阿尔茨海默病血液生物标志物在大型临床队列中预测痴呆风险的有效性和性能
做出评论
看到评论
摘要
背景与目的阿尔茨海默病(AD)的血液生物标志物一直被证明与CSF或PET生物标志物相关,并有效地将AD与其他神经退行性疾病区分开来。我们的目的是测试它们在临床实践中的效用,来自一个多中心的未选择的前瞻性队列,其中患者表现出大量的认知缺陷或抱怨。
方法MEMENTO队列在法国26家记忆诊所招募了2323名主观认知抱怨(SCC)或轻度认知障碍(MCI)门诊患者。参与者在基线时进行神经心理学评估、核磁共振成像和血液采样。脑脊液取样和淀粉样PET是可选的。使用Simoa HD-X分析仪测量基线血a β42/40比值、总tau蛋白、p181-tau蛋白和神经丝轻链(NfL)。一个专家委员会在5年随访期间验证了痴呆事件病例。
结果总的来说,2277个人至少有一个基线血液生物标志物可用(脑脊液子样本n = 357, PET子样本n = 649),其中257人在随访期间被诊断为临床AD/混合性痴呆。除总tau蛋白外,所有血液生物标志物都与其脑脊液中的等效物轻度相关(r = 0.33至0.46,p< 0.0001),并与淀粉样蛋白- pet状态相关(p< 0.0001)。血液p181-tau是识别淀粉样pet阳性的最佳血液生物标志物(曲线下面积= 0.74 [95% CI = 0.69;0.79])。较高的血液和脑脊液p181-tau和NfL浓度与AD痴呆发病时间加快相关,发病率相似,而血液Aβ42/40的效率低于脑脊液Aβ42/40。血液中p181-tau蛋白单独是5年AD/混合性痴呆风险的最佳血液预测因子(c-指数= 0.73 [95% CI = 0.69;0.77]);其准确性在临床痴呆评分(CDR) = 0的患者中更高(c-index = 0.83 [95% CI = 0.69;0.97])比CDR = 0.5的患者(c-index = 0.70 [95% CI = 0.66;0.74])。“临床”参考模型(结合人口统计学和神经心理学评估)预测AD/混合性痴呆风险的c-指数= 0.88 [95% CI = 0.86-0.91],表现增加到0.90 [95% CI = 0.88; 0.92] when adding blood p181-tau + Aβ42/40. A “research” reference model (clinical model + apolipoprotein E genotype and AD signature on MRI) had a c-index = 0.91 [95% CI = 0.89–0.93] increasing to 0.92 [95% CI = 0.90; 0.93] when adding blood p181-tau + Aβ42/40. Chronic kidney disease and vascular comorbidities did not affect predictive performances.
讨论在基于临床的SCC或MCI患者队列中,血液生物标志物可能是潜在病理的良好标志,但对包括传统预测因子在内的5年痴呆风险预测模型几乎没有增加。
术语表
- 一个β=
- β淀粉样肽;
- 广告=
- 阿尔茨海默病;
- AUC=
- 曲线下面积;
- ApoE=
- 载脂蛋白E;
- CDR=
- 临床痴呆等级;
- 表皮生长因子受体=
- 估计肾小球滤过率;
- MCI=
- 轻度认知障碍;
- 国家橄榄球联盟=
- 神经丝轻链;
- 中华民国=
- 接收机工作特性;
- 鳞状细胞癌=
- 主观认知抱怨;
- SUVR=
- 标准摄取值比;
- 台湾海陆运输公司=
- 航迹测试
在过去的20年里,在一个人的一生中突出阿尔茨海默病(AD)的神经病理学特征的可能性显著影响了临床实践和痴呆症研究。AD生物标志物的出现使临床医生和研究人员能够超越“可能”或“可能”的AD诊断,通过“前驱AD”和“临床前AD”的概念来识别有患AD痴呆风险的人。1,-,3.这些生物标记物也被用于根据神经心理学和神经病理学资料进行临床试验的患者分层。最近,减轻这些生物标志物的负担已被美国食品和药物管理局(fda)认可为AD临床试验的有效替代终点,尽管这一决定一直存在争议。4
体内AD生物标志物最初依赖于淀粉样pet成像和/或脑脊液中Aβ肽、tau和磷酸化tau浓度的测量。5最近,tau-PET问世。6这些技术在识别AD神经病理特征(以及tau-PET情况下病变的地形进展)方面显示出令人满意的准确性。不幸的是,它们是侵入性的和/或昂贵的和/或仅限于三级中心,只能向少数参与者提出,主要是在研究背景下。然而,专门针对前驱AD的免疫疗法的潜在出现提出了技术、后勤和经济能力的问题,以确定常规护理参与者具有AD的这些特征。
在这种前景下,AD的血液生物标志物最近已经开发出来,首先使用质谱技术7然后是免疫测定。8尽管使用了不同的抗体和检测技术,并且针对同一肽上的不同表位,这些血液生物标志物在研究中始终与CSF或PET生物标志物相关。8,-,11此外,与临床诊断或神经病理特征作为金标准相比,血液磷酸化的tau蛋白被证明可以有效地从对照组和其他神经退行性疾病患者中区分AD病例。12,-,18此外,首次纵向研究表明,这些生物标志物可以预测轻度认知障碍(MCI)或主观认知障碍(SCC)参与者的AD痴呆风险。14,19血液生物标志物也与进行性认知能力下降和灰质损失有关,单独或与其他因素联合。20.,-,22然而,这些纵向发现主要基于最大队列的BioFINDER (n < 400 SCC/MCI)和ADNI (n < 600 MCI),研究文章之间有许多重叠。金博宝手机版官网首页此外,这些队列有严格的纳入标准,防止得出关于“现实生活”患者群体的结论(例如,ADNI最初是作为模拟随机对照试验设计的)。23因此,为了达到临床实践,这些生物标志物仍然需要在非常大的多中心前瞻性队列中进行研究和验证,这些队列具有异质和未选择的人群,在自然环境中实施。它还要求参与者具有较低的AD病理预测试概率,反映了记忆诊所在首次访问时的实践。24
我们在MEMENTO队列中的研究目标是(1)比较AD (Aβ肽,总tau, p181-tau)和神经退行性变(神经丝轻链;NfL)血液生物标志物及其在脑脊液中的等值性和淀粉样蛋白- pet状态;(2)评估其在预测临床痴呆5年随访中的表现,该研究来自26个法国记忆诊所,在入组时患有MCI或SCC的大型(n = 2323)未选择的门诊患者队列。
方法
参与者
MEMENTO队列招募了26个法国记忆诊所的门诊咨询病人。25,26MEMENTO队列的主要纳入标准是临床痴呆评分(CDR)量表评分≤0.5,非常轻微到轻度认知障碍(在一个或多个认知测试中低于年龄、性别和教育水平阈值<1个SD),或孤立的SCC(年龄大于60岁)。认知性投诉采用视觉模拟量表进行评估。排除标准包括伴有持续性神经功能缺损的头部外伤史、最近3个月卒中或持续性神经功能缺损、脑肿瘤、癫痫、精神分裂症、已知家族性AD基因突变和文盲。
标准方案批准、注册和患者同意
所有参与者均知情同意。该研究方案已由伦理委员会“CPP Sud-Ouest et OutreMer III”批准,并在ClinicalTrials.gov(NCT01926249).
临床随访
在5年的随访期间,患者至少每年进行一次临床和神经学评估。系统地进行了简易精神状态检查和CDR。在基线和年度随访期间,进行自由和提示选择性提醒测试、延迟匹配样本48、字母和2分钟语义流利度(字母P和动物的2分钟任务)、图像命名、实践评估和痕迹制作测试(TMT) A和B。组织了培训课程,以优化各中心对CDR和神经心理测试报价的标准化。所有痴呆病例都由一个专家委员会审查,使用《精神疾病诊断与统计手册》(DSM-IV标准)对遗传和生物生物标志物进行盲法检查。痴呆症的病因诊断是根据国际标准进行的(国家衰老研究所-阿尔茨海默病协会的AD标准,2路易体痴呆的DLB联盟,27额颞叶变性的Rascovsky标准28).
MRI、淀粉样pet采集和APoE基因分型
参与者在1.5 T或3 T磁共振成像仪上进行脑部扫描。形态学方案包括1毫米各向异性3D t1加权和2D t2加权FLAIR图像,由专门的神经成像专家团队(法国巴黎的图像采集和特征中心)对成像参数进行标准化后获得。29所有扫描都进行了集中、质量控制和后处理,以获得每个参与者的标准化测量。采用统计参数映射提取颅内容积;用SACHA软件估计海马体积,用FreeSurfer 5.3估计Desikan图谱中每个感兴趣区域的皮质厚度。26MRI AD特征是根据与Dickerson AD特征相对应的Desikan皮层区域列表(内嗅、颞下、颞中、顶下、梭状回和楔前叶)的区域特异性皮层变薄来计算的。30.
一些参与者被建议在基线时(Insight-PreAD)或随访时(AMYGING)参加淀粉样蛋白- pet辅助研究。NCT02164643,被纳入《记忆碎片》后平均2年)。放射性配体是18F-florbetapir (18F-AV45)18氟他莫(维扎米尔)。根据先前描述的程序(阈值:florbetapir > 0.88, flutemetamol > 1.063)定义每种放射性配基的淀粉样蛋白阳性。31
载脂蛋白E (ApoE)基因型由英国KBiosciences公司测定。25
脑脊液和血液生物标志物测量
如前所述,腰椎穿刺是可选的,在参与者的子样本中进行。25我们将脑脊液标记物的分析限制在血液生物标记物测量后1年内进行腰椎穿刺的参与者。淀粉样蛋白-β 42肽(Aβ42),β40使用标准化的市售INNOTEST (Fujirebio, Belgium)测量总tau蛋白和磷酸化tau蛋白(p181-tau)水平。使用单分子阵列超灵敏免疫分析法(Simoa)和商用试剂盒在Quanterix HD-X分析仪(Quanterix, MA)上测量CSF NfL。
在每个参与MEMENTO的记忆诊所收集血液样本。标准生物学测量(包括估计肾小球滤过率[eGFR])在当地生化部门进行。在基线时,通过静脉穿刺到凝胶分离管采集血清和EDTA管采集血浆,收集研究特异性血液样本。在室温下放置30分钟使其凝固,然后在4℃下以1500g离心15分钟。分离后,将小体积的血清和血浆进行混合,以避免解冻周期(250µL在2 mL Sarstedt冷冻管中),并在−80°C保存。因此,分析仅在1个冻结/解冻循环后进行。使用Simoa技术和Quanterix HD-X分析仪上的商业试剂盒测量血液生物标志物:血浆a β42, a β40,总tau使用Neurology 3-Plex a Advantage Kit(项目编号101995),血清p181-tau使用p181-tau Advantage首页 V2 Kit(项目编号103714),血清NfL使用NF-light Advantage Kit(项目编号103186)。敏感性临界值(定量功能下限)为(pg/mL) NfL为0.69,p181-tau为0.33,总tau为0.25,Aβ40为2.7,Aβ42为0.56。所有包含免疫分析技术特征(校准曲线、变异系数、再现精度等)的数据表和验证报告可在制造商的网站(quanterix.com/simoa-assay-kits/).在集中生物库(Bordeaux Biothèques Santé, Centre de resources Biologiques)的波尔多大学医院研究平台上进行测量,对任何其他数据进行盲法处理。
统计分析
描述性数据以百分比形式表示定性变量,以中位数、第一和第三四分位数表示定量变量。脑脊液与血液生物标志物浓度的相关性用Spearman秩相关系数估计。采用非参数Wilcoxon秩检验淀粉样蛋白-PET状态与血液生物标志物浓度之间的相关性,并采用受试者工作特征(ROC)曲线分析确定血液生物标志物在鉴别PET淀粉样蛋白阳性方面的性能。
我们进行生存分析以预测AD痴呆风险,并对事件病例的痴呆时间、死亡时间或随访结束时间进行建模,以先发生的时间为准。患有临床定义的AD或混合性AD痴呆的个体2被认为是“AD痴呆转换者”。在随访期间未发生痴呆或发生其他病因性痴呆的参与者被归类为“非ad痴呆转换者”,并在痴呆症诊断时进行审查。采用Kaplan-Meier生存曲线来模拟与痴呆症风险相关的血液和脑脊液生物标志物。之所以使用tertile,是因为迄今为止还没有血液生物标志物的“病理”界限。
对于多变量分析,我们采用Cox比例风险模型(连续测量血液生物标志物)。对血液生物标志物浓度进行对数转换。我们定义了一个“临床”参考预测模型,该模型基于在通常临床实践中收集的数据:年龄、性别、教育水平、记忆(自由和提示选择性提醒测试的总回忆量)和执行(TMT-B)表现。我们还定义了一个“研究”参考模型,包括在“临床”预测模型之上较难获得的措施:ad特征区域的ApoE基因型和MRI皮层厚度。血液生物标志物的预测价值单独或与“临床”或“研究”参考模型联合建模。为了减少估计中的乐观情绪,我们计算了5倍交叉验证概率。随后的指标基于这些交叉验证的概率。对于每个模型,我们计算了区分能力的c指数(从0到1,越高越好),预测误差的Brier评分(越低越好),以及感兴趣的模型与参考模型之间的c指数差异(0表示没有差异,正差异有利于感兴趣的模型)。使用自举法估计Brier评分和c-指数差95%置信区间(95% CI)。作为敏感性分析,我们根据患者的基线CDR(0或0.5)或MCI的性质(健忘症或非健忘症)对亚组患者运行相同的Cox比例风险模型。 As another sensitivity analysis, we also adjusted the Cox models on comorbidities known to affect blood biomarkers concentrations32,33: eGFR与血管事件(中风或心肌梗死)史。
分析使用SAS 9.4进行,程序源自Nancy Cook及其同事的SAS宏(ncook.bwh.harvard.edu/sas-macros.html).
数据可用性
只要数据传输符合欧盟关于一般数据保护条例的立法,任何合格的调查人员将根据要求共享匿名数据,其唯一目的是复制文章中提出的程序和结果。
结果
纪念品队列和子样本的特征
从2011年到2014年,来自26家法国记忆诊所的2323名非痴呆门诊患者连续参加了MEMENTO研究。25其中,2277人(98.0%)至少检测到一种AD或神经退行性变血液生物标志物。其中357例(15.7%)在采血1年内行腰椎穿刺。649人可用淀粉样蛋白pet(150[23.1%]为淀粉样蛋白阳性)。主要分析样本和脑脊液子样本在基线时的人口学、临床、神经心理学、生物学和MRI特征见表1.脑脊液和血液生物标志物测量的性别差异数据载于表1 (links.lww.com/WNL/C445).
整个样本的随访率为1年91.4%,2年85.3%,3年78.6%,4年73.0%,5年64.3%。在5年随访期间,共诊断出257例临床定义的AD(或混合性)痴呆,发病率为2.84 / 100人-年(PY) (95% CI = 2.50;3.20)。在脑脊液子样本中,AD痴呆的发病率为4.40 / 100 PY [95% CI = 3.39;5.62] (n = 64)。介绍了“AD转换器”和“非转换器”的特性表1对于两个样本。在AD“非转换”组中,在整个队列中有63例患者发展为其他病因性痴呆,其中13例患者属于CSF子样本。
血液生物标志物与淀粉样pet和脑脊液生物标志物的比较
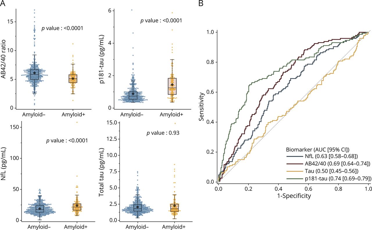
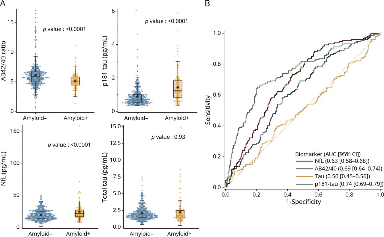
血Aβ42/40比值、p181-tau和NfL浓度与淀粉样蛋白- pet状态相关(图1一个), p181-tau的效应量最高:淀粉样蛋白pet阴性患者的平均浓度(SD)为0.88 (0.55)pg/mL,而淀粉样蛋白pet阳性患者的平均浓度(SD)为1.44 (0.85)(+63%,Cohen’SD = 0.82)。平均Aβ42/40比值为6.12 (2.13)vs 5.13(1.28)(−16%,d = 0.49),平均NfL浓度为19 (8.2)vs 24 (15) pg/mL (+26%, d = 0.48)。总tau浓度没有根据淀粉样蛋白- pet状态的差异。
(A)箱线图表示中位数、第一和第三四分位数;黑色菱形表示平均值。p-值用于非参数Wilcoxon秩检验。(B) ROC曲线分析显示了4种血液生物标志物鉴别PET淀粉样蛋白阳性的性能。Aβ =淀粉样蛋白;AUC =曲线下面积;神经丝轻链;ROC =受试者工作特征。
用于识别淀粉样pet阳性的血液生物标志物的ROC分析见图1 b.血p181-tau蛋白是最好的鉴别器,其曲线下面积(AUC)为0.74 (95% CI = 0.69;0.79)。
脑脊液和血浆生物标志物主要相互相关。除总tau蛋白外,血液生物标志物与其在脑脊液中的等效性相关(表2).
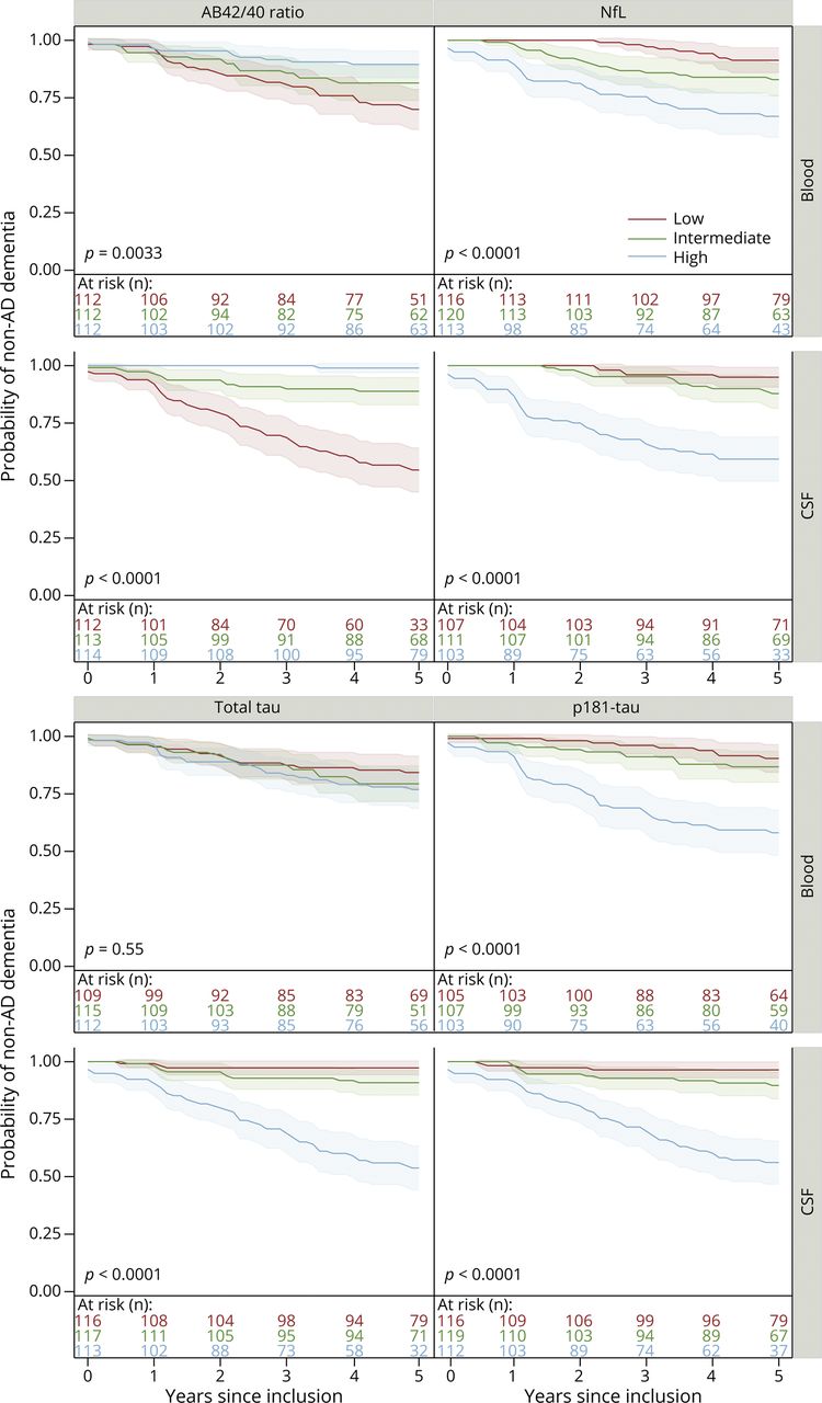
使用Kaplan-Meier生存分析,对血液和脑脊液AD和神经退行性生物标志物与5年随访中AD痴呆风险的关系进行建模(图2及表2 [links.lww.com/WNL/C445]计算发病率)。血液和脑脊液p181-tau、NfL和a β42/40比值与AD痴呆发病风险遵循剂量-反应模式相关(p< 0.0001,p< 0.0001,和p= 0.0033,分别为log-rank测试)。对于p181-tau和NfL,血液或脑脊液不育剂浓度导致相似的发病率。血Aβ42/40比脑脊液Aβ42/40更有效。脑脊液t-tau与AD痴呆事件相关(p< 0.0001),而不是血t-tau (p= 0.43)。
用血液生物标志物和其他指标预测未来AD痴呆
表3显示了单独或联合使用血液生物标志物预测AD痴呆的准确性。基线血p181-tau蛋白是单独预测AD痴呆的最佳血液生物标志物(c-index = 0.731 [95% CI = 0.694;0.768])。模型预测性能提高至0.757 (95% CI = 0.726;0.789)为NfL + p181-tau + Aβ42/40比值组合(c-指数差异= 0.027 [95% CI = 0.010;0.043])。“临床”参考模型(年龄、性别、教育水平、记忆和执行表现)预测AD痴呆风险的c指数= 0.884 (95% CI = 0.862;0.905)。模型预测性能上升至0.899 (95% CI = 0.882;0.917)时,添加血液p181-tau与Aβ42/40比值(c-index差异0.016 [95% CI = 0.006; 0.026]). The “research” reference model (clinical data + ApoE genotype and MRI cortical thickness in AD-signature regions) predicted AD dementia with a c-index = 0.907 (95% CI = 0.888–0.926). Performance increased to 0.917 (95% CI = 0.901; 0.933) when adding blood p181-tau and Aβ42/40 ratio (difference in c-index 0.009 [95% CI = 0.001; 0.018]).
大多数记忆护理中心没有定量容量分析,而是使用视觉萎缩读数,如Scheltens量表。34因此,我们将这种海马萎缩的分级添加到“临床”参考模型中(表3,links.lww.com/WNL/C445).有趣的是,预测性能与“研究”参考模型相似,这表明在这个基于临床的大型队列中,脑MRI评估方法(AD特征区域皮层厚度的定量测量或海马分级)相当于预测AD痴呆风险。
因为可以认为,基线时的临床状态(SCC或MCI)和MCI的性质可以影响生物标志物的预测价值,我们进行了第一次敏感性分析,根据基线CDR (CDR = 0或CDR = 0.5)将分析样本分为2个亚组,并将MCI组分为2个亚组(失忆或非失忆)。在CDR = 0的患者中,血液p181-tau预测AD痴呆的准确性更高(c-index = 0.830 [95% CI = 0.694;0.967])比CDR = 0.5的患者(c-index = 0.697 [95% CI = 0.658;0.737])。然而,在两个亚组中(就像在整个队列中一样),血液生物标志物对包括传统预测因子在内的5年痴呆风险预测模型几乎没有增加(表4,links.lww.com/WNL/C445).关于轻度认知障碍的性质,血液生物标志物在非失忆性轻度认知障碍和失忆性轻度认知障碍中预测痴呆风险是等效的,但临床和研究模型在失忆性轻度认知障碍中表现稍好(表5,links.lww.com/WNL/C445).
为了测试已知影响血液生物标志物浓度的合并症是否会改变我们的研究结果,我们在排除慢性肾脏疾病患者(eGFR<60 mL/min/1.73 m)后进行了相同的统计分析2),我们发现了相同的结果(表6,links.lww.com/WNL/C445).我们还在“临床”和“研究”模型中添加了eGFR和心血管事件史。我们发现模型的预测性能没有实质性变化(表7,links.lww.com/WNL/C445).
最后,我们在脑脊液子样本中运行相同的Cox比例风险模型。“临床”参考模型预测AD痴呆风险的c指数= 0.831 [95% CI = 0.769;0.893]。业绩达到0.856 [95% CI = 0.807;0.856 [95% CI = 0.801;0.911]为最佳的血液生物标志物组合(p181-tau + Aβ42/40比值+ NfL)。“研究”参考模型的c指数为0.858 [95% CI = 0.811-0.904], 0.870 [95% CI = 0.836;0.904], 0.862 [95% CI = 0.818;0.907]加上血p181-tau + Aβ42/40比例+ NfL)。在“研究”参考模型中添加CSF或血液生物标志物均未显著改善其性能(c-指数差异0.011 [95% CI =−0.018;0.040]和0.005 [95% CI =−0.015;分别为0.025])。
讨论
在这项研究中,我们在MEMENTO队列中首次报道了血液AD生物标志物的生物学和临床相关性。在包括脑脊液和血液生物标志物(脑脊液亚样本)的模型中,我们已经证明,在5年随访中,p181-tau和NfL的血液和脑脊液浓度在预测AD痴呆风险方面具有同等的能力。这表明,在记忆诊所首次就诊时,在没有任何关于患者健康或社会人口状况的其他知识的情况下,血液和脑脊液p181-tau和NfL可以互换,以根据患者在未来5年内转化为AD性痴呆的风险对患者进行分层。在这种情况下,血液和脑脊液p181-tau之间的中度相关性不能反映明显的生物学信息35而是用分析前处理的可变性来解释,36脑脊液和血液之间的差异分析性能,这些肽的外周清除,和/或患者的合并症。32,33,37血液Aβ42/40比脑脊液Aβ42/40比预测痴呆转化风险的效率低,这表明外周Aβ生成(在血小板或骨骼肌中)38这仍然阻碍了使用血液样本准确测量大脑中发生的事情。39在我们的研究中,血液总tau与脑脊液总tau无关,也与痴呆事件无关。这与之前的研究结果一致,21,40除了弗雷明汉队列中的1份报告。41脑脊液和血液总tau蛋白浓度之间缺乏相关性可能是由tau蛋白的外周表达所解释的,特别是在肾脏、骨骼肌和乳房(proteinatlas.org).同时,磷酸化的tau蛋白可能是特定的脑病理。
最近基于社区的研究表明,慢性肾脏疾病和心血管合并症对AD血液生物标志物浓度的影响。32,33,37虽然他们可以修改阈值以确定未来的诊断临界值,但有趣的是,我们的研究表明,这些共病并不影响AD痴呆的预测,可能是因为这些共病本身并不是认知能力下降的强预测因素。
在仅包括血液生物标志物的多变量模型中,NfL、p181-tau和Aβ42/40比值与AD痴呆事件显著相关。最佳的预测生物标志物是p181-tau(整个分析样本的c指数= 0.731,基线时CDR = 0的患者的c指数= 0.830)。一项研究的作者在BioFINDER(使用血液p217-tau)和ADNI (p181-tau)队列中进行了类似的分析,发现单独使用p-tau的预测性能接近我们在CDR = 0患者中的发现(AUC分别为0.83和0.78)。这表明BioFINDER和ADNI患者的特征更接近MEMENTO中包含的CDR = 0患者,并且血液p-tau预测痴呆症的准确性可能是“特定阶段的”。我们还可以说,基线时CDR = 0但在5年内发展为AD性痴呆的患者进展迅速,而CDR = 0.5的患者从MCI发展为AD性痴呆的发展更为“常见”。因此,他们的生物学特征可能是不同的,血液中p181-tau浓度高可能是更严重的AD病程的标志,因为它之前被描述为最高脑脊液t-tau浓度。42反过来,在CDR = 0的患者中,MEMENTO中血液p181-tau预测AD痴呆风险的性能更好。
在MEMENTO中,当血液生物标志物与人口统计学、认知表现、ApoE基因型和脑MRI相关时,预测5年AD/混合性痴呆风险的准确性显著提高(c-index = 0.92)。一项研究的作者19发现在4年随访中,与p-tau结合的等效“研究”模型在预测AD痴呆风险方面表现非常相似(根据队列,AUC = 0.92和0.91)。这些发现也在一个较小的MCI临床试验队列中得到了重复,随访3年。43在这些先前的工作中,作者没有报告他们的模型在没有血液p-tau的情况下的性能。然而,在我们的研究中,“临床”和“研究”模型(没有p181-tau)在预测痴呆症方面已经具有很高的准确性(c-index = 0.88和c-index = 0.91)。这表明,在临床和研究环境中,除了已知的预测认知能力下降和痴呆的因素外,血液AD生物标志物可能有非常小的兴趣。在MEMENTO中,与BioFINDER和ADNI中一样,在同一子样本中使用CSF生物标志物而不是血液生物标志物时,预测准确性未观察到显著差异。19
关于我们生物学发现的外部验证,当使用淀粉样蛋白pet来定义脑Aβ病理时,Aβ+参与者的血液Aβ42/40比例下降了16%,根据之前的发现(下降了10%-20%)。7,8,44在血液生物标志物中,与脑淀粉样变相关性最强的是p181-tau (Aβ+参与者相对于Aβ−平均增加63%),这也与之前的研究结果一致。12,45然而,在我们的队列和其他队列中,患有SCC或MCI的Aβ+和Aβ -个体之间的血液p181-tau浓度重叠,这与AD痴呆患者和认知未受损的参与者之间的比较不同。12此外,MEMENTO中血液与脑脊液NfL、p181-tau和Aβ42/40之间的相关性中等(0.32 < r < 0.47)。这些结果是一致的,但在之前报道的较低范围内,35,46,47NfL的相关系数可达0.648p181-tau是0.7。14然而,相关性主要由Aβ病理驱动14或者痴呆状态48在这些研究中。综上所述,这些生物学结果进一步表明,AD血液生物标志物的表现是“特定于阶段的”,因此依赖于队列的选择标准。
除了许多优势之外,我们的研究也有局限性。虽然使用相同的免疫测定方法来测量血液和脑脊液中的NfL,但我们必须承认,使用不同的技术来测量血液和脑脊液中的Aβ肽、p181-tau和总tau,这可能会削弱相关性。此外,商业Simoa-Quanterix测定Aβx-42和β×40而Innotest-Fujirebio检测的是Aβ全长1-42和β1-40在CSF中,已知对大脑更特异性amyloïdosis。49也有人可能会说我们没有使用p217-tau,它的诊断准确率可能比p181-tau略高。17尽管如此,最近对这些生物标志物的直接比较,也比较了不同的测定方法和抗体,没有显示出临床显著差异。9,11另一个局限性在于本研究中使用了不育分布或血液生物标志物浓度的连续测量,而不是定义更适用于临床实践的临界值。未来的研究将需要建立与不同使用环境相关的切分点。50我们也承认,健康的社会决定因素在本研究中没有进行调查,尽管它们可能影响生物标记物的诊断和预测性能。
这些结果为在记忆诊所实施血液生物标记物迈出了重要的一步。24的确,我们的研究结果强化了这样的观点,即血液生物标志物在检测早期AD病理方面与脑脊液标志物一样敏感,但如果单独测量,在预测痴呆症风险方面可能不太准确,在记忆诊所咨询的未选择的参与者中(如脑脊液生物标志物)。然而,在特定的记忆和执行障碍患者(±ApoE4基因型和脑MRI AD特征)中,预测准确性显著提高。这些发现与最近IWG关于AD临床诊断的建议相呼应3.只有具有启发性临床和影像学AD前驱表型的患者才应考虑进行液体生物标志物检测,以在临床实践中提供可靠的建议。
研究资金
MEMENTO队列由波尔多大学医院(协调:CIC1401-EC, Bordeaux)赞助,并通过阿尔茨海默基金会计划(阿尔茨海默计划2008-2012),法国研究和高等教育部(计划疾病Neurodégénératives(2016-2019))的研究拨款资助。MEMENTO队列通过公私合作伙伴关系获得了AVID、GE Healthcare和FUJIREBIO的资金支持。发起者和资助者未参与研究行为、数据分析和解释。
信息披露
F. Blanc是Eisai Delphia (E2027)和Axovant Headway-DLB治疗试验的法国国家协调员;他目前是罗氏研究生治疗试验的法国国家协调员;他曾获得罗氏、卫材和百健口头报告的酬金。O. Godefroy曾担任诺华、华润贝林、Biogen、健赞、礼来、百时美施贵宝、勃林格殷格翰、Covidien、梯瓦Santé和阿斯利康的科学顾问委员会和发言人。其他作者声明,他们与目前的工作没有竞争利益。去首页Neurology.org/N全面披露。
鸣谢
作者感谢波尔多大学医院的工作人员:Bordeaux Biothèques Santé BBS-BRC (C. Cognet)和par - immunology平台(A. Boizard, M. Roy)的技术援助。
附录的作者
脚注
去首页Neurology.org/N全面披露。作者认为相关的资金信息和披露(如果有的话)将在文章末尾提供。
↵*这些作者对这项工作做出了同样的贡献。
文章处理费由作者出资。
提交并经外部同行评审。处理编辑是Brad Worrall,医学博士,硕士,FAAN和Andrea Schneider,医学博士。
CME过程:NPub.org/cmelist
- 收到了2022年5月16日。
- 最终接受2022年9月13日。
- 版权所有©2022由Wolters Kluwer健康公司代表美国神经病学学会出版。首页
这是一篇开放获取的文章,根据创作共用署名-非商业性-非衍生品许可4.0 (CC BY-NC-ND),该网站允许下载和分享论文,前提是论文被正确引用。未经本刊许可,不得以任何方式更改作品或将其用于商业用途。
参考文献
- 1.↵
- 2.↵
- 3.↵
- 4.↵
- PlancheV,
- 恶棍N
- 5.↵
- 6.↵
- 7.↵
- 8.↵
- 9.↵
- Mielke毫米,
- 弗兰克理查德·道金斯,
- 达歌莱托,et al。
- 10.↵
- 11.↵
- Bayoumy年代,
- Verberk世界地图,
- 窝DulkB,et al。
- 12.↵
- 13.↵
- 14.↵
- 15.↵
- 16.↵
- 17.↵
- 18.↵
- 19.↵
- Palmqvist年代,
- TidemanP,
- 卡伦N,et al。
- 20.↵
- 卡伦数控,
- Leuzy一个,
- Palmqvist年代,et al。
- 21.↵
- 22.↵
- 23.↵
- 彼得森钢筋混凝土
- 24.↵
- 25.↵
- 26.↵
- PlancheV,
- BouteloupV,
- 曼京肯尼迪,et al。
- 27.↵
- 28.↵
- 29.↵
- OpertoG,
- Chupin米,
- BatrancourtB,et al。
- 30.↵
- 31.↵
- 32.↵
- 他SE,
- 彼得森米,
- 大厅J,
- 约翰逊拉
- 33.↵
- Mielke毫米,
- 达歌莱托,
- 弗兰克理查德·道金斯,et al。
- 34.↵
- 35.↵
- OssenkoppeleR,
- ReimandJ,
- 史密斯R,et al。
- 36.↵
- Jonaitis新兴市场,
- ZetterbergH,
- KoscikRL,et al。
- 37.↵
- Syrjanen晶澳,
- 坎贝尔先生,
- Algeciras-Schimnich一个,et al。
- 38.↵
- 39.↵
- 40.↵
- 标志着JD,
- Syrjanen晶澳,
- Graff-RadfordJ,et al。
- 41.↵
- 请进国会议员,
- Beiser作为,
- HimaliJJ,et al。
- 42.↵
- 贡纳尔松Degerman勇于承担who重任米,
- Ingelsson米,
- BlennowK,
- BasunH,
- Lannfeltl,
- Kilanderl
- 43.↵
- Pichet Binette一个,
- Palmqvist年代,
- 巴厘岛D,et al。
- 44.↵
- 45.↵
- TosunD,
- 维奇D,
- 爱森P,et al。
- 46.↵
- 47.↵
- TeunissenCE,
- 赵m j,
- 杨碳碳,et al。
- 48.↵
- 49.↵
- Thijssen嗯,
- Verberk世界地图,
- VanbrabantJ,et al。
- 50.↵
- 汉森O,
- EdelmayerRM,
- 拳击手艾尔,et al。
信件:快速在线通信
需求
如果你要上传关于文章的信件:
您必须在六个月内更新您的披露:http://submit.首页neurology.org
您的合著者必须发送一份完整的出版协议表格来首页(对于主要/通讯作者不需要填写以下表格即可),然后再上传您的评论。
如果你在回复一篇关于你最初撰写的文章的评论:
您(和共同作者)不需要填写表格或检查披露,因为作者表格仍然有效
并适用于信件。
提交规格:
- 文章必须少于200字,参考文献少于5篇。参考文献1必须是你所评论的文章。
- 投稿者不得超过5人。(例外:原作者回复可以包括文章的所有原作者)
- 只可提交发稿日起6个月内发表的文章。
- 不要冗余。在提交之前阅读文章上已经发布的任何评论。
- 提交的意见在发表前须经过编辑和编辑审查。


