多步假说ALS的再现
基因突变的作用
做出评论
看到评论
文摘
客观的肌萎缩性脊髓侧索硬化症(ALS)发病率与假设是一致的ALS是一个多步骤的过程。我们测试的假设突变可能携带重大影响占≥1步骤通过突变的影响,因此离开ALS开始前剩下的步骤更少。
方法我们从人口ALS发病率数据生成注册在意大利(2007 - 2015)的遗传分析C9orf72、SOD1 TARDBP,付家基因在82%的入射情况下进行。确认,我们使用数据从ALS病例诊断在爱尔兰共和国(2006 - 2014)。我们退化不同年龄组发病率与年龄的日志的日志与最小二乘回归每个单独的分组人口携带疾病相关变异基因。
结果基因检测的1077例中,74 (6.9%)C9orf72突变,20 (1.9%)SOD1突变,15 (1.4%)TARDBP突变,3 (0.3%)付家突变。在整个人口,发病率之间存在着线性关系日志和日志年龄(r2= 0.98)斜率估计为4.65(4.37 - -4.95),符合一个六步的过程。的分析C9orf72突变患者证实了线性关系(r2= 0.94)斜率估计为2.22(1.74 - -2.29),这表明一个三步。这个估计是证实了来自爱尔兰的ALS寄存器的数据。斜率的估计是一致的和一个两步过程SOD1和一个分4步的过程TARDBP。
结论减少数量的识别步骤ALS患者基因突变相比,那些没有突变支持ALS是一个多步骤的过程,是一个重要的进步在ALS解剖致病过程。
术语表
- 肌萎缩性侧索硬化症=
- 肌萎缩性脊髓侧索硬化症;
- CI=
- 置信区间;
- PARALS=
- 皮埃蒙特和瓦莱达奥斯塔注册ALS
肌萎缩性脊髓侧索硬化(ALS)是一种神经退行性疾病的特点是一个进步的皮质,球,还有脊髓运动神经元,常与前额叶皮层的参与。有迹象表明ALS的退化过程的结果是遗传和环境因素的结合。超过20个基因已经被发现ALS的原因。1几个环境因素提出了,但是没有人,可能除了吸烟和军事服务,不断地与ALS有关。2,- - - - - -,5大约20%的ALS遗传是归因于常见遗传变异与整体60%的遗传研究基于一致性的同卵双胞胎。6,- - - - - -,8
在先前的研究中,我们使用了Armitage-Doll模型源自癌症研究来评估是否ALS发病率与一个多步过程是一致的,如果是这样的话,估计所需的许多步骤(n)肌萎缩性侧索硬化症。9,10模型可以简单概念如下:如果我们假设ALS是在单步分子过程中,引起的发病率在一年,将是成比例的风险进行的步骤,进而取决于接触相关的致病因素。概率分子步骤发生在第二年依赖于每年接触相关的风险因素,数年的曝光,或年龄,这是适用于任何后续的步骤。因此,发病率成正比的产品接受的风险和后续步骤的第一步。这个概念意味着对数增加的发病率随着年龄的增长,服从幂律1不到的步数,n−1,与增加的速率。因此,日志的发病率和发病年龄斜率直线方程的形式n−1如果一个多步模型适用。我们以前的研究发现与斜率的估计5线性关系,表明这个过程导致ALS平均需要6个步骤。9考虑到大型异构性肌萎缩性侧索硬化症的临床表现,进展和结果,很可能,具体的步骤不同子组的患者。例如,那些携带大量突变可能影响≥1步骤由突变的影响,因此建立ALS之前剩下的步骤更少。因此我们测试这个假设使用Armitage-Doll模型在基因以人群为基础的队列定义的患者亚组。
方法
所有患有肌萎缩性侧索硬化症诊断在皮埃蒙特和瓦莱达奥斯塔,意大利,在2007年到2015年期间都有资格参加这项研究。病例通过皮埃蒙特和瓦莱达奥斯塔注册ALS (PARALS)。PARALS前瞻性流行病学寄存器是基于神经系统的协作部门2意大利地区。ALS病例确定通过几个并发来源(住院等)。肌萎缩性侧索硬化症的诊断是基于El堆渣场修订标准。有明确的情况下,可能,可能的综合性实验室El堆渣场诊断疾病过程中都包含在注册。其他报告注册方法的详细描述。11队列包含在这个研究是不同的,包括在前面的一个,这是基于患者在1995 - 2004年期间事件。
确认中,我们使用了数据从ALS病例诊断在爱尔兰共和国在2006 - 2014年期间。ALS病例虽然爱尔兰ALS登记。12尽管存在类似军团其他寄存器在原来的报告中,研究基因数据不够完整或没有足够的重叠与人口数据允许类似的分析。
基因分析
所有病例进行突变检测SOD1(外显子),TARDBP(外显子6),付家(外显子14和图15)C9orf72使用标准方法描述了其他地方。13C9orf72重复长度决定了重复PCR。正常被定义为≤28重复。
统计分析
Armitage-Doll方法,10在同样的假设作为我们以前的报告。9总之,阴谋ALS发病率与日志记录的年龄会是线性多步模型,适用于坡度n−1,即。1疾病发病不到所需的步骤。根据模式识别在癌症,模型预测,斜率近似的线性,但会降低(因此将小于线性)在老年群体中,由于大量的人口比例在经历了早1或更多的步骤。
在这个模型中,我们计算了每100000人每年在5年年龄组发病率35到74岁的人。我们排除了最年轻的年龄组(< 35年),因为患者和年龄更大的年龄组(> 74岁)因为underascertainment的风险或队列效果;这也反映了这个发现在某些癌症发病率的日志和日志年龄协会老年群体是非线性的。10
然后我们进行了初步的分析日志发病率与年龄对所有情况下(即日志。,both mutated and nonmutated) to verify whether our population followed a multistep model and to replicate our previous findings. Second, we assessed separately patients with familial and those with nonfamilial ALS. Third, we assessed the incidence of ALS for cases involving each single gene. To correctly calculate incidence, the population used for the denominator should correspond to the population used for the numerator. For example, for ALS incidence in those carrying aC9orf72突变,使用正确的分母是人口携带的所有人C9orf72突变。此信息只提供了病例,但不是一般人。然而,由于相关的突变一般不显著增加死亡率除了对ALS的影响,我们假设人口携带特定突变的比例不会大大不同年龄组(例如,的比例C9orf72突变将类似于40 - 44 - 60 - 64岁年龄组)。在这种假设下,然后合理使用总数作为分母在特定基因的分析(例如,案件C9orf72突变),因为这将涉及相关的特定年龄段人口分母乘以一个未知但固定不变的(例如,如果5%的人携带一个特定的突变,然后总人口分母是20倍,未知的人口群携带这种变异)。因此,所有的特定年龄段发病率会高估了未知但固定乘数;这反过来会影响各年龄段发病率,但没有影响的曲线的斜率对数发病率与年龄。
标准协议的审批、登记和病人同意
山麓地区政府认识到皮埃蒙特ALS注册的注册表高卫生利益(地区法律,2012年4月11日,不。4)。因此,PARALS有权访问所有现有的数据库由区域管理和获得ALS患者临床信息从公共和私人医院和全科医生。伦理委员会批准的这项研究是异食癖的德拉敬礼e德拉Scienza都灵。匿名注册数据库和治疗据意大利数据保护的代码。病人签订书面知情同意。爱尔兰爱尔兰ALS注册符合数据保护法案(1988和2003),博蒙特医院伦理委员会批准(02/28和05/49)。
数据可用性
匿名数据共享的要求从任何合格的调查员。
结果
事件的1309例病例在2007 - 2015年期间,1077例(82.2%)进行了遗传分析的基因,93.5%(1030年)随访2 ALS多学科中心和21.7%(47)由神经学部门跟进。首页患者没有进行遗传分析老,比那些经常有一个球开始测试(表1)。C9orf72突变检测74例(6.9%),SOD1在20个(1.9%),TARDBP15 (1.4%)付家3例(0.3%)。一个病人携带一个C9orf72扩张和p。一个sn390Ser heterozygous missense mutation of theTARDBP基因。的列表SOD1, TARDBP,付家突变是发表在表2。
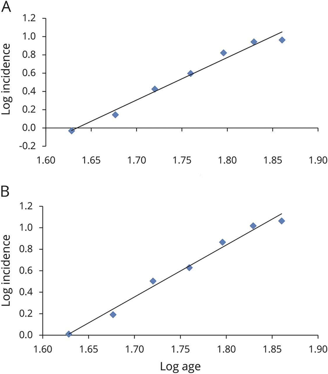
在1077患者基因测试数据,有一个线性对数发病率和年龄之间的关系(r2= 0.98)斜率估计为4.65(95%可信区间[CI] 4.37 - -4.95),符合的六步过程(图1一个),复制我们先前的调查结果。一个类似的结果(r2= 0.99)时获得1309事件情况下(图1 b)是包括在内。没有性的影响(数据没有显示)。
(A)对数发病率与年龄对所有事件肌萎缩性脊髓侧索硬化(ALS)患者(n = 1077)进行基因检测(y = x 4.65−7.60,r2= 0.98)。发病率(B)日志和日志中的所有事件ALS患者年龄登记(n = 1309) (y = x 4.83−7.85,r2= 0.99)。
当109患者明确的或可能的家族性肌萎缩性侧索硬化症(总数的10.1%)被认为是,14发病率之间存在着线性关系日志和日志的年龄,斜率估计为2.95 (95% CI 2.43 - -3.57),符合4步流程(图2)。
对数发病率与年龄对所有事件家族性肌萎缩性脊髓侧索硬化(ALS)患者(n = 111) (y = x 2.95−5.45,188金宝慱官网下载r2= 0.92)。
的分析C9orf72突变患者证实了线性关系(r2= 0.94)斜率估计为2.22 (95% CI 1.74 - -2.79),这表明一个三步(图3一)。类似地,发现了一个线性关系SOD1突变的患者(r2n−1 = 0.76 = 0.53, 95% CI 0.46 - -1.17),符合一个两步过程(图3 b),TARDBP(r2n−1 = 3.24 = 0.93, 95% CI 2.21 - -4.13),符合4步流程(图3 c)。因为数量非常小的情况下携带付家突变,我们没有估计斜率。当我们认为是45的家族ALS患者- 4基因测试,确认该线性关系(r2n−1 = 3.71 = 0.95, 95% CI 2.67 - -4.53),符合一个5步的过程(图未显示)。这些数据进行了总结表3。
对数发病率与年龄C9orf72肌萎缩性脊髓侧索硬化症(ALS)(74例)(y = x 2.22−4.33,r2= 0.94)(红线)SOD1肌萎缩性侧索硬化症(20例)(y = x 0.758−2.43,r2= 0.53)(绿线),TARDBP肌萎缩性侧索硬化症(15例)(y = x 3.24−6.76,r2= 0.93)(蓝线)。适合直线是好的,与多步模型一致。
接下来我们分析从爱尔兰ALS患者登记。寄存器包括597个基因检测患者(56.3%的事件患者在2006 - 2014年期间),其中有67了C9orf72扩张。在597患者基因测试数据,有一个线性对数发病率和年龄之间的关系(r2= 0.93)斜率估计为5.09 (95% CI 4.69 - -5.52),符合一个六步的过程。在C9orf72扩大的情况下,结果是类似的皮埃蒙特注册(r2斜率估计2.47 = 0.66,95% CI 1.91 - -3.13,符合一个三步)。最后,530年爱尔兰病人没有C9orf72扩张了斜率估计为5.35 (95% CI 4.92 - -5.82) (r2= 0.95)。没有患者SOD1突变和只有2TARDBP错义突变被发现在爱尔兰ALS登记,从而无法评估这些基因的影响。
相比较而言,我们评估了斜率为1和2型糖尿病使用数据的皮埃蒙特注册糖尿病30 - 49年来的年龄组(图4)。15符合我们的发现在肌萎缩性侧索硬化症,斜率估计1型糖尿病,高度由基因决定的疾病为0.96 (95% CI 0.62 - -1.13) (r2= 1.0),符合一个两步的过程,而2型糖尿病的一种多因素疾病,多基因的架构,为5.27 (95% CI 4.50 - -6.18) (r2= 0.98),符合一个六步的过程。
讨论
我们发现携带基因突变的患者,发病率的曲线的斜率日志和日志病例年龄低于那些不携带这些突变。这反过来意味着必要步骤的数量开始基因介导的神经退化进程ALS相比减少情况下没有突变。步骤的数目变化根据突变基因和较低SOD1(2)、中级C9orf72(3)、高TARDBP(4)。步骤的数量确定没有突变的病人是6,符合我们以前的报告。9特别是,斜率在皮埃蒙特的病人登记报告在那篇文章中,它是基于事件的情况下在1995 - 2004年期间,发现在目前的报告几乎是相同的,这是基于事件的情况下在2007 - 2015年期间。此外,斜率C9orf72,以及整体边坡的患者进行基因检测,证实了爱尔兰ALS的人口。这些发现表明,基因病变仅可能占到4分子步骤,只留下2进一步,对于那些可能的环境、步骤SOD1例如,基因突变。这种主张的集中努力解剖环境风险因素确定突变的个体,而显然比那些零星的肌萎缩性侧索硬化症,因为这样的环境因素将人均数量少,可能更大的效果。
人们普遍认识到,ALS是一种多因素疾病,特点是遗传和环境因素之间的相互作用。尽管几个ALS-related基因是已知的,越来越清楚的是,基因突变无法完全解释ALS的病理进程,而是基因可以被认为是触发的退化过程。一个类似的角色可以归因于环境毒素。然而,我们有很少的信息可能的外生因素参与了肌萎缩性侧索硬化症。吸烟可能在ALS是一个危险因素5,16;其他建议因素是体育活动,参加职业体育,和身体创伤。4保护性因素也在猜测,比如糖尿病17和血脂不利。18,19所有这些因素可以通过外遗传性交互作用于基因组。例如,吸烟诱发DNA甲基化在特定CpG网站,持续多年的停止吸烟后,20.也可能诱导体细胞核酸的变化。5,21剩下的步骤很可能在不同的基因子组可能源自一个或更多的这些危险因素。
除了我们目前的结果,观察符合多步假说在肌萎缩性侧索硬化症。首先,有迹象表明ALS是一个寡基因疾病。事实上,有几个病人携带的报道≥2不同ALS-related基因的突变。22ALS患者在391年的一项研究,评估在17个基因变异,3.8%有> 1基因的变异。23在这系列中,已知的ALS基因的罕见变异的负担显著降低症状的发病年龄。23,24在目前的系列,1病人都C9orf72扩张的杂合的突变TARDBP基因,即使我们评估只有4基因。第二,除了“成因”基因,其他几个基因已报告修改ALS等表型UNC13A,ATXN2,CAMTA1,25,- - - - - -,27表明这些基因变异在修改顺序过程,加速或减速。
Nongenetic元素等环境因素28和老化也可能触发分子步骤。然而,与其他报告一致,两性之间的斜率是相同的所有分析,表明没有影响性的级联。29日
似乎有一些剩余的步骤的数目之间的关系确定为每个突变基因和基因突变的外显率。这种关系与多步模型是一致的,因为更多的剩余步骤将对应于一个低概率的接触的所有步骤,因此减少疾病的概率给定一个特定的基因型。例如,C9orf72扩张突变的外显率估计为60%的60岁和91%岁的80年30.,31日和对应3剩下的步骤。至少3可能调控机制C9orf72外显率:GGGGCC的规模扩张,DNA甲基化的差别和转录对这些基因的启动子,32和额外的突变的存在。33
的外显率TARDBP突变比这低得多C9orf72(60%,80年为p。Ala382Thr突变),34和它的叶子4步骤,超过其他2基因。最低数量的剩余步骤2,据估计SOD1突变。然而,SOD1外显率的变化在不同的突变。例如,在一个研究的起源可追溯到18世纪,运营商的p。Glu101Gly, p。我le114Thr, and p.Val149GlySOD1据报道突变的外显率> 95%岁的78年。35同样,外显率的p。一个la5Val mutation, the commonest in the United States, has been estimated to be 91% at the age of 80 years.36其他突变外显率下降得多;一个例子是p。一个sp91Ala mutation, which is transmitted with a recessive inheritance in people of Scandinavian ancestry and with a dominant inheritance, albeit with a low penetrance, in the other populations.37,38大部分的SOD1我们确定突变被认为是有非常高的外显率,因此将会占更多的步骤比低外显率突变。
本研究有一些弱点。首先,它是不可能的所有事件ALS患者的基因型。Nontested患者年龄更经常比那些球开始测试。然而,我们可以获得DNA >事件患者的80%,比例高的流行病学设置。第二,只有4更常见的突变ALS基因进行评估。然而,nontested基因只占一小部分的ALS患者欧产数量。第三,斜率进行估计遗传病例的数量相对较少,尤其是对SOD1和TARDBP;因此,斜率估计可能是不精确的。最后,人口分母不用于特定的突变;然而,正如上面所提到的,这将影响我们的不同年龄组发病率估计但不是图的斜率对数发病率与年龄。因此重要的是,我们的研究结果被复制在其他更大的群组研究中患者人群来确认我们的结果并确定它们可以广义的程度。
减少数量的识别步骤ALS患者基因突变相比,那些没有突变强烈支持的想法ALS是一个多步骤过程,代表了发现的第一个线索ALS的致病过程。类似的模式曾被观察到在特定癌症的研究相关的突变和其他环境因素诱发的步骤已经能够被识别和假设也与神经退化有关。21我们的研究结果支持这样的设想过程之间的相似之处导致致癌作用和那些导致肌萎缩性侧索硬化症。这一事实只有2、3或4步骤需要在基因介导的疾病发作之前ALS是一致的概念,4 6步骤疾病发病已经占遗传突变。这个想法也符合观察,外显率对应于步骤的数量占了。另一种解释是,潜在的病因之间必须至少1步骤中不同基因和其他形式的肌萎缩性侧索硬化症。nongenetic风险的影响因素的分析也应进行澄清他们对ALS的多步过程的贡献。数量相对有限的步骤导致肌萎缩性侧索硬化症,比较,例如,在基地的复杂性机制的多因子的疾病,如精神分裂症、39为开发有效的治疗提供了希望这毁灭性的疾病。
作者的贡献
a .亚蔡L.M.,J.H.V.,l。H。v.d.B., N.P., O.H., J.R, G.M., A. Calvo, and A.A.-C. contributed to the literature search, figures, study design, data collection, data analysis, data interpretation, and writing the manuscript. S.D., A. Canosa, C.M., U.M., E.B., L.C., M.B., M.B., W.S., R.M., and A.V. contributed to the data collection and data analysis. All authors critically revised the manuscript.
研究资金
本研究支持了意大利的大学卓越的部门下资金授予“丽塔利Montalcini那里“神经科学部门。这是一个欧盟联合Programme-Neurodegenerative疾病研究项目(JPND)。支持的项目是通过以下资金组织的庇护下JPND:英国医学研究委员会(先生/ L501529/1;先生/ R024804/1)和经济和社会研究委员会(ES / L008238/1);爱尔兰:健康研究委员会;荷兰:ZonMw;和意大利:卫生部和教育部、大学和研究。前工作这份出版物是由欧洲共同体的健康第七框架计划(fp7/2007 - 2013;259867年授予协议)。平炉和jr从爱尔兰健康研究委员会资助的慈善机构研究运动神经元。 A.A.-C. receives salary support from the National Institute for Health Research Maudsley Biomedical Research Centre.
信息披露
a亚蔡授予意大利卫生部报告(Ricerca Finalizzata),欧盟通过教育部JPND,大学和研究,通过意大利外交部和Italy-Israel科学协作,以及个人费用Idec, Cytokinetics, Italfarmaco,三菱田边,Neuraltus。l .马志尼报告没有披露相关的手稿。s D 'Alfonso报告格兰特从阿Italiana / la Ricerca苏拉SLA。l·柯拉和a . Canosa报告没有披露相关的手稿。c . Moglia授予意大利卫生部报告(Ricerca Finalizzata)和银行的di圣保罗。Manera, e . Bersano m . Brunetti m . barberi, j . Veldink报告没有披露相关的手稿。l . van den Berg报告从荷兰ALS基金会赠款,荷兰卫生研究与发展组织(Vici方案),VSB昏聩,h . Kersten和m . Kersten (Kersten基金会),王子比阿特丽克斯昏聩(PB 0703), Adessium基金会,通过JPND和荷兰健康研究组织;个人从巴克斯特从差旅补助费用和咨询费用;和个人费用从科学顾问委员会生原体Idec。n .皮尔斯w . Sproviero r·麦克劳克林a . Vajda o .此外,j·鲁尼报告没有披露相关的手稿。 G. Mora reports grants from Italian Ministry of Health (Ricerca Finalizzata). A. Calvo reports no disclosures relevant to the manuscript. A. Al-Chalabi reports grants from the EU JPND through the Medical Research Council and the Economic and Social Research Council, as well as consultancy for Biogen Idec, Cytokinetics Inc, Treeway Inc, Mitsubishi-Tanabe Pharma, and OrionPharma. Go to首页Neurology.org/N为充分披露。
脚注
去首页Neurology.org/N为充分披露。资金信息和披露认为作者相关的,如果有的话,年底提供这篇文章。
这篇文章加工费由英国研究理事会资助。
- 收到了2017年12月3日。
- 接受的最终形式2018年5月16日。
- 版权©2018年作者(年代)。发表的Wolters Kluwer健康,公司代表美国神经病学学会。首页
这是一个开放的分布式根据文章知识共享归属许可4.0 (CC),它允许无限制的使用、分配和复制在任何媒介,提供最初的工作是正确引用。
引用
- 1。↵
- 2。↵
- Al-Chalabi一个,
- 皮尔斯N
- 3所示。↵
- 4所示。↵
- IngreC,
- 鲁斯点,
- 圣F,
- 卡迈勒F,
- 方F
- 5。↵
- 6。↵
- 7所示。↵
- 凯勒曼氏金融,
- 费鲁奇l,
- 单例AB,等
- 8。↵
- 麦克劳林RL,
- Vajda一个,
- 哈德曼O
- 9。↵
- 10。↵
- 11。↵
- 12。↵
- 13。↵
- 14。↵
- 15。↵
- 16。↵
- 17所示。↵
- Kioumourtzoglou马,
- RotemRS,
- 海豹RM,
- GredalO,
- 汉森J,
- Weisskopf毫克
- 18岁。↵
- 19所示。↵
- 20.↵
- 21。↵
- 22。↵
- 23。↵
- 24。↵
- 25。↵
- 26岁。↵
- Diekstra《外交政策》,
- 范VughtPW,
- 范RheenenW,等
- 27。↵
- Fogh我,
- 林K,
- TilocaC,等
- 28。↵
- 29。↵
- SiuJ,
- 珀金斯E,
- 现金男NR
- 30.↵
- 墨菲NA,
- 亚瑟KC,
- TienariPJ,
- HouldenH,
- 亚蔡一个,
- TraynorBJ
- 31日。↵
- 范LangenhoveT,
- van der ZeeJ,
- Gijselinck我,等
- 32。↵
- Gijselinck我,
- 范Mossevelde年代,
- van der ZeeJ,等
- 33。↵
- 34。↵
- 35。↵
- 36。↵
- 37岁。↵
- 38。↵
- 39岁。↵
- ElertE
信:快速的网络通信
你可能也会感兴趣
相关文章
-
没有找到相关文章。
主题讨论
提醒我
推荐的文章
- 文章
ALS是一个多步骤的过程在韩国,日本,澳大利亚的病人法力Higashihara史蒂夫•Vucic创Sobue et al。
首页神经学,2020年2月18日 - 文章
确定familiality在ALS的发病率时间的研究趋势从1994年到2016年在爱尔兰
玛丽·瑞恩,马克Heverin,马克·a·多尔蒂等。
首页神经学:遗传学,2018年5月18日 - 文章
在C9ORF72 Hexanucleotide重复扩张运动神经元疾病的频谱Wouter van Rheenen van Blitterswijk决断,马克到了豪氏威马等。
首页神经学,2012年7月25日 - 文章
Multiparametric MRI研究C9orf72 ALS分层的基因型阿伦•l Bokde苏珊彼得•比德伯恩等。
首页神经学,2013年6月14日


