿尔茨海默病(AD), PD,正常控制(NC)科目。
方法
研究设计。
八个科目与下文7 PDD, 11与PD招募从马萨诸塞州总医院(MGH)运动和记忆研究单位(表1)。所有科目与PD满足标准诊断为特发性帕金森病根据英国帕金森病的社会大脑银行研究中心(UKPDSBRC)临床诊断标准,9Hoehn和Yahr(浩英)阶段我通过IV,痴呆和认知正常,祝福规模(BDS)分数< 5。受试者PDD遇到UKPDSBRC标准特发性帕金森病,浩英阶段我通过IV,此外,满足精神疾病诊断与统计手册,第3版,修订标准痴呆,BDS分数≥5。尽管最近PDD标准达成共识1不可用在这项研究的《盗梦空间》,所有受试者PDD会满足这些标准在入学的时候。主题与下文了共识标准可能下文路易体痴呆的财团,2的存在至少两个:震颤麻痹,幻觉和认知的波动。下文的BDS分数≥5。6 7路易体痴呆的发生11 11 PD,和6 7 PDD受试者与多巴胺能药物治疗,如左旋多巴。获得的数据从这些帕金森受试者相比一个单独收集的15广告和37数控受试者参与纵向研究正常的衰老和痴呆在MGH和布莱根妇女医院。数控的诊断需要正常的神经检查结果,临床痴呆评定(CDR)的规模10得分为0,认知正常,BDS得分< 3或细微精神状态检查(MMSE)评分> 27。所有科目与广告满足国家研究所的神经和交际障碍和Stroke-Alzheimer病及相关疾病协会标准可能的广告11,BDS分数≥5、MMSE分数< 23。所有的参与者给书面知情同意根据批准的协议伙伴医疗公司机构审查委员会。
临床评估。
临床评估涉及的运动机能的浩英分期PD和统一帕金森病评定量表(UPDRS)三部分12在国家测试;平均延迟从剂量的多巴胺能药物检查23路易体痴呆的发生在21 PDD,和PD科目没有不同组(p> 0.37)。额外的措施包括CDR, CDR笔盒,梅奥波动屏幕,13神经精神量表问卷,14包括幻觉次生氧化皮,和老年抑郁量表。神经心理学测试包括MMSE、BDS数字,数字落后,落后于A和B,逻辑内存IA和花絮,自由和暗示选择性提醒测试(分别FRSRT和FCSRT),15本顿视觉形式歧视测试,韦氏成人智力量表——,信流利,two-item类别流利(动物和蔬菜),波士顿30-item命名测试,和美国版本的国家成人阅读测试语言智商评估。大多数的这些测试与认知的统一数据集测试,所开发的广告中心。神经心理测试和PiB-PET的平均时间间隔是0.07±2.12个月。
PET成像收购。
N甲基- c [11] 2 - (4-methylaminophenyl) 6-hydroxybenzothiazole(加以准备麻省总医院如前所述。16受试者在两个宠物相机动态采集,西门子/ CTI ECAT HR扫描仪(三维模式;63图像平面;15.2厘米轴向的视野;5.6毫米transaxial决议;2.4毫米片间隔;69帧:12×15秒,57×60秒;诺克斯维尔,TN)或通用电气PC4096扫描仪(二维模式;15图像平面;10.0厘米轴向的视野;7.0毫米transaxial决议; 6.0-mm slice interval; 39 frames: 8 × 15 seconds, 4 × 60 seconds, 27 × 120 seconds; Milwaukee, WI). After a transmission scan, 8.5 to 15 mCi 11C-PiB was injected as a bolus and followed immediately by a 60-minute dynamic acquisition. PET data were reconstructed with ordered set expectation maximization and corrected for attenuation, and each frame was evaluated to verify adequate count statistics and absence of head motion.
宠物图像分析。
全球和区域皮质加以保留使用洛根的图形分析方法计算了,17、18与小脑皮层参考组织输入函数,来评估特定加以保留表示为分布体积比(DVR)在之前加以研究。19日至22日DVR的参数图像(40 - 60分钟)时代后期评估视觉和分类加以正面和负面的没有知识的临床分类,通过识别存在的特定的皮质加以保留(至少50皮层体素与DVR > 1.3;加以积极的),或者只存在特异性的白质的吸收量(远低于50皮质压DVR > 1.3;加以负)。19日21受试者分为加以积极即使相对限制部分皮层特定绑定的证据;因此,在这些人平均总绑定大面积非特异性结合仍低。
比较加以保留感兴趣的地区(roi)组间,我们将每个主题的PiB-PET数据集到一个标准的空间和计算加以DVR在解剖学上定义roi,如前所述。22使用标准的空间是单一学科自动化解剖标记(AAL),23和我们选择统计参数映射(SPM2)24确定翘曲,每个主体的PiB-PET数据转变成光芒四射的空间。由此产生的扭曲变换应用于个人动态加以数据的帧。活动在每个数据集加以衡量ROI总量:全球、枕叶、额侧前扣带、侧颞,内侧颞,顶叶(横向和楔前叶)/后扣带,和纹状体。每个组件的总表列在附录e 1首页®网站www.首页neurology.org。时间曲线在每个派生ROI总在每一个主题,DVR是根据标准方法来计算的,17、18使用小脑灰色作为参考。我们使用协方差分析(ANCOVA)和比率获得ROI区域保留总量相对全球保留。我们测试了以下假设有关地区特定的认知测试的性能:淀粉样负担顶叶(横向和楔前叶)/后扣带DVR本顿视觉形式歧视测试和性能;枕DVR本顿视觉形式歧视测试和性能;额叶侧DVR数字落后和性能;额叶侧FCSRT DVR和性能;前扣带DVR数字落后和性能;前扣带FCSRT DVR和性能;内侧颞FRSRT DVR和性能;枕DVR和幻觉。 In a separate study, using overlapping subject groups, intercamera reliability was found to be satisfactory. The mean DVR in the global ROI did not differ between the two PET cameras among groups with or without dementia (age and multiple test adjusted tests,p> 0.30)。
结果
临床特征。
人口统计的军团所示表1。MMSE分数之间的可比性路易体痴呆PDD组,但下文组低于广告组(p< 0.017,方差分析)。下文和PDD组有类似浩英分数。然而,浩英得分是PD组低于PDD组(p< 0.009)。下文和PDD组有更严重的运动障碍比PD组的UPDRS III(下文vs PD,p< 0.03;PDD vs PD,p< 0.006)。下文和PDD组进行同样的认知能力的测试。他们有更多的认知波动比PD组(下文vs PD,p= 0.004;PDD vs PD,p= 0.008)和幻觉略微超过了PD组(下文vs PD,p= 0.055;PDD vs PD,p= 0.063)。所有数控科目分数通常neuropsychologic测试。
全球淀粉样蛋白的负担。
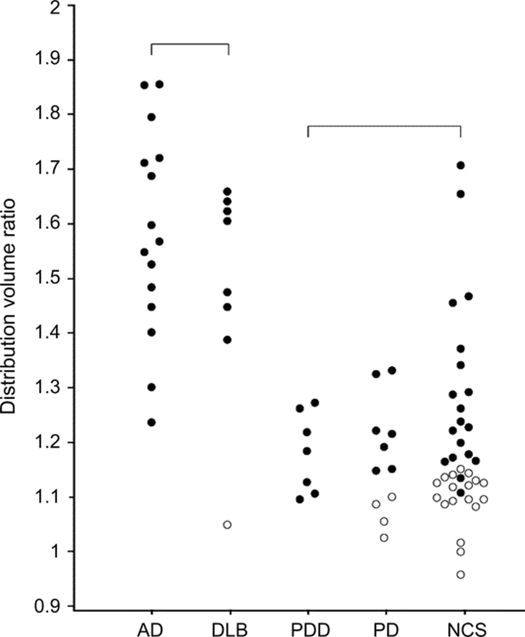
皮质淀粉样负担广告不同,下文,PDD, PD, NC组(p< 0.0001,非参数排列测试;图1和图2)。下文组更大的意思加以保留比PDD集团(p< 0.05,图基调整事后测试),尽管相似程度的认知障碍(表1)。无意义的差异进行调整后,这种差异依然显著表现的患者或BDS, ANCOVA。平均负担在下文组与淀粉样蛋白含量与广告(差异不显著(NS))。加以保留在下文组高于PD或NC组(p< 0.05)。PDD组加以保留低于广告组(p< 0.05);意思是淀粉样负担PDD组没有统计学上不同于在PD或数控组。PD组皮质淀粉样负担是类似于NC组(NS)。这些发现与ANCOVA坚持在调整了年龄。既没有显著的交互诊断的性别和性别对淀粉样蛋白的主要影响负担(ANCOVA阶乘了诊断和性别因素和年龄协变量)。
图1代表加以图片
图像从一个75岁的正常控制(数控)(左上),一个79岁的阿尔茨海默病(AD)患者(细微精神状态检查(MMSE)得分25;右上角),一个65岁的帕金森病(PD)患者(MMSE得分27个;左下),一个69岁的PD患者痴呆(PDD) (MMSE得分25;中下)和一个71岁的路易体痴呆患者与下文)(MMSE得分8;显示右下)。注意,匹兹堡化合物B(加以保留定性增加广告,PDD,下文与NC和PD相比。还要注意淀粉样蛋白的变化区域分布在整个广告,PDD,下文图片。DVR =分布体积比。
图2淀粉样蛋白沉积在路易身体疾病
全球匹兹堡化合物B(加以分布体积比为阿尔茨海默病(AD)、路易体痴呆与下文),帕金森病痴呆(PDD)帕金森病(PD)和正常的控制(NC)组。每个点代表一个单一的主题。案例与特定的皮质吸收加以(即。“加以积极”)显示为封闭的圈子;一些科目加以保留全球平均水平较低的小病灶。较低的情况下,非特异性结合显示为打开圈(即。”加以负”)。线连接组意味着不显著不同:广告和下文组没有显著不同,PD, PDD,数控意味着没有显著不同。所有成对比较这两个集群是重要的(p≤0.05,图基事后测试)。
我们视觉评估参数图像区分特殊皮质加以保留(加以积极的)情况下,只有非特异性白质吸收(加以负)。所有15个广告主题,7 8下文的主题,和所有7 PDD受试者加以积极的。七11 PD主题和19 37数控受试者加以积极的。PiB-positive和PiB-negative PD科目重叠在人口、临床、和神经心理功能,在平均年龄没有明显差异,表现的患者,或Hoehn Yahr阶段。PiB-positive和PiB-negative数控科目同样重叠在人口、临床和神经心理功能,包括年龄和MMSE性能。
区域淀粉样蛋白的负担。
具体加以保留以roi反映全球加以保留绝对的,未经调整的dvr所示表2)。我们也因此分析诊断组织在地区之间的差异加以保留,调整为全球通过ANCOVA加以保留。调整淀粉样负担在额叶侧,侧颞,内侧颞,顶叶(横向和楔前叶)/后扣带、前扣带roi并没有区分下文,PDD,从广告组或PD组(比较,NS)。相比之下,调整枕加以保留广告组低于在下文(p= 0.013,图基调整事后测试),PDD (p= 0.0002),或PD (p= 0.0004)。广告组调整枕加以低于了NC组(p< 0.0001)。加以调整roi的负担没有区分下文,PDD, PD组从一个另一个。
协会全球淀粉样蛋白临床变量路易身体疾病。
在下文,PDD, PD组汇集,淀粉样负担越大,以全球皮质加以DVR, MMSE得分越低(r=−0.50,p= 0.01)。然而,这种效应是由组内而不是通过关系组之间的差异,这样汇集类内关系不显著(在组织部分r=−0.1,p= 0.65)。
地区协会的淀粉样蛋白与临床、认知和运动变量在路易身体疾病。
我们测试了八个假设有关地区特定的淀粉样蛋白负担与特定认知能力在路易体痴呆的发生测试PDD, PD组。全球保留区域加以保留调整。我们发现顶叶区域淀粉样负担(横向和楔前叶)/后扣带回区域而不是枕依然显示出了类内关系下降本顿视觉形式歧视测试(我们是否调整全球加以保留作为一个简单的比例(p= 0.011;错误发现率p= 0.047修正为多个ROI-cognitive]或通过ANCOVA[测试比较p= 0.005])。相反,在广告和数控科目,淀粉样负担在这个区域没有与本顿性能。区域淀粉样负担在下文,PDD, PD组没有显著关联到其他假设焦认知障碍,是否盲目诊断组或诊断组内。特别是,额叶执行任务和线索回忆(数字落后和FCSRT)没有与加以保留在额叶侧或前扣带地区;记忆障碍(FRSRT)没有增加加以保留在内侧颞叶区域;和幻觉并不与枕加以保留。
有显著交互作用的诊断组(下文,PDD, PD)与纹状体的关系加以保留为全球第三UPDRS评分(我们是否调整加以保留作为一个简单的比例(p= 0.039)或通过ANCOVA (p= 0.046])。在路易体痴呆PDD组而不是PD组,纹状体是淀粉样负担就越大,越低(更好的)第三UPDRS评分(下文,r=−0.87p= 0.01;PDD,r=−0.90p= 0.005)。
讨论
我们发现全球皮质淀粉样负担,衡量PiB-PET,下文组高于PDD组;事实上,在下文加以保留组与保留广告组。与下文集团负担PDD组中淀粉样蛋白的含量很低,与PD和数控科目。微分的淀粉样蛋白的路易体痴呆PDD集团并不是由于痴呆严重程度的差异,组间的可比性。这些数据表明,尽管他们的相似和重叠的临床,neuropsychologic,和neuropathologic特性,路易体痴呆PDD可以差异化的淀粉样蛋白沉积的基础上。这些发现证实和扩展之前报告关于加以成像在帕金森综合症。突出加以吸收在下文中提到一个小系列25确认一个尸检例。26在另一份报告,有最小的皮质在10 PDD情况下加以约束。27在下文,淀粉样蛋白沉积已表现出随认知功能减退的发生率和临床诊断的发展特性。25这个观察可能扩展到PDD,泛化,淀粉样沉积减少临床的发病之间的持续时间(电动机或认知)和老年痴呆症发病的症状。根据我们的数据,我们假设,当淀粉样蛋白在大脑血管和皮层薄壁组织积累在帕金森症的早期,下文表达的临床特征。当淀粉样蛋白沉积在大脑皮层是温和和迟到事件,PDD的诊断通常是由。
皮质加以保留据报道发生在显然大于20%的正常人,22日,28日符合广告改变老年人无痴呆的患病率。29、30数控的样本对象包含一个更大的比例(51%)的加以比先前报道的阳性。这一发现与更高的认知储备是否在我们的主题31日和这些存款是痴呆的前兆是否仍有待建立和强烈的调查正在进行之中。在这种背景下,值得注意的是虽然定量温和,特定的皮质加以保留许多但不是所有认知正常PD PDD的主题和在所有情况下。皮质沉积的淀粉样蛋白在PD可能因此痴呆的一个危险因素。PD组的纵向PiB-PET成像需要解决这个问题。
下文有关神经炎的致密核心斑块和弥漫性斑块,4而在PDD,弥漫性斑块是常见的和更普遍。32可能不同的神经炎的患病率和弥漫性斑块可能导致微分下文,PDD的加以保留。在这方面,最近的一项研究报告的重要绑定加以神经炎的和弥漫性斑块。33脑淀粉样血管病(CAA)也与PiB-PET成像。22日,26日因为不同程度的创新艺人经纪公司被描述在下文和PDD,34、35创新艺人经纪公司不太可能构成微分加以下文和PDD有约束力。因为加以只可以忽略污渍非功能性测试36和路易小体37浓度用于PET成像,这是不太可能的差异加以保留在这些团体反映非功能性测试的差异或路易小体。
我们评估区域淀粉样蛋白沉积在组织和发现,全球淀粉样蛋白的水平,调整后枕骨区域优先幸免于广告组与下文相比,PDD, PD, NC组。之间的关系加以保留和颞顶叶代谢减退被描述在广告。38正研究在下文,PDD, PD经常显示双边颞顶部的广告模式代谢减退,有额外的减少枕叶皮层的代谢。39因此枕在这些路易身体代谢减退疾病可能是这个的结果相对枕淀粉样蛋白的负担。目前尚不清楚为什么数控主题也显示了这一发现。有趣的是,加以成像在创新艺人经纪公司还展示了相对枕保留与广告相比。22
我们发现一个重要的皮质水平之间的相关性加以保留和帕金森病认知障碍,PDD,和下文组,以患者的。我们还发现,在联合下文,PDD, PD组,淀粉样蛋白沉积在顶叶(横向和楔前叶)/后扣带回区域与视觉空间的障碍有关。这种关系是特定的路易的身体疾病,视觉空间障碍的描述,1并没有看到广告或数控组。这些数据提高路易身体疾病的可能性,淀粉样沉积直接损害顶叶处理视觉信息。虽然我们无法找到其他假设认知测试性能之间的关系和地区淀粉样负担,我们不能排除这种可能性,样本量的限制可能掩盖较弱的相关性。有大量的样本未来的工作很重要。尽管组性别比例和年龄不完全匹配,我们的方法的分析统计调整对性别失衡和年龄差异。事实上,结果显示性别/主要交互影响和年龄的影响表明,这些调整在任何情况下没有强烈影响的结果。重要的是要注意,根据临床诊断组定义的标准,而不是neuropathologic标准。鉴于路易小体的高患病率在广告中发现大脑,可能一些学科临床广告可能有额外的路易体病理neuropathologic评估的证据。进一步限制这项研究是缺乏结构磁共振成像数据,允许我们调整容积损失。这可能会导致我们低估了淀粉与萎缩受试者的负担。
我们也观察到纹状体下文中的淀粉样蛋白沉积和PDD团体与减少运动损伤。这个结果表明,纹状体淀粉样不是一个标记路易身体疾病和运动功能障碍的可能表明保存PDD的运动机能和下文。弥漫性斑块是常见的在下文,PDD,纹状体40但我们所知,电动机特性在这些疾病的关系没有被探索。值得注意的是,纹状体加以保留在零星的广告很常见,标志着早期的家族与presenilin我突变相关的广告,41不与帕金森症相关的疾病。
作者的贡献
J.J.L.进行了统计分析。
脚注
支持由阿尔茨海默病研究中心(ADRC)和哈佛大学(S.N.G. Neurodiscovery中心K.A.J.),尤德尔PD中心(P50-NS38372;J.H.G.),自抗扰控制器(P50-AG05134;J.H.G.,K.A.J.), R21-NS060310 (S.N.G., J.H.G., K.A.J.), the Alzheimer Association (IIRG-06-26331; K.A.J.), R01 AG018402 (W.E.K., C.A.M.), R37 AG025516 (W.E.K., C.A.M.), P50 AG05133 (W.E.K., C.A.M.), 3R01AG027435-02S1 (K.A.J.), and P01 AG025204 (W.E.K., C.A.M.).
披露:W.K.和C.A.M.:GE Healthcare holds a license agreement with the University of Pittsburgh based on the PiB technology described in this article. W.K. and C.A.M. are coinventors of PiB and, as such, have a financial interest in this license agreement. GE Healthcare provided no grant support for this study and had no role in the design or interpretation of results or preparation of this article. S.N.G., D.M.R., E.M., J.A.B., J.J.L., D.R.E., T.S., A.J.F., B.T.H., J.H.G., and K.A.J. have no disclosures.
2008年2月21日收到。2008年6月12日接受的最终形式。
引用
- 1。↵
- 2。↵
- 3所示。↵
- 4所示。↵
- 5。↵
- 6。↵
- 7所示。↵
麦基斯搞笑,燃烧d光谱的帕金森症,帕金森病痴呆和路易体痴呆。:DeKosky圣埃德。神经诊所。费城:WB桑德斯,2000年:865年-883年。
- 8。
- 9。↵
- 10。↵
- 11。↵
- 12。↵
朗,Fahn评价帕金森病。:Munstat TL,艾德。神经功能缺陷的量化。波士顿:巴特沃斯,1989年:285年-309年。
- 13。↵
- 14。↵
- 15。↵
- 16。↵
- 17所示。↵
- 18岁。
- 19所示。↵
- 20.
- 21。
- 22。↵
- 23。↵
- 24。↵
- 25。↵
- 26岁。↵
- 27。↵
- 28。
- 29。↵
- 30.
- 31日。↵
- 32。↵
- 33。↵
- 34。↵
- 35。
- 36。↵
- 37岁。↵
- 38。↵
- 39岁。↵
- 40。↵
- 41岁。↵
信:快速的网络通信
你可能也会感兴趣
提醒我
推荐的文章
- 文章
休息大胆fMRI区别与路易体痴呆和阿尔茨海默病J.E.加尔文J.L.价格,z燕等。
首页神经学,2011年4月27日 - 文章
局部脑葡萄糖代谢与路易体痴呆和阿尔茨海默氏症k . Ishii t .导演m .佐佐木等。
首页神经学,1998年7月1日 - 文章
颞叶萎缩在MRI在帕金森病痴呆比较与阿尔茨海默病和路易体痴呆
c .厕所Tam, e·j·伯顿。g .麦基斯等。
首页神经学,07年3月,2005 - 文章
成像β-amyloid负担在衰老和痴呆c . c .罗美国Ng,阿克曼等。
首页神经学,2007年5月14日


