白质的完整性和镰状细胞性贫血的处理速度
做出评论
看到评论
文摘
客观的本回顾性横断面研究的目的是调查是否改变白质完整性相关处理速度放缓镰状细胞性贫血。
方法37沉默的脑梗死患者,46岁正常MRI,患者和32兄弟控制(年龄范围8-37年)进行认知评估使用韦氏量表和3-tesla MRI。Tract-based空间统计分析扩散张量成像(DTI)和神经突方向色散和密度成像(NODDI)参数进行。
结果处理速度指数(PSI)在病人比对照组低9.34点(95%置信区间:4.635 - -14.855,p= 0.0003)。全面智商低了4.14扩展点(95%置信区间:1.066−9.551,p= 0.1),但这种差异被废除当ψ是包括作为协变量(p= 0.18)。没有认知差异和不沉默的脑梗死患者,两组较低比控制(包括PSIp< 0.001)。病人动脉氧含量,社会经济地位,年龄,和男性被当成PSI的预测因子,和之间的相关性被发现PSI和DTI标量(分数各向异性r= 0.614,p< 0.00001;r=−0.457,p< 0.00001;意思是扩散系数r=−0.341,p= 0.0016;径向扩散系数r=−0.457,p< 0.00001)和NODDI参数(细胞内的体积分数r= 0.364,p在广泛地区= 0.0007)。
结论我们的结果损伤的扩展先前的报道,独立于梗死和随着年龄的增长可能会恶化。我们确定了处理速度脆弱域,赤字可能在其他领域协调困难,并提供证据表明,减少处理速度与正常白质的完整性使用从DTI和NODDI微观结构参数。
术语表
- 曹2 =
- 动脉氧含量;
- 贸易工业部=
- 扩散张量成像;
- 足总=
- 分数各向异性;
- 天赋=
- fluid-attenuated反转恢复;
- FSIQ=
- 全面的智商;
- 目前=
- FMRIB的软件库;
- ICVF=
- 细胞内的体积分数;
- 医学博士=
- 意思是扩散系数;
- NODDI=
- 神经突方向色散和密度成像;
- 海外开发=
- 定向扩散指数;
- 酸盐=
- 预防镰状细胞病的发病率;
- ψ=
- 处理速度指数;
- 理查德·道金斯=
- 径向扩散系数;
- 囊=
- 睡眠和哮喘队列随访研究;
- SCA=
- 镰状细胞性贫血;
- SCI=
- 沉默的脑梗死;
- SES=
- 社会经济地位;
- Spo 2 =
- 白天的血氧饱和度;
- TE=
- 回声的时间;
- TR=
- 重复的时间;
- 极冰原=
- 韦氏成人智力量表;
- WASI=
- 韦氏缩写情报的规模;
- 威斯=
- 韦氏儿童智力量表
即使没有沉默的脑梗死(SCI),镰状细胞性贫血(SCA)患者认知障碍的风险随着年龄的增长可能会恶化1,2并影响生活质量。3降低处理速度是最突出的障碍4并且可能在其他领域协调困难,5但病因还不清楚,没有风险因素的模型。
MRI显示血流动力学研究6,- - - - - -,11和结构异常12,- - - - - -,14这可能是认知障碍的基础。扩散张量成像(DTI)的研究报道普遍减少分数各向异性(FA)和增加径向扩散系数(RD)。15,- - - - - -,17扩散变化与血氧饱和度下降和贫血15,可能与降低处理速度,但功能后果还有待调查。
唯一的限制是,参数不是特定于特定微观结构元素的白质。神经突方向色散和密度成像(NODDI)18可能提供更多的敏感性和特异性模型变化的光纤色散(方向色散指数(ODI))以及组织微观结构的密度(细胞内体积分数[ICVF])。NODDI已成功应用于典型的研究发展19,20.人口和临床21但尚未在SCA中。
在目前的研究中,我们旨在(1)调查处理速度差异SCA,患者按SCI,分组和控制;(2)探索处理速度的影响一般智力和赤字的潜在风险因素;和之间的关系(3)检查DTI NODDI-derived白质微结构和处理速度的指标。
方法
病人
8 - 38岁的患者和2进入伦敦大学学院的研究:睡眠和哮喘队列随访研究(SAC-III)22和预防发病率在SCA中2 b酸盐)23基线调查。控制是健康的兄弟姐妹的病人招募研究没有历史的神经或精神疾病。参与者招募和评估在2015年到2016年之间。患者囊和酸盐研究参与的资格,如果他们接受夜间呼吸支持招生的时候,参与临床试验评估输血或氧气疗法,或有慢性肺部疾病(哮喘)或现有的呼吸衰竭。额外酸盐研究的排除标准住院急性镰刀并发症在入学1个月,超过6住院急性镰刀并发症在12个月内登记,一夜之间血氧定量法显示的意思是隔夜饱和度小于90%的总睡眠时间的30%以上,严重的睡眠呼吸暂停症定义为4%血氧饱和度下降指数> 15 /小时,和慢性输血或输液3个月内登记。囊的研究中,患者登记不考虑过去的镰状,或睡眠相关的发病率或输血状态。
标准协议的审批、登记和病人同意
伦理批准被授予伦敦西部和南约克郡研究伦理委员会,分别。充分知情同意和同意根据赫尔辛基宣言是来自参与者和儿童从他们的家长/监护人。
认知变量
全面智商(FSIQ)是衡量使用韦氏缩写智力量表(WASI-II内部氧化物智商;酸盐的患者)、韦氏儿童智力量表(WISC-IV;囊的病人和控制以下16年),或者是韦氏成人智力量表(WAIS-IV;囊的病人和控制16岁或以上)。处理速度指数(PSI)源自WISC-IV或WAIS-IV使用搜索子编码和象征。版本之间的强相关性已经被证明(WASI /极冰原/有关)和儿童和成人之间的版本(韦氏/极冰原),证明其包含相同的分析。24,25评估被培训评估(J.M.K. double-scored纳瑞雅南,H.S.,P。B。) that were blinded to disease status. In the event of disagreement or ambiguity, the opinion of a third assessor was sought.
社会经济变量
教育等分得到来自英国邮政编码提供一个索引的社会经济地位(SES)。26这种规模的捕捉素养和技能在当地地区基于几个指标:在公立学校学生的平均成绩在7 - 11和14 - 16岁,缺席公立中学,的人口比例保持在16年教育/培训后,进入高等教育工作的成年人比例无/低学历和语言能力。总分排名从1到10,1代表最贫穷。
血液变量
稳态血红蛋白从病人病历记录使用全血在最近的6个月的认知测试。动脉氧含量(Cao2)计算:
血氧饱和度(Sp吗o2)估计脉搏血氧仪在认知测试(SAC)或基线诊所访问(盐),和po2氧的分压,被认为是100年室内空气托。
MRI收购
成像在2周内进行认知评估的3 t西门子棱镜(德国埃朗根)和80吨/ m梯度线圈和64频道接收头。核磁共振成像协议包括轴向t2加权(重复时间(TR) = 8420毫秒(女士),回波时间(TE) = 68毫秒,体素的大小= 0.51×0.51×5.6毫米),fluid-attenuated反转恢复(天赋)(TR = 5000毫秒,TE = 395毫秒,体素的大小= 0.65×1×0.65毫米),和diffusion-weighted (TR = 3050毫秒,TE = 60 ms, 2壳在b = 1000 s /毫米2和b = 2200 s /毫米213交错b = 0图像体素的大小= 2×2×2毫米)序列。neuroradiologist(科学博士),失明疾病状态,阅读每个参与者的MRI和分类根据标准SCI hyperintensity的天赋超过3毫米直径和现在的飞机,2日至于沉默梗死输血试验。27
核磁共振成像处理
使用拖拉机3.0.7扩散图像预处理28和目前5.0.1。29日图像是视觉运动筛查和纠正susceptibility-induced扭曲并使用目前涡流工件。地图的每个DTI在目前参数生成拟合扩散张量模型体素使用加权最小二乘法。ODI与ICVF地图生成使用NODDI MATLAB工具箱。18使用全脑DTI和NODDI参数进行了分析,voxel-wise tract-base空间统计数据。描述了这种方法的细节。30.简而言之,每个参与者的FA图与其他FA地图,和最具代表性的地图作为目标。蒙特利尔神经学研究所的目标是affine-aligned标准空间。所有FA地图进行非线性变换到目标和仿射变换标准空间。FA地图合并,体素最高的FA的核心主要白质束(阈值:FA = 0.2)被用来创建一个意味着FA骨架。每个参与者的FA图投射到意味着FA骨架,使voxel-wise统计分析。其余参数的地图也投射到分析的框架。参考了JHU(约翰霍普金斯大学)DTI白质图谱描述显著像素点的位置。31日
统计分析
分析在RStudio桌面1.0.153使用同伴应用回归32和全球验证线性模型33包。统计分析之前,神经认知变量评估常态方差与平等使用Shapiro-Wilk和列文测试,分别。对所有分析,结果被认为是重要的p< 0.05。FSIQ和PSI比较耐心,兄弟姐妹之间对照组使用II型协方差分析包括教育十分位数作为协变量。PSI的影响在其他认知域包括PSI作为协变量,探讨了在FSIQ比较患者和控制。一个探索性的多元线性回归分析预测PSI从以前涉及潜在的混杂变量:SCI (SCI + /−), Cao2、教育等分、年龄、性别、羟基脲的使用,和输血状况。有影响力的措施评估通过计算每个模型的β变量的标准化不同,适合不同,协方差比率,库克的距离,和帽子矩阵的对角元素。对所有病人,主体voxel-wise DTI和NODDI参数之间的相关性进行了PSI,而治疗年龄、性别和postcode-based教育十分位数作为协变量。Threshold-free集群增强被用来纠正多个比较。
数据可用性
完全匿名共享请求将数据从任何合格的调查员。交互式地图从成像分析将在neurovault上传结果可以探索和下载(neurovault.org/金宝搏188手机appcollections/3510/)。
结果
病人的特点
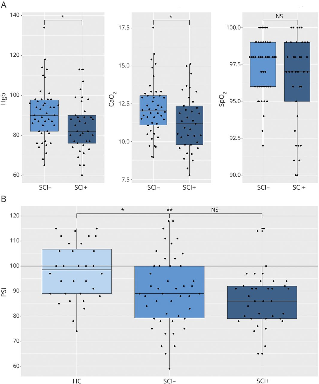
没有年龄或性别差异团体(表1)。83名患者(82镰状细胞血红蛋白,血红蛋白S /β0地中海贫血),37(45%)没有发现神经迹象SCI (SCI +)。病变在8例右侧,左侧在6日,两国在23个。13名患者病变在多个地区;35有额叶病灶,顶叶病变12例、2颞病变,和3枕病变。病变最常位于动脉之间的边界区域分布在额叶白质深处。29个病人在羟基脲(16 SCI−), 5是慢性输血(3 SCI−)和9 6个月内经历了输血的评估(6 SCI−)。平均血红蛋白,Spo2,Cao2低于参考规范(表1)。18例(22%,8 SCI−)与Sp不饱o2≤96%。平均血红蛋白和钙o2SCI患者的低,但没有饱和的差异(图1)。这种模式仍然当输血的患者被排除在外。
神经认知变量
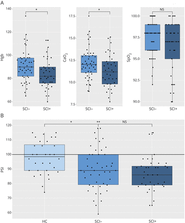
数据满足了协方差分析和多元线性回归假设。在控制了教育十分位数的影响,ψ是患者低于控制9.34扩展点(95%置信区间:4.635 - -14.855,p= 0.0003)。FSIQ低了4.14扩展点(95%置信区间:1.066−9.551,p= 0.1),但这种差异被废除当ψ是包括作为协变量(p= 0.18)。没有没有SCI患者认知差异,两组PSI(较低表1;p< 0.001),而不是FSIQ,而控制(图1)。这种模式仍然分别在儿童和成人分析重复(p< 0.05)。
进行了多元线性回归来预测PSI以前涉及变量。所有的预测中,只有雄性,Cao2和教育等分(SES)零相关性与PSI (图2)。然而,在完整的模型中,所有预测除了SCI和慢性输血了部分的影响(表2)。7-predictor模型能够解释25%的方差在PSI (F74= 3.042,p= 0.005,多个R2= 0.25)。所有预测仍当11影响力的情况下,包括所有5例慢性输血,从分析(删除F64= 3.404,p= 0.004,多个R2= 0.27)。
相关图可视化变量包含在探索性回归分析之间的关系。值是零级皮尔森相关系数。阴影区域表示重要的关系。蓝色的颜色代表积极的人际关系,而红颜色代表消极的关系。强度意味着关系的力量。ψ=处理速度指数;SCI =沉默脑梗塞;SES =社会经济地位。
神经影像学指标
在病人,PSI与FA,医学博士,RD, ICVF (图3)。具体来说,减少PSI与减少FA相关的内囊和胼胝体(r81年= 0.614,p< 0.00001,30492压),减少ICVF覆盖更广泛地区的白质骨架,与集群扩展整个胼胝体,放射冠,和优越的伪劣纵向纤维束(r81年= 0.364,p= 0.0007,70659压)。此外,PSI的减少与增加有关医学博士(r81年=−0.341,p= 0.0016,82663压)和RD,也在广泛的地区,有许多集群位于后方,包括后放射冠和胼胝体压部,分别为(r81年=−0.457,p< 0.00001,67296压)。统计地图可以和交互式地探索neurovault.org/金宝搏188手机appcollections/3510/。这些相关性仍在检查SCI +和SCI−分别组织。没有PSI和轴向扩散系数之间的关系或海外。
(一)蓝色像素点显示领域中,分数各向异性(FA)与处理速度指数(PSI)(34392像素点,p< 0.05)。红色压显示领域中,细胞内的体积分数(ICVF)与PSI(70659像素点,p< 0.05)。(B)黄色像素点显示领域中,径向扩散系数(RD)与PSI(67296像素点,p< 0.05)。紫色的体素表示领域平均扩散系数(MD)与PSI(82663像素点,p< 0.05)。结果年龄、性别、教育等分(SES)和threshold-free集群增强纠正和覆盖集团白质骨架(绿色)和一些具体的意思是FA模板。轮廓分明的=调整;SCI =沉默脑梗塞;SES =社会经济地位。
讨论
该研究提供了证据,减少处理速度和变化之间的关系在SCA和DTI和NODDI参数模型的风险因素。SCA显示患者处理速度赤字,无论SCI的存在。结果表明,处理速度慢的程度与白质完整性丧失,这较低的Cao2和SES赤字的独立危险因素。
PSI患者低于控制了9分。FSIQ低数值的4点,但这种差异没有达到意义。PSI的差异大于经常被引用的支持率(1/2的SD)阈值对临床有意义的差异。34此外,尽管意味着PSI病人组下降较低的平均范围内,28%的患者进行了PSI分数落在极低的范围(即边缘。,分数< 80),而6%的控制。总的来说,这些结果表明,尽管有变异性SCA人口中,SCA患者临床上重要的风险认知困难。控制了PSI废除FSIQ数值病人和控制之间的区别。这些发现扩展与成人的研究5与SCA和符合儿童的观念较慢的处理可能导致其他认知困难。老龄研究一般人群中同样强调,快速、高效的信息处理可能是一个高阶认知能力的先决条件。35
虽然认知能力是按比例缩小的年龄,年龄是PSI的负面预测我们的回归模型。PSI尚未检查纵向在SCA中,但这一发现与之前的报道相一致,可能表明认知功能随着年龄的增长在SCA中恶化。1,4,36在处理速度已经证明预测学力在典型的开发中,37进一步的工作需要检查PSI的发展轨迹在SCA和调查赤字的影响能力潜在的重要的生活的结果。
纠正后的病人,年龄和性别的影响,强烈的PSI和多个diffusion-derived指数之间的相关性被发现白质微结构。相关地区广为流传,只有与病变部分重叠,表明慢处理速度与SCA中的正常白质的完整性。这些结果提供的证据表明,认知障碍在SCA与白质完整性从multishell扩散磁共振成像使用定量微观结构参数,并强调小说扩散成像方法的实用程序在识别功能相关的白质的变化可能不是传统临床MRI可见。结果是同意的观点处理速度是domain-general认知能力,可能表明,快速和有效的神经处理同时依赖于许多大片的完整性。
我们的发现扩展先前的报道在SCA白质损伤16,17通过强调功能的后果可能这样的伤害,可能反映了之间的联系广泛的轴突损伤,脱髓鞘和/或瓦解的纤维和处理速度慢。有人建议,在DTI参数的代表脱髓鞘可以减少FA和增加在RD没有轴向扩散系数的变化,38和NODDI参数减少ICVF ODI没有变化。18,39,40我们的研究结果与此模式一致。然而,医学博士似乎是最敏感的指标,与两倍多体素相关的数量比FA PSI。因此,在这个示例NODDI似乎没有提供功能相关的微观结构变化的敏感性增强。相反,NODDI和DTI指标同样敏感。
值得注意的是,驱动成像参数变化的病理过程不完善,尽管在DTI NODDI克服某些特异性问题,交叉纤维的地区仍然有问题。此外,NODDI修复内在扩散系数的先验值,还有范围进一步优化这个值在模型的选择。自信可以称为扩散更改之前标记特定微观结构的变化,进一步的工作比较扩散指标不仅彼此,而且组织学措施,是必需的。
在本例中,44%的患者与科学发现。病变是最常见的两国之间的边界地带,位于额叶白质动脉分布。这些发现与之前的研究一致使用类似的MRI对SCI协议和标准。41SCI患者的血红蛋白较低比病人放射检查正常的报道,但是Spo2不是。患者输血后血红蛋白的差异仍然从分析,表明SCI患者更严重的贫血。
然而,没有差异FSIQ或PSI SCI的函数,不论年龄。同样,没有差异没有SCI患者脑白质微观结构参数和处理速度之间的关系,和相关地区只有部分重叠的病变,确认损失的贡献在正常白质完整性降低处理速度。这些发现符合最近的研究4,15综上所述,表明白质异常和认知缺陷都不解释完全由SCI的存在;其他因素,无论心理还是疾病,可能参与其中。
在病人、教育等分与PSI,表明这postcode-based指数能捕捉到一些SES可能影响认知的方差。先前的研究同样强调,降低产妇教育可能的危险因素在SCA处理速度慢。36此外,在我们的回归模型、教育等分被确认为一个独立的预测PSI,进一步表明社会经济和教育剥夺可能的风险因素SCA患者处理速度慢。
然而,任何教育等分的影响控制在我们比较患者在认知和控制,以及控制参与者在这个示例是兄弟姐妹的病人;因此,SES差异不太可能有重大影响的差异ψ在本研究报告。此外,在我们的探索性模型中,Cao2、年龄、和雄性也确定为ψ的预测,表明可能有多个因果通路在SCA认知缺陷,疾病和社会经济因素可能交互。
其中一个解释这种模式的结果可能是SCI急性贫血事件相关联,42在流域内灌注不足导致梗死脑组织中分布。急性贫血患者事件的应用都是口头较多、笔头较低的稳态血红蛋白,41也许占贫血严重程度之间的关系和科学观察。相比之下,白质损害低于临床磁共振成像的分辨率可能不太严重的结果,但持续暴露于低氧15二次补偿增加脑血流量43伴随着减少脑血管储备9和增加氧气提取部分。7,10,11这种损伤可能更加分散15,17因此功能更加显著,可能解释的存在PSI和扩散指标之间的关系,缺乏与科学的关系,这两种类型的损伤和贫血严重程度之间的联系。额外的识别预测PSI的这个解释不一致,如羟基脲使用和最近的危机输血增加血红蛋白和Spo2并规定患者更多更大的疾病负担,并有证据表明,男性有更多的严重疾病的课程。41这些发现可能解释之前的差异在文学和强调研究者和临床医生需要考虑风险因素之间的相互作用以及治疗的潜在干扰。
Ca的识别o2作为一个独立的预测的PSI与先前的报道是一致的低Sp之间的关系o2和认知障碍44和白质损伤在SCA中,15和处理速度的报道赤字一般小儿缺铁性贫血人群中45和睡眠呼吸障碍46以及那些生活在高海拔。47总的来说,这些结果可能表明改善赤字干预目标后血氧过低的风险。一夜呼吸支持似乎是安全、可行的儿童与SCA和治疗选择,可能持有的承诺。23
研究利用医疗记录,与病人之间有明显变化,随着时间的推移稳态全血细胞计数和Sp之间o2测量认知评估从1天到6个月不等。很少有数据的稳定性随着时间的推移这些措施。尽管低Spo2在SCA中,预测神经并发症48患者的人,对氧解离曲线的转变和碳氧血红蛋白和高铁血红蛋白可能导致过高的估计。49日间和夜间Spo2在SCA不一定相关,更大比例的患者经历晚上稀释。50此外,我们使用邮政编码而不是SES的直接措施,这对绝大多数是不可用。因为这些限制,我们无法全面模型具体的疾病和社会经济风险因素处理速度慢。
不仅需要进一步研究以确定风险因素和机制的白质损伤在SCA和认知障碍,但也建立潜在的病理是否可预防或可逆的。为此,未来的工作将需要解开SCA病理学和分离的影响,从社会心理因素的影响。这将需要回归和潜在的更高级的统计建模,未来定量核磁共振的研究是必要的。
本研究提供的证据表明,减少处理速度与广泛的白质异常从multishell扩散磁共振成像使用定量微观结构参数。虽然病变状态常用的代理疾病严重程度,本研究的结果表明在缺乏科学认知困难和突出的后果可能损害正常白质。临床医生应评估认知困难不管SCI,和未来的研究应该利用扩散磁共振成像作为一种工具来进一步研究认知障碍的潜在机制在SCA和监测治疗旨在改善认知功能障碍。这项研究增加了越来越多的证据表明成像异常和认知障碍随着年龄的增长而恶化,在SCA中,一起突出需要调查的早期治疗的影响。
作者的贡献
Hanne Stotesbury:文献检索、研究设计和概念、数据收集、神经心理评估,数据分析,数据解释,起草很大一部分手稿的阶段。Fenella j . Kirkham:文献检索,研究设计和概念,解释数据,起草一份手稿在所有阶段的重要部分。梅勒妮Kolbel:数据收集、神经心理评估,手稿审查。菲利帕贝尔福:数据收集、神经心理评估,手稿审查。乔纳森·d·Clayden:数据解释,编辑第二稿的手稿,手稿审查。殉死Sahota:病人招募,数据收集,手稿评论。Simrat萨卡利亚:病人招募,数据收集,手稿评论。黎明e·桑德斯:放射的解释MRI、诊断病变,手稿审查。乔霍华德:病人招聘、数据收集、编辑第二稿的手稿,手稿审查。瑞秋Kesse-Adu:病人招募,数据收集,手稿评论。 Baba Inusa: patient recruitment, data collection, edited second draft of manuscript. Maria Pelidis: patient recruitment, data collection, manuscript review. Subarna Chakravorty: patient recruitment, data collection, manuscript review. David C. Rees: patient recruitment, data collection, manuscript review. Moji Awogbade: patient recruitment, data collection, manuscript review. Olu Wilkey: patient recruitment, data collection, manuscript review. Mark Layton: patient recruitment, data collection, manuscript review. Christopher A. Clark: literature search, study design and conception, data interpretation, edited second draft of manuscript, manuscript review. Jamie M. Kawadler: literature search, study design and conception, data collection, neuropsychological assessment, data interpretation, drafting a significant portion of the first draft of the manuscript, manuscript review.
研究资金
Stotesbury女士是由行动医学研究(GN2509)和Kawadler博士是由大奥蒙德街儿童慈善机构(V4615) (gosh.org/what-we-do/grant-funding/recently-funded-projects/national-calls)。英国国家健康研究所(;pb - p188金宝慱官网下载g - 1112 - 29099)和国家心脏,肺和血液研究所(美国;R01HL079937)为招聘提供了资金,支持的工作是NIHR大奥尔蒙德街医院生物医学研究中心。Kawadler博士是由大奥尔蒙德街医院儿童慈善机构(国家呼吁在罕见疾病中的应用研究,V4615)。作者的观点是,不一定NHS, NIHR或卫生部。
信息披露
作者报告没有披露相关的手稿。去首页Neurology.org/N为充分披露。
承认
作者承认大奥尔蒙德街医院的努力研究摘录,没有他们的研究是不可能的。支持的工作是由美国国家卫生研究所生物医学研究中心大奥蒙德街儿童医院NHS信托基金会和伦敦大学学院。
脚注
去首页Neurology.org/N为充分披露。资金信息和披露认为作者相关的,如果有的话,年底提供这篇文章。
这篇文章加工费由NIHR资助。
- 收到了2017年12月18日。
- 接受的最终形式2018年3月14日。
- 版权©2018年作者(年代)。发表的Wolters Kluwer健康,公司代表美国神经病学学会。首页
这是一个开放的分布式根据文章知识共享归属许可4.0 (CC),它允许无限制的使用、分配和复制在任何媒介,提供最初的工作是正确引用。
引用
- 1。↵
- 2。↵
- 3所示。↵
- 4所示。↵
- 5。↵
- 克劳福德理查德·道金斯,
- JonassaintCR
- 6。↵
- 7所示。↵
- 8。↵
- 梁J,
- DuffinJ,
- 费雪晶澳,
- Kassner一个
- 9。↵
- 辛斯PD,
- CroalPL,
- 梁J,等
- 10。↵
- 11。↵
- 钟表匠JM,
- Juttukonda先生,
- 戴维斯LT,等
- 12。↵
- 13。↵
- 14。↵
- 崔年代,
- 布什我,
- Borzage太,等
- 15。↵
- 16。↵
- 17所示。↵
- 18岁。↵
- 19所示。↵
- 骑士N,
- Kurth年代,
- 多赛特先生,等
- 20.↵
- 乔普拉年代,
- 肖米,
- 肖T,
- SachdevPS,
- AnsteyKJ,
- CherbuinN
- 21。↵
- 常y,
- 欧文摩根大通,
- 我标新泽西,等
- 22。↵
- 23。↵
- 霍华德J,
- 呼吸暂停AE,
- 弧拱年代,等
- 24。↵
- 威廉姆斯体育,
- 维斯LG,
- Rolfhus埃尔
- 25。↵
- McCrimmon亚历山大-伍尔兹,
- 史密斯广告
- 26岁。↵
DCLG。英国指数的不足2010人。右手边统计发布2011年:1- - - - - -20.。
- 27。↵
- 28。↵
- 29。↵
- 30.↵
- 31日。↵
- 32。↵
- 福克斯J,
- 韦斯伯格年代
- 33。↵
- 34。↵
- 35。↵
- 36。↵
- OluwoleOB,
- 诺尔RB,
- 边锋DG,
- AkinyanjuO,
- Novelli新兴市场
- 37岁。↵
- 38。↵
- 39岁。↵
- Kippl,
- 考利N,
- 普拉多博物馆F,等
- 40。↵
- 41岁。↵
- 42。↵
- 道林毫米,
- 奎因CT,
- 帕朗柏P,等
- 43。↵
- 44岁。↵
- Hollocks乔丹,
- 角结核病,
- KirkhamFJ,等
- 45岁。↵
- 46岁。↵
- 47岁。↵
- 48。↵
- 49。↵
- 50。↵
信:快速的网络通信
你可能也会感兴趣
相关文章
-
没有找到相关文章。
提醒我
推荐的文章
- 金博宝手机版官网首页
脑氧代谢压力、显微结构的损伤和梗死与镰状细胞病成人王燕,苗条的砍伐量,梅勒妮·e·字段等。
首页神经学,2021年6月25日 - 文章
洞察传播女士大脑病理多通道扩散张量和PET成像斯维特拉娜Bezukladova, Jouni Tuisku,马库斯Matilainen et al。
首页神经学:神经免疫学和神经炎症,2020年3月2日 - 文章
沉默的脑梗塞全量表智商的定义和镰状细胞性贫血的孩子娜塔莎a Choudhury迈克尔·r·DeBaun马克Rodeghier et al。
首页神经学,2017年12月20日 - 文章
在胼胝体白质异常在帕金森病认知障碍伊恩·o·Bledsoe格伦·t·史泰宾斯道格Merkitch et al。
首页神经学,2018年11月14日


