TNF中和在女士
结果随机、安慰剂对照的多中心研究
文摘
摘要目的:双盲,安慰剂对照第二阶段研究的168名患者,大多数女士与复发缓和,评估lenercept是否会减少新病变MRI。
背景:肿瘤坏死因子(TNF)与病机女士,女士已被确定在活跃的病变,是有毒的少突胶质细胞体外,恶化的严重程度在动物身上实验变态反应性脑脊髓炎(运算单元)。Lenercept,重组TNF受体过去免疫球蛋白融合蛋白(sTNFR-IgG过去,防止运算单元。
方法:患者接受10、50或100毫克的lenercept每4周或安慰剂IV 48周。核磁共振扫描和临床评估进行筛选,在基线,然后每4周(前剂量)通过研究24周。
结果:组间没有明显差异在任何核磁共振研究措施,但lenercept-treated患者出现急性加重的数量显著增加而接受安慰剂的病人(p= 0.007)和急性加重(早些时候发生p= 0.006)。神经赤字往往是更严重的lenercept治疗组,虽然这并不影响扩大残疾状态量表分数。Anti-lenercept抗体存在大量的治疗的患者;血清lenercept槽浓度检测只有三分之一。不良事件频率增加患者治疗包括头痛、恶心、腹痛、和潮热。
结论:Lenercept失败是有益的,但了解肿瘤坏死因子在急性加重女士获得了的角色。
女士被认为是中枢神经系统的炎症性自身免疫性疾病与未知的髓磷脂组件作为目标。大量的研究结果表明,肿瘤坏死因子(TNF)有助于传播女士的炎症反应和组织损伤解剖标本,TNF在活跃的疫源地女士已经证明。1肿瘤坏死因子已被证明有直接毒性作用对少突胶质细胞和proliferation-inducing影响星形胶质细胞在体外研究。2,3MS患者,肿瘤坏死因子水平升高的血清和CSF与疾病相关的一些研究进展。4,5从医学患者血液单核细胞,研究一个恶化之前,分泌大量的肿瘤坏死因子的反应比其他时候有丝分裂原刺激。6血液单核细胞活动性疾病患者女士比细胞表达高水平的肿瘤坏死因子mRNA MS患者稳定的疾病或健康对照组。7,8
实验性自身免疫性脑脊髓炎的研究)(实验性自身免疫性脑脊髓炎女士发病机理有深刻的看法。运算单元是一种自身免疫性疾病,病理特征很容易让人想起那些女士在TNF治疗,恶化实验性自身免疫性脑脊髓炎9和TNF中和anti-TNF抗体治疗持续保护动物免受运算单元。10- - - - - -12同样,TNF lenercept捕获,TNFαreceptor-immunoglobulin G(免疫球蛋白)1融合蛋白,保护运算单元。13以上表明TNF促炎介质和功能在实验性自身免疫性脑脊髓炎表明TNF损耗可能会保护女士的假设中和TNF可能减少或停止女士进展评估在二期随机、多中心、安慰剂对照研究的三个剂量的lenercept (sTNFR-IgG过去。Lenercept是二聚的重组蛋白质分子由两个副本的55 kDa TNF受体细胞外域融合人类免疫球蛋白IgG1重链的一个片段。14,15依照最近发表建议,功效是通过MRI评估。16
方法。
病人。
共有168名患者临床明确或实验室支持定女士参与了一项双盲,安慰剂对照研究。该研究机构审查委员会批准参与中心,所有受试者知情同意。在招生,患者年龄在18岁至55岁的和有一个扩大残疾状态量表(eds)评分≤5.5。患者一个eds评分≤3,仅限于女士的历史最高10年时间。所有患者至少有两个前2年内发作,但临床稳定前4周筛查MRI和筛选和研究的4周期间条目。除了糖皮质激素,之前政府的代理与假定的影响(包括干扰素、环磷酰胺、或咪唑硫嘌呤)女士导致排斥。用糖皮质激素治疗是不允许在四周内筛选访问之前或之间的筛查和基线。其他排除标准包括的诊断主要进步女士和无法接受MRI扫描。治疗随机列表块(四个病人/块)是计算机生成的罗氏公司(瑞士巴塞尔)为每一个调查网站。在随机化研究的开展,是只提供给安全审查委员会(SRB)成员(见下文)。 A limited number of Roche staff were unblinded at the time of the first analysis of efficacy as defined in the protocol. On study termination, each investigational site was provided with the site-specific randomization code.
符合条件的患者被随机分配到10、50或100毫克的lenercept或安慰剂,管理第四每4周。研究持续时间是48周,包括24周的双盲治疗期和24周随访期间。168名患者随机分配到治疗的一个病人(随机安慰剂)基线访问之前被确认为不合格的;这个病人没有接受治疗,有一个基线MRI扫描,或者换取随访。167名患者接受了治疗,治疗和研究合规程序非常好。在第一个24周,99%(991/1002)的疫苗接种计划和98%(1303/1336)的MRI扫描设置进行。
在随访期间(研究周25-48),病人可以继续双盲治疗在自愿的基础上,130年当选。那些选择不继续治疗的病人仍在研究随访intent-to-treat基础上。完整的学习时间,10剂量(中位数)管理到每个治疗组。
为了安全目的,三组16例参加ascending-dose设计约六周的时间间隔。第一组是随机安慰剂或10毫克的lenercept而随后军团随机安慰剂或50毫克最后lenercept安慰剂或100毫克。一个独立SRB评估选取研究数据在每个剂量升级时提升剂量研究的阶段。这些评估后,剩余的患者。国储局审核数据每隔3个月整个研究。本文包括核磁共振安全数据但不包括核磁共振的检查效果的数据。
磁共振成像。
根据预定义的核磁共振扫描进行核磁共振成像协议在筛选,基线,每4周(每剂之前)在第一个24周的研究共有八个扫描时间点。在每个时间点,三个扫描切片厚度为5毫米得到:1)质子密度/ t2加权扫描,2)t1 unenhanced扫描,3)t1钆(Gd)之二扫描5分钟后Gd-DTPA 0.1更易/公斤。根据前瞻性地定义所有扫描分析了核磁共振分析计划由哥伦比亚大学女士/核磁共振分析组在温哥华,加拿大。比较后的MRI随访扫描的扫描之前,新活动的数量通过加法,确定病变复发,或扩大T2病灶,Gd-enhancing新发或复发病灶。新活动病变T1增强扫描和识别T2扫描被算作单独的病变。主要疗效测量新活性损伤的累积数量确认了六个治疗扫描。定义新、复发和扩大病变已报告。17,18持续加强或扩大病变分别确认为病变持续活跃,一个次要的功效。通过这种方式,新的病变可以很容易地与其他类型的活动。其他次要疗效措施包括积极的百分比扫描,定义为扫描的比例与一个或多个新活跃的损伤,疾病负担,这是评估报告之前,在基线,在24周。17,1,8疾病负担由列出每个女士损伤识别在t2加权MRI扫描。这些地区是一片一片总结总损伤面积记录为毫米3。此外,Gd-enhancing病变的总数(安全措施)计算为每个病人在每个扫描时间点在一个正在进行的基础上允许MRI数据被国储局审查。
临床评估。
基线访问,每4周之后的第一个24周,被历史,物理和神经系统检查,不良事件。研究药物管理在每个访问。患者被鼓励来额外的访问应该加重发生之间的互访。第二个24周期间,两个正式访问计划在36周,48。只要有可能,退出治疗的患者被要求继续研究过程包括所有核磁共振扫描。
临床的端点。
发作被定义为一个新的迹象或症状的出现或恶化的迹象或症状归因于女士,持续至少24小时没有发烧,和之前一段时期的稳定的28天。一个恶化被认为已经结束时症状和体征已经开始改善。对于那些患者长期赤字,稳定的28天期的第一天作为攻击的结束。神经评定量表(NRS)19完成每一次的神经系统检查。女士和其他临床试验,NRS评分下降15分以上被认为反映了一个严重的病人的神经功能状态的变化,而下降8 - 14或1 - 7点被认为是反映中度或轻度改变,分别。17,20.0分的差异分为没有变化;增加分数作为一个改善。Kurtzke eds推荐21得分在筛查和神经学家在24和48周的研究。在120/167(72%)的患者,eds在所有时间点执行了相同的神经学家。
按照协议,首先分析进行毕竟患者完成了24周的双盲治疗和毕竟核磁共振扫描被评估。增加lenercept-treated患者恶化率表示。这一发现导致了赞助商决定终止学习和释放处理代码。所有研究药物管理局迅速停止,最后一次访问之后,数据收集被停止。出于这个原因,通过48周的研究数据是不完整的。然而,通过48周的随访期间,在所有治疗组相似。
药代动力学/动态参数。
在基线和血清样本获得的剂量每4周24周,研究周36和48。的浓度lenercept lenercept是抗体的滴度和确定。所有的样品都集中分析。Lenercept浓度测定采用酶联免疫和生物绑定试验(ELIBA)由罗氏公司(瑞士巴塞尔Hoffmann-LaRoche有限公司);抗体lenercept被确定通过双抗原抗体测试。和样品检测anti-lenercept抗体进一步评估来确定抗体的中和潜力(Medi-Lab, Medicinsk公司/ S,哥本哈根,丹麦)。
自身抗体。
血清样本获得的基线和研究周24和48和化验IgM-rheumatoid因素(RF),抗核抗体(ANA)(玫瑰2),和dsDNA抗体(DAKO;Carpinteria, CA)在一个中心实验室(a . Wiik史坦顿Seruminstitut哥本哈根,丹麦)。
统计分析。
新活动病变的累积数量与一个封闭测试程序测试基于方差分析(方差分析)Ln (x + 1)转换的病变。协议要求的分析主要疗效标准进行归责后病变的平均数量在一个特定的时间点,以弥补缺失的值在那个时间点。1008年的预期值,34人失踪,导致数据归责如上所述。这个分析的结果没有显示出差异治疗组(p= 0.417)或对治疗组之间。数据归责不执行本文提供的分析。
封闭测试程序,基于方差分析的因素“治疗”Ln (1 + x) x表示累积数量的新活跃的病变,是用来比较的累积数量新积极治疗组之间的病变。关闭测试程序第一次被用于比较的方法在所有四个治疗组(全球测试)22;然后,比较意味着在所有组合的三四个治疗组;最后,比较的方法每个lenercept治疗组与安慰剂组。比较,F测试同时进行显著性水平(α= 0.05);然而,调整p值提供。治疗组的意思是被认为是明显不同于安慰剂组当所有的比较,包括相关的两个治疗组的结果p值≤0.05;即。,the adjustedp值是最大的p这些比较的值。程序停止早期如果全球测试是无意义的。这个过程保证了多个α= 0.05。上面所述的封闭测试过程也被用来评估病变的累积数量持续活跃。使用描述性方法中心的影响进行评估。
克鲁斯卡尔-沃利斯检验是用来比较均值eds分数的变化,改变的疾病负担,活跃的百分比扫描。MRI活动评估基线失衡的影响在治疗组中,协方差分析使用相应的改变基线进行了MRI值作为协变量。
生存分析方法(kaplan meier估计;即。,product-limit estimates and logrank tests)23首先被应用于分析时间恶化和发作的持续时间,因为在观察期结束审查。Logrank测试,Bonferroni调整的显著性水平(α= 0.017),用于多个比较三国lenercept治疗和安慰剂治疗kaplan meier曲线。作为一个恶化时间只能观察到的恶化,我们的条件分布调查他们的持续时间。检查后恶化的数据,我们认为根据安德森和吉尔计票过程模型24与独立增量,因为这个过程是缓慢的。出于同样的原因,恶化的持续时间被认为是独立和内病人和病人之间的恒等分布的病人一个以上的恶化。
用卡方检验来评估患者的数量不,一个,两个,三个或四个发作在每个治疗组治疗24周后最后的研究(通过48周)。因为小频率的一些细胞,桌子被倒塌的计数,没有发作,让患者有效卡方检验。多个比较未经调整的p值应该比Bonferroni调整α为0.017(0.05÷3)。卡方测试也用于评估评分量表和射频的速度或安娜在治疗组。Cox回归分析进行评估发作的潜在发生的预测因素。可用的数据和分析所有数据,即。,through week 48, unless otherwise stated in the text or tables. Two-tailed analyses were used throughout.
结果。
图1描述了试验资料。治疗组类似的条目在所有基线疾病特点和人口表1)。协议允许入学复发缓和和次要进步的病人,从4到10例继发性进展患者参加每组(见表1)。Prestudy MRI特征同样比较治疗组(表2)虽然是一个趋势(无意义的)lenercept高剂量组有更多的核磁共振活动(中位数)。
核磁共振的结果。
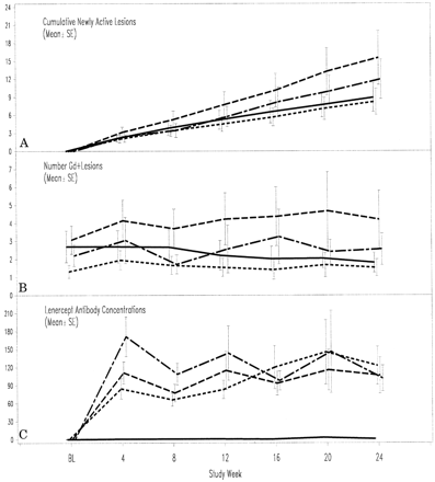
累积的结果数量的新活动MRI病变,病变的比例持续活跃,活跃的百分比扫描,和疾病负担的变化超过24周的治疗所示图2和表3。治疗组之间没有明显差异的措施。分析结果的主要功效标准根据协议规范是这里提出类似。由于倾向于更高的活动在高剂量组(见基线表2使用对应的转换),协方差分析基线MRI值作为协变量进行,但这些,也未能显示团体之间的显著差异。
图2。(数量)的累积新活动病变由核磁共振(见方法)的前24周lenercept审判女士:安慰剂- - -,lenercept 10毫克- - - - - - - -,lenercept 50毫克- - - - - - - -,lenercept 100毫克- - - - - - - -。垂直酒吧提供的标准误差在4周的间隔进行了核磁共振扫描。(B)的平均数量钆(Gd)阳性病变每4周第一个24周的审判。垂直酒吧给标准误差。(C)意味着每隔4周anti-lenercept抗体滴度。
临床的端点。
急性加重。
急性加重患者的数量通过研究周星期24和48个都增加lenercept组与安慰剂治疗组相比所示表4。一个中心效应并不存在。在整个研究期间,总共36发作在38岁的病人服用安慰剂与57岁和49发作病人服用10,50和100毫克的lenercept分别。恶化时间lenercept治疗会增加的趋势,但这尚不具备统计学意义(见表4)。这个评估仅限于急性加重的第一个24周内发病日期研究恶化决议的日期是在4加重每个治疗组(一个)。
恶化率。
与安慰剂治疗的患者的整体恶化率大约是一个恶化/耐心/年(预期安慰剂)。安慰剂的恶化率增加率为2%,68%,50%,患者lenercept 10的剂量,50和100毫克(见表4)。控制可能影响治疗组之间的不平等的随访的病人,恶化率被四周的时间间隔确定每个治疗组。然后四周均值恶化率转换年度利率了表4。
有剂量依赖性减少时间先恶化所示图3(logrank测试:全球,p= 0.0006;10毫克和安慰剂,p= 0.498;50毫克和安慰剂,p= 0.0006;100毫克和安慰剂,p= 0.006)。未经调整的比较p值50和100毫克的lenercept仍为上述重要当Bonferroni调整(α为0.017,也就是说。0.05÷3)。
图3。剩余的患者比例恶化免费的lenercept审判女士:安慰剂- - -,lenercept 10毫克- - - - - - - -,lenercept 50毫克- - - - - - - -,lenercept 100毫克- - - - - - - -。的时候终止对个体病人显示为垂直的酒吧。
发作的严重程度评估间接通过计算之间的区别的最佳预处理NRS评分(最高价值在基线或筛选)和最糟糕的分数记录在任何时间在研究过程中,即通过48周。尽管趋势增加可以感知严重性lenercept治疗(表5),这种差异没有达到统计学意义。
发作似乎没有更频繁地发生之前或之后立即研究药品监督管理局,但这可能反映了不超过确定的困难恶化发病日期与精度。
预测急性加重。
Cox回归。下面没有被确认为发作的预测:年龄、性别、类别,女士的发作前2年内研究中,基线eds分数,或者基线数量的新活跃的病变。
eds。
之间没有eds分数变化差异治疗组治疗24周后或在最后评估(表5)。在安慰剂组百分之六十七的患者报告新的或恶化症状女士在研究过程中这一比例为77%,90%,和93%的患者lenercept在10 - 50 - 100毫克剂量组,分别。症状的频率增加或严重性lenercept治疗包括感官投诉,肢体无力、视力障碍、疲劳、眩晕和痉挛(表6)。
安全。
六个退出治疗的患者在研究过程中不良事件的结果。在安慰剂组患者抑郁症恶化;发展皮疹第一次注射后退出了两个病人,一个10毫克剂量组,另一个在100毫克剂量组。另外三个病人退出了100毫克剂量组,一个由于发生瞬态集冲洗、呼吸困难、第五剂量和两个后,胃痛,因为exacerbation-related症状第五和第七剂量后,分别。百分之九十五的患者治疗与安慰剂组至少有一个不良事件报告为87%,90%,和95%的患者,50和100毫克的lenercept分别。不良事件的频率增加,积极治疗包括头痛、潮热、恶心、腹痛(见表6)。呼吸困难与政府相关的瞬态集lenercept 50和100毫克的剂量发生在六名病人。
实验室。
射频(IgM)和安娜在1%(2/162)和20%(33/161)的患者在基线,分别。在研究过程中,五个病人积极开发IgM-RF(所有lenercept治疗组)和15例发达安娜,接收lenercept 14人。一个病人lenercept发达两个抗体。因此,新出现的射频或安娜更频繁lenercept-treated比接受安慰剂的患者(18/124和1/43;卡方p= 0.03)。类风湿性关节炎的临床表现或全身性红斑红斑的没有观察到,一直和dsDNA负面的所有患者在发现安娜积极性。
总血清IgM lenercept-treated患者的剂量依赖性的方式增加了24周的治疗后平均0.6,0.9,和1.0 g / L, 10 - 50 - 100毫克剂量组。对那些病人尘世间100毫克剂量组治疗24周,平均增长达到1.2 g / L。总血清免疫球蛋白含量平均增加了0.5 g / L在24周治疗的患者接受100毫克的lenercept;对于那些仍在治疗的患者在100毫克剂量组,增加最终达到1.2 g / L。血清免疫球蛋白含量没有增加其他组。
药物动力学。
槽血清浓度lenercept在只有三分之一的病人检测各剂量组和倾向于与anti-lenercept抗体概要文件。因此,病人没有抗体持续检测lenercept槽血清浓度,而患者高抗体浓度一直察觉槽水平。lenercept抗体浓度大于20 ng / mL,由double-antigen筛选试验,发现在大多数患者在治疗(5%(2/43)的患者在服用安慰剂,相比之下,98%(43/44),88%(35/40)和100%(40/40)的患者在10 - 50 - 100毫克剂量组,分别)。因病人的抗体浓度差异很大,随着时间的推移;一般来说,存在剂量依赖的相关性峰值发生在第一次剂量,紧随其后的是一个相对稳定的水平,持续只要病人继续接收lenercept(见图2)。
讨论。
Lenercept治疗在这里的第二阶段研究报告增加,攻击频率。也有建议lenercept增加攻击持续时间和恶化攻击严重性判断的程度的变化关系,指出。lenercept效果更明显的两大剂量使用(50和100毫克)比最低剂量(10毫克)。攻击频率的增加在lenercept-treated病人药物和坚持在第一个月期间药物。治疗效果的大小在发作可能是有偏见的,因为审判是提前停止。我们认为这可能是第二个24周研究期间的结果符合那些在第一个24周。
尽管lenercept看似有害的临床疗效,治疗组之间没有显著差异是著名的恶化的eds得分。而攻击的频率和后续发展残疾女士在大病人相关系列研究多年,没有这种相关性在当前的研究中指出的那样,也许是因为相对不敏感的eds和提示停止临时监控后的研究分析。
重要的是要记住,目前的研究表明积极的治疗效果,结果必须是在第二次试验中进行验证。谨慎地使用类似的谨慎适用于有害的临床效果指出在当前试验,特别是在看似不和谐的磁共振成像的数据视图。使谨慎合理地得出这样的结论:lenercept女士可能是禁忌在内部一致性的基础上本文提供的临床结果和弯曲的结果初步研究的两个病人管理人性化单克隆抗体anti-TNF老鼠。2,5之间的离解看到显著增加临床活动,在最好的情况下,一个轻微的增加趋势MRI-measured活动令人惊讶。这可能是由于缺乏一个健壮的MRI与临床结果之间的相关性,虽然人们普遍认为MRI改变,特别是新活跃的病变,敏感疾病活动的措施。在最近的研究中,超过90%的新活性损伤测量Gd-enhancing,反映血脑屏障(BBB)通透性增强。迄今为止,减少Gd-enhancing MRI病灶已被证明是相关的明确的临床益处只有β干扰素。
TNF中和可以增强中枢神经系统炎症过程不影响BBB通透性?如果这样的发生,我们选择新活跃的MRI病灶作为本研究的测量结果可能已经不适合这个特殊药物的评估。另外,未能证明其MRI活动的增加可能取决于技术因素。核磁共振扫描在当前试验剂量之前被立即获得;即。,4weeks after the preceding dose. In two MS patients treated with anti-TNF antibody, increased numbers of Gd-enhancing lesions were observed shortly after drug administration, with return to baseline within 2 to 3 weeks.25有类似的早期MRI活动和临时增加发生在当前的审判,它就不会被发现。
选择MRI的端点为治疗研究的小说在女士代理可能需要单独确定的代理。这可能需要药物的影响的调查在MRI动态几天或几周作为协议设计的第二阶段研究。小说完全由治疗人员评估目前建议核磁共振方法可能被视为惰性即使与有害的临床效果,似乎在这个研究。同样可以保持有益的影响。该研究警告,过于宽泛解释的MRI结果缺乏确凿的临床资料。
运算单元被广泛使用的动物模型和女士被认为至少需要一些相同的通路组织损伤和Lenercept女士一再显示各运算单元协议有效的预防和治疗效果13结果并不因此实验性自身免疫性脑脊髓炎女士最近lenercept预测的影响,据报道在老鼠身上缺乏非常地严重实验性自身免疫性脑脊髓炎TNF与髓少突细胞糖蛋白免疫接种后,26模型结果表明即使在实验性自身免疫性脑脊髓炎可能不同,这取决于该模型系统。
lenercept失败的原因是未知的;可能涉及到一些房地产独特lenercept分子独立TNF的中和能力。抗体lenercept发展迅速大量的病人接受它,尽管抗体中和TNF不绑定,加速药物的消除。此外,lenercept包含Fc-like免疫球蛋白的一部分。可想而知,免疫复合物的形成和Fc受体激活淋巴细胞可能有一个角色在提高炎症过程。
也许lenercept失败是因为TNF中和缺陷的理由。符合这个配方是一项研究的结果两个患者后快速进行性活动增加的女士指出政府anti-TNF抗体。25细胞因子是多向性的因素和行为在一个复杂的网络。TNF的某些行为可能被视为促炎和其他抗炎;后者可能导致“关闭”信号,如果女士的开/关平衡TNF-mediated信号相关的女士,然后切除肿瘤坏死因子,与普遍的看法相反,加强疾病。干扰素(IFN) -γ政府引起女士的攻击。27肿瘤坏死因子诱导白介素(IL) -10和前列腺素E2生产和这些代理共同抑制白介素生产,因此,IFN-γ生产。28因此,机制可能存在的TNF堵塞可以增加那些有助于MS发病的免疫反应。
虽然在女士lenercept失败,并减少类风湿关节炎的症状和体征在第二阶段的研究。29日这一发现表明最后的警告。代理,演示了一个有益的影响在一个自身免疫性疾病不应该在另一个有利影响。
附录
多发性硬化症研究小组:Lenercept多发性硬化症研究小组由以下参与机构、主要研究者(斜体),和调查团队(由主要研究者按字母顺序排列;团队成员按字母顺序排列)。
芝加哥大学,IL):B.G.W.阿纳森博士;g . Jacobs RN;m . Hanlon RN;b·哈丁粘土;马里兰州A.B.C.诺罗尼亚健康科学中心和Misericordia总医院(温尼伯):答:风光,妈,BM, BCh;b·戴维斯BN;a . Nath医院。'Enfant-Jesus(魁北克市,魁北克):摩根大通(J.P.布沙尔博士FRCPC;c . Belanger博士FRCPC;f . Gosselin RN;m·蒂博医学博士FRCPC。圣母院医院(蒙特利尔,魁北克):p . Duquette博士FRCPC;p . Bourgoin博士FRCPC;RN r·杜布瓦;m·吉拉德,MD, FRCPC。大学医院(伦敦、安大略省):G.C.埃伯斯博士FRCPC;成绩大米,MD, FRCPC;抗议Vandervoort、BscN MSCN。蒙特利尔神经学研究所(蒙特利尔,魁北克):9弗朗西斯博士;邓肯博士;y拉皮埃尔。渥太华总医院(安大略省渥太华):硕士弗里德曼博士FRCPC (C);S.N.克里斯蒂博士FRCPC (C);阁下因博士FRCP (C)。山麓医院(卡尔加里,阿尔伯塔省):L.M.梅茨博士FRCPC;d(医学博士,FRCPC;W.F.墨菲博士FRCPC;s .彼得斯BN;麦吉尼斯,时任锰。新斯科舍省的省会城市哈利法克斯达尔豪斯女士研究单位():T.J. Murray博士;诉Bhan博士;石球Maxner博士;r·范Dorpe。英属哥伦比亚大学(英属哥伦比亚温哥华):J.J.奥格博士FRCPC;j·尼尔森,RN;w·莫里森,RN;n妖怪;美国比尔博士;g . Vorobeychick。f . Hoffmann-LaRoche有限公司巴塞尔瑞士:答:瓦莱丽Hiltbrunner医学博士,英里/小时;j .烈性黑啤酒Habil博士;w . Lesslauer。英属哥伦比亚大学的女士/核磁共振分析组:D.K.B. Li博士FRCPC;马里兰州D.W.徽章;G.-J。赵,MD。出版委员会:董事长B.G.W.阿纳森博士;9弗朗西斯博士联合主席;G.C.埃伯斯博士;T.J. Murray博士;马里兰州D.W.徽章;A.V. Hiltbrunner博士;Habil博士j .烈性黑啤酒。
确认
承认
作者感谢玛德琳墨菲社论援助和打字手稿。
脚注
- 收到了1998年9月11日。
- 接受1999年4月8日。
引用
信:快速的网络通信
你可能也会感兴趣
提醒我
推荐的文章
- 文章
核磁共振结果的安慰剂对照试验natalizumab复发d·d·h·米勒很快,k . t .费尔南多et al。
首页神经学,2007年4月23日 - 文章
第二阶段研究的安全性和有效性teriflunomide多发性硬化复发p·w·奥康纳m . s . d . Li弗里德曼等。
首页神经学,2006年3月27日 - 文章
Ibudilast复发缓和多发性硬化neuroprotectant吗?
f . Barkhof Hulst阁下,j . Drulovićet al。
首页神经学,2010年3月3日 - 文章
在多发性硬化症发病机理的髓磷脂/少突细胞损害Suhayl Dhib-Jalbut et al。
首页神经学,2007年6月04


