缺血性脑卒中后功能结局的全基因组关联meta分析
做出评论
看到评论
摘要
客观的利用全基因组关联(GWA)研究发现与脑卒中后预后相关的常见遗传变异。
方法该研究纳入了来自欧洲、美国和澳大利亚的12项研究的6165名缺血性卒中患者,这些研究纳入了GISCOME(缺血性卒中功能结局遗传学)网络。主要结局是60 ~ 190天后的修正Rankin量表评分,作为2个二分类变量(0-2 vs 3-6和0-1 vs 2 - 6)评估,随后作为顺序变量。在每项研究中独立进行GWA分析,并对结果进行meta分析。分析调整了年龄、性别、中风严重程度(基线NIH中风量表评分)和血统。显著性水平为p< 5 × 10−8.
结果我们确定了一个与全基因组功能结果相关的遗传变异(改良Rankin量表得分0-2 vs 3-6;p= 5.3 × 10−9).这个内含子变异(rs1842681)在LOC105372028基因是一个先前报道的反式表达的数量性状位点PPP1R21它编码蛋白磷酸酶1的调节亚基。这种无处不在的磷酸酶与大脑的功能有关,比如大脑的可塑性。本研究中发现的几个变异与结果(p< 10−5),其中一些在基因内或附近,有实验证据表明对缺血性卒中容量和/或脑恢复有影响(例如,NTN4,TEK,PTCH1).
结论在这项关于缺血性卒中后功能结局的大型GWA研究中,我们报告了一个显著的变异和几个变异与卒中发作后3个月的预后有暗示的关联,并与卒中后恢复有似是而非的机制联系。未来的复制研究和探索已确定的遗传变异的潜在功能机制是必要的。
术语表
- 电子商务=
- 内皮细胞;
- eQTL=
- 表达数量性状位点;
- GISCOME=
- 缺血性脑卒中功能结局的遗传学;
- GTEx=
- Genotype-Tissue表达式;
- GWA=
- 全基因组关联;
- HGVD=
- 人类遗传变异数据库;
- 夫人=
- 修正兰金量表;
- 署=
- NIH中风量表;
- 或=
- 优势比;
- PP1=
- 蛋白磷酸酶;
- 单核苷酸多态性=
- 单核苷酸多态性
缺血性脑卒中后的功能结局具有广泛的个体差异,从完全恢复到持续的严重残疾。1尽管有许多因素影响缺血性卒中后的恢复,如年龄和初始卒中严重程度,但这种个体间差异的可识别部分仍无法由临床因素解释。1这种变化背后的未探索机制代表了寻找个性化卒中后管理方法的潜在关键,包括准确的预后预测以及针对患者的治疗、二级预防和康复。
遗传因素可能是导致中风结果变化的部分原因。对人类和动物的研究支持基因对脑损伤后恢复的影响。2,- - - - - -,4此外,据报道,通过候选基因研究确定的遗传变异与中风后的功能结局有关,例如,在脑源性神经营养因子和环氧化酶-2基因中。5,- - - - - -,7虽然这些候选基因的研究结果不一致,需要复制。1到目前为止,还没有关于缺血性卒中后功能结局的全基因组关联(GWA)研究发表。这种无假设的方法可以识别出表明中风后病理生理过程或恢复的新途径的变异,从而为干预和药物开发提供新的目标。
缺血性卒中功能结局的遗传学(GISCOME)网络旨在识别可能影响缺血性卒中后功能结局的遗传变异。8在此,我们报告了一项GWA研究的结果,该研究采用改进的Rankin量表(mRS)评估缺血性卒中后3个月的功能结局。
方法
研究人群
GISCOME研究人群和分析计划已在前面详细描述。8简而言之,GISCOME研究人群包括来自欧洲、美国和澳大利亚12个研究地点的18岁及以上欧洲血统的缺血性卒中患者。在GISCOME研究方案发表后,8(1) Sahlgrenska学院缺血性卒中研究,(2)Malmö饮食与癌症研究(数据来自Dryad,补充方法和表e-1和e-2)。doi.org/10.5061/dryad.s38kf65).GISCOME研究包括有mRS和基因型数据的中心,这些数据为国际中风遗传学联盟和国家神经疾病研究所和中风-中风遗传学网络(SiGN)研究中风风险的遗传学研究做出了贡献。在本研究进行时,我们没有任何其他可用于复制的队列。
标准方案批准,注册和病人同意
所有参与者都提供了参与的书面知情同意书。对于无法交流的参与者,则获得其近亲的同意。当地伦理委员会批准了个人研究。
结果
如分析计划所述,选择尽可能接近90天(允许60-190天)的mRS来评估功能结果。8大多数纳入的研究(≈80%)在3个月±2周时评估mRS。8在大多数研究中,这是通过面对面的访谈来完成的。在3项研究(隆德卒中登记、Malmö饮食和癌症研究以及部分Sahlgrenska学院缺血性卒中研究)中,使用瑞典卒中质量登记(Riksstroke)的数据,通过经过验证的翻译算法评估mRS。8,9这种方法防止了mRS评分0、1和2之间的差异。
根据我们的先验分析方案,我们将mRS作为2个二分类变量进行分析,(1)mRS 0-2 vs 3-6和(2)mRS 0-1 vs 2 - 6,同时也作为全有序尺度变量。mRS 0-2 vs 3-6和顺序量表分析包括更多的参与者。对mRS 0-1和2-6进行分析,以探索第二次二分法是否可以识别其他分析未发现的任何强关联。此外,我们进行了探索性的努力,分别研究了皮层下和皮层部位与梗死的潜在关联。由于无法获得梗死位置的信息,我们根据TOAST(急性卒中治疗ORG 10172试验)的亚型分类,将病例分为小血管疾病(称为腔隙性卒中)和其他亚型(称为非腔隙性卒中)。10共有992名患者发生腔隙性中风,3991名患者发生非腔隙性中风,1182名患者缺少这一信息。
GWA分析和元分析
基因型数据的分型、输入和质量控制方法见Dryad提供的数据(补充方法和表e-1和e-2)。doi.org/10.5061/dryad.s38kf65).在加性遗传模型下,使用多变量模型对每个结果变量进行分析。我们的目的是探索与脑卒中严重程度无关的功能结果相关的遗传变异。在这个主要模型中,对结果进行了年龄、性别、祖先(直到前5个主成分[来自Dryad的数据,表e-3])和基线中风严重程度的调整,这些中风严重程度是在中风发作后0至10天由NIH中风量表(NIHSS)评估的,倾向于尽可能接近0 - 1天。8此外,对每个结果进行未调整基线中风严重程度的模型进行比较;但是,除非另有说明,本报告中的所有结果都是指上述主要模型。
所有二分类分析均采用PLINK 1.90b4.6版软件进行logistic回归。11利用MATLAB mnrfit算法(MATLAB Statistics and Machine Learning Toolbox Release 2016b;The MathWorks, Inc., Natick, MA)。在比例赔率假设下,预测因子单核苷酸多态性(SNP)的影响对结果类别的选择是不变的。因此,所有研究队列的估计值,包括那些没有分离mRS 0-2的队列,在有序回归中具有可比性。此外,具有回归系数β的变体剂量的一个单位变化表明mRS评分低于或等于的几率的变化xVs高于x通过一个因素
,所有分数相等x.我们测试了从顺序模型中报告的所有变量的比例赔率偏差。未发现显著偏差。
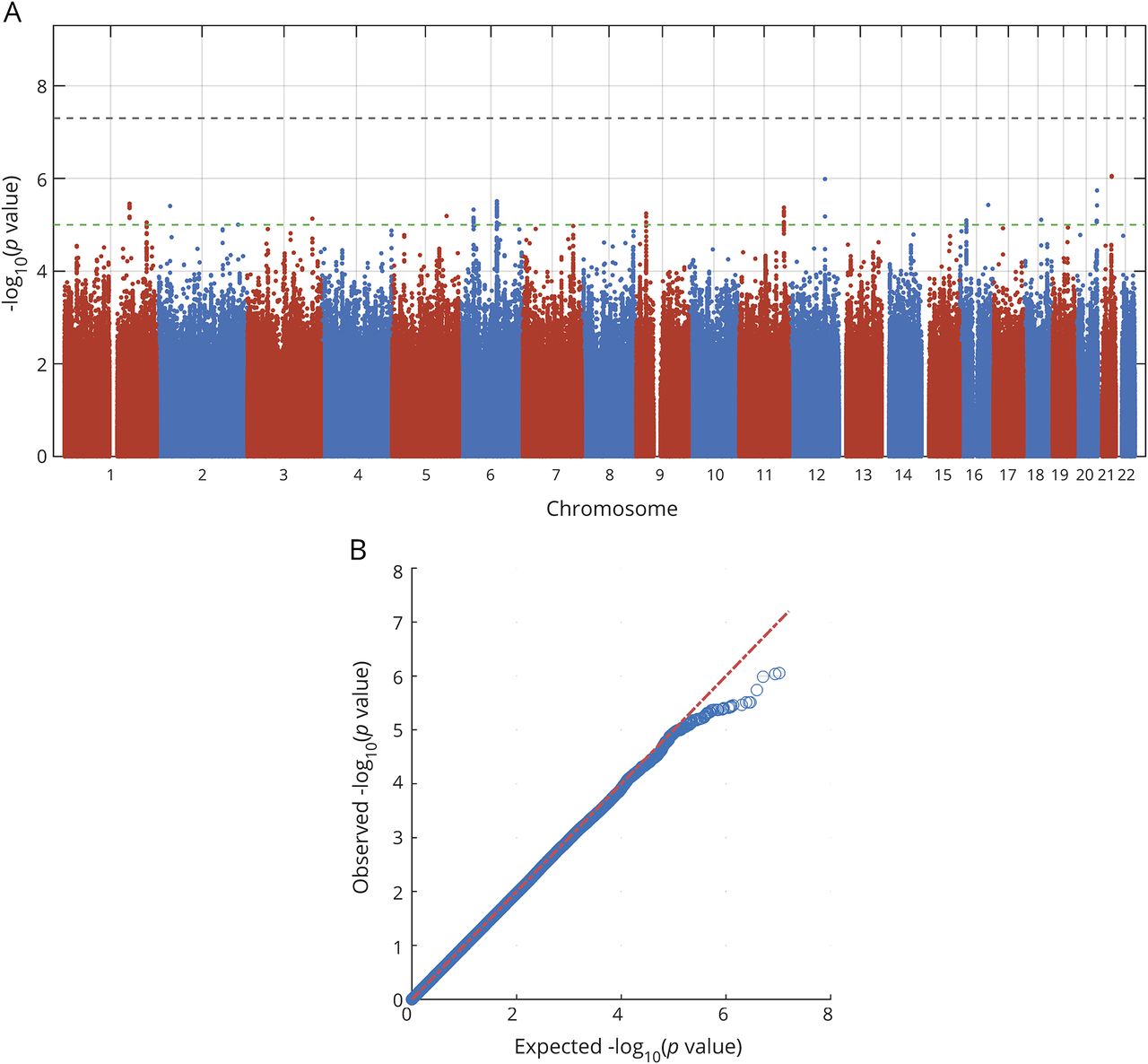
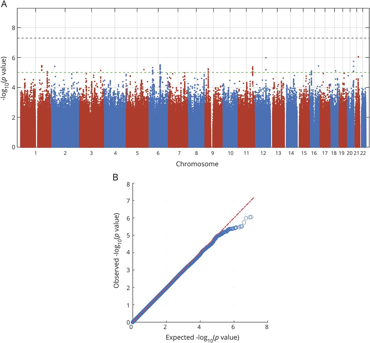
采用METAL软件进行逆方差加权固定效应meta分析。12次要等位基因频率<0.01的变异被排除。50%的队列中缺失的变异也被排除在外。经过筛选,每个最终的荟萃分析中包含了大约850万个snp。分位数图如图所示图1和2以及从Dryad获得的数据(图e-1至e-4),doi.org/10.5061/dryad.s38kf65)和基因组膨胀因子(λ)显示在Dryad提供的数据中(表e-4)。根据这些措施,没有出现人口分层的迹象。在荟萃分析中检验了研究间SNP效应的异质性。
结果测量为缺血性卒中发作后3个月mRS 0-2 vs 3 - 6。虚线表示全基因组意义(黑色,p<5 × 10−8)和暗示性联想水平(绿色,p< 10−5).结果根据年龄、性别、主成分和基线NIH卒中量表评分进行调整。mRS =修正Rankin量表。
结果以缺血性卒中发作后3个月的普通mRS测量。虚线表示全基因组意义(黑色,p<5 × 10−8)和暗示性联想水平(绿色,p< 10−5).结果根据年龄、性别、主成分和基线NIH卒中量表评分进行调整。mRS =修正Rankin量表。
标记与p值<5 × 10−8被认为与结果有显著关联,而与p值<1 × 10−5被认为是暗示性的。为了便于二分类分析和顺序分析结果的比较,我们将所有效应量表示为次要等位基因每个拷贝的优势比(or);OR <1表示每个次要等位基因拷贝的mRS评分较高(预后较差),OR <1表示mRS评分较低。
表达数量性状位点的研究
我们探索了标记与p值<1 × 10−5和代理snp (r2在包含许多组织的公开可用数据集中表达数量性状位点(eqtl):基因型-组织表达(GTEx) V6;13GRASP2,14,15人类遗传变异数据库(HGVD);16和BIOS。17eQTLs,p< 10−4被认为是显著的。
基于基因的分析
每个meta分析均采用基于欧洲人群的带有连锁不平衡结构的VEGAS2进行基于基因的检测。18每个基因的非翻译区3 '和5 '±10 kbp内的所有snp都被包括在内,以解释潜在的调节变异。18包含的基因数量约为23000个,这对应于bonferroni校正的显著性阈值p< 2.2 × 10−6.
数据可用性
本研究过程中产生和分析的数据集应合理要求提供。
结果
年龄、性别和中风严重程度等特征,以及每个mRS评分和每个结果分析的纳入病例数,显示在表1.mRS 0-2与3-6的分析和顺序分析包括6021例脑卒中病例,而mRS 0-1与2-6的分析包括4363例。
染色体18q11.2上的一个常见变异(rs1842681,次要等位基因频率:0.23)与全基因组显著相关,结果定义为mRS 0-2 vs 3-6(次要等位基因OR: 1.40)。p= 5.3 × 10−9) (表2,图1,3.,4).无论是否调整中风严重程度(表2),并且在相同的方向上观察到这种关联,但对于普通mRS (OR: 1.17,p= 1.5 × 10−4)和mRS 0-1 vs 2-6 (OR: 1.12,p= 7.4 × 10−2).与此相一致,rs1842681在mRS类别上的次要等位基因数量分布显示mRS 2和mRS 3之间的阈值(来自Dryad的数据,图e-5)。doi.org/10.5061/dryad.s38kf65).这种变异位于基因的内含子中LOC105372028(长非编码RNA的同义词rp11 - 449 d8.5[Genome Reference Consortium Human Build 38/hg38]),并且位于几种调节蛋白的推定结合位点(HaploReg, 2018年3月21日)。GTEx(2018年6月1日)未报道该变体的eQTL。然而,在HGVD中,它有一个反式eqtlKLRAQ1(亦称PPP1R21,pHGVD= 1.67 ×10−7).PPP1R21(GTEx, 2018年6月1日)。
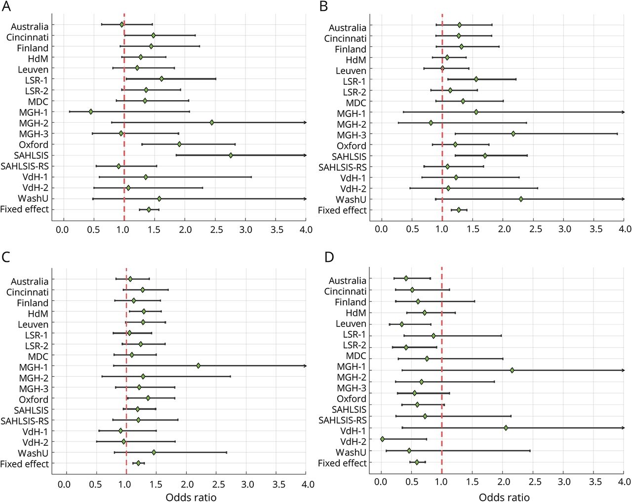
图中显示了(A) rs1842681 (mRS 0-2 vs 3-6)、(B) rs2236406 (mRS 0-2 vs 3-6)、(C) rs13299556(序数mRS)和(D) rs78734480(序数mRS)的次要等位基因的or和95%置信区间。效应大于1的or表示每个次要等位基因拷贝的mRS评分较高(结果较差)。结果根据年龄、性别、主成分和基线NIH卒中量表评分进行调整。关于队列缩写,见Dryad提供的数据(表e-1);doi.org/10.5061/dryad.s38kf65).mRS =修正Rankin量表;OR =优势比。
(A)与mRS 0-2和3-6相关的显著位点(rs1842681); (B)与mRS 0-2和3-6相关的内含子变异位点rs2236406PTCH1(C) rs13299556(基因中的内含子变异)显示与mRS 0-2 vs 3-6有关联也具有eQTL的基因TEK,pGTEx= 1.6 × 10−6(D) rs78734480(该基因的内含子变异)显示与序数mRS有关联NTN4结果根据年龄、性别、主成分和基线NIH卒中量表评分进行了调整。LOC105372028(图A中用红色表示)已经覆盖了GRCh37/hg19中缺失的基因组参考联盟人类构建(GRCh) 38/hg38。rs1842681变体是LOC105372028基因(18号染色体:24725781-24766645)。rs1842681在GRCh38/hg38中的位置,18:24761199。eQTL =表达数量性状位点;GTEx =基因型-组织表达;mRS =修正Rankin量表;SNP =单核苷酸多态性。
没有其他SNP与mRS 0-2 vs 3-6,或与顺序量表mRS (图1和2).每个结果的前10个独立位点的先导snp结果显示在Dryad提供的数据中(表e-5和e-6)。doi.org/10.5061/dryad.s38kf65).未经严重程度调整的分析结果显示在Dryad提供的数据中(表e-7和e-8以及图e-1、e-2、e-6和e-7)。报告的snp的影响没有异质性的迹象。所有我2值均<0.35p除了在mRS 0-1 vs 2-6的分析中有1个SNP (rs58448576),该SNP的异质性为1我20.48和ap值为0.03(未经多次检验调整)。在基于基因的分析中,没有基因达到预定义的显著性阈值(来自Dryad的数据,表e-9)。
mRS 0-1 vs 2-6的分析没有发现明显的关联。这些结果载于Dryad提供的数据(表e-12和e-13以及图e-3、e-4和e-8)。doi.org/10.5061/dryad.s38kf65).
与结果的暗示性关联
在12个不同的位点(距离至少为1mbp)中发现了33个SNPs。p< 10−5)与mRS 0-2和3-6相关(不包括18q11.2染色体上重要位点的snp),以及17个不同位点的75个snp与顺序mRS (图1和2).在这29个独立基因座中,16个基因座的顶端snp要么具有显著的对等qtl,要么位于或靠近大脑中表达的基因(<100 kbp) (GTEx, June 1, 2018)。在脑组织中未报道表达的5个基因在动脉或淋巴细胞中表达。(注18)
在这些暗示性关联中,有3个与实验证据表明对中风动物模型结果有影响的基因有关,下文将进行讨论。19,- - - - - -,21首先,rs2236406,一个内含子变体PTCH1基因,在mRS 0-2 vs 3-6分析中被发现(表2,图3),4).基于基因的分析还显示了与PTCH1与mRS 0-2比3-6 (p= 6.8 × 10−5).Rs2236406是长链非编码RNA RP11-435O5.5 (pGTEx= 5.7 × 10−7),它与PTCH1基因。其次,在序数分析中,发现rs13299556与mRS有暗示性的关联(表2,图3),4).低关联p值也发现该变异与二元mRS,尽管没有达到暗示性关联的水平(表2).Rs13299556是也基因。没有很强的联系也在基于基因的分析中(顺序mRS;p= 0.072)。然而,这种变体,以及与之高度联动不平衡的变体(图4),被报道为邻近基因的等效qtlTEK和LRRC19(pGTEx= 1.6 × 10−6两个)。的p这些基因的基因分析值分别为0.0019和0.084。预计该变异还会改变一个假定的调控基序序列(HaploReg, 2018年3月21日)。第三,发现了一个内含子变异与序数mRS的暗示性关联NTN4(rs78734480;表2,图3和4).该变异也与二分型mRS有较低的相关性p值,但不低于暗示关联的截止值(表2).
腔隙性与非腔隙性脑卒中分析
为了评估是否可以在腔隙性卒中(小血管疾病卒中,n = 992)或非腔隙性卒中(其他病因亚型,包括皮质梗死,n = 3991)患者中特异性识别出任何强关联,我们分别分析了这两组。未检测到全基因组显著关联p值>6 × 10−7).这些亚组之间的前5个发现有所不同,并显示在Dryad提供的数据中(表e-10和e-11)。doi.org/10.5061/dryad.s38kf65).
讨论
这项关于缺血性卒中后功能结局的GWA研究,包括6000多名患者,发现了一个重要的基因位点和几个与影响卒中恢复和预后的潜在机制相关的基因变异。在独立的数据集中复制这些发现是必不可少的下一步。这些遗传变异的效应量通常很小,进一步的研究应该包括更大的样本,以确定与中风结果相关的其他变异,并进行亚组分析。
mRS 0-2 vs 3-6的全基因组显著SNP (rs1842681)是该基因的内含子变异LOC105372028(长链非编码RNA),其功能仍有待确定。然而,表达分析表明LOC105372028在脑组织中含量最高(国家生物技术信息中心,= LOC105372028 ncbi.nlm.nih.gov /基因/ ?术语)和rs1842681位于一个假定的调控元件结合位点(HaploReg, 2018年3月21日)。此外,rs1842681是一个trans-eQTLKLRAQ1,也被称为PPP1R21该基因编码蛋白磷酸酶1 (PP1)的一个调控亚基。PP1是一种普遍存在的磷酸酶,涉及许多大脑功能,包括学习和记忆的形成。22,23PP1也是Ca的关键调控因子2 +/calmodulin (CaM)-dependent protein kinase II (CaMKII)信号,这是钙调素(calmodulin, CaM)-dependent protein kinase II (CaMKII)的关键信号2 +大脑中介导的神经元可塑性。24因此,尽管是推测性的,rs1842681可能会调节PPP1R21的表达,进而影响脑可塑性,从而影响脑卒中后的预后,这一假设需要通过功能实验来验证。在调整基线NIHSS评分后,观察到rs1842681与预后的关联,提示其机制与初始卒中严重程度无关。然而,显然需要进一步研究的额外数据来证实这一发现,并阐明该位点在中风后功能结局中的潜在作用。
29个独立的基因座与缺血性卒中的预后在预先确定的提示关联水平上相关。这些基因座中的三个与中风动物模型中影响预后的实验证据相关的基因。19,- - - - - -,21首先是内含子变异也(rs13299556)是序数分析中最重要的发现之一,并且与二分类结果的相关性较低p价值。它位于一个假定的转录因子结合位点,据报道是两个转录因子表达的eQTLLRRC19和TEK.LRRC19编码一种在调节神经突生长中具有潜在作用的蛋白质,25并可能因此影响中风的恢复。TEK编码主要在内皮细胞(ECs)中表达的酪氨酸激酶。的局灶性上调TEK已在梗死心肌边界的毛细血管中得到证实,并且在体外培养的人内皮细胞中,缺氧和促炎细胞因子可诱导表达.26TEK被血管生成素-1激活,这促进了内皮细胞的迁移、发芽和存活。27,28值得注意的是,啮齿动物缺血性中风模型的结果表明,血管生成素-1和TEK改善中风的结果,19一项临床研究报告了高血浆血管生成素-1水平与缺血性卒中后3个月mRS评估的不良预后之间的关联。29血管生成素-2是血管生成素-1的拮抗剂。30.与野生型小鼠相比,血管生成素-2功能获得小鼠在永久性中脑闭塞后血脑屏障通透性增强,脑梗死面积增加,两种表型均通过激活TEK信号。31同一项研究报告,与对照组相比,急性缺血性卒中患者循环血清血管生成素-2浓度升高。31最后,在缺血性卒中模型中,与野生型小鼠相比,2型糖尿病小鼠血管生成素-2升高,血管生成素-1/TEK蛋白表达降低,提示TEK信号可能参与了糖尿病引起的卒中后血管损伤。32
第二种是内含子变异PTCH1基因显示与mRS 0-2比3-6相关。PTCH1参与sonic hedgehog信号通路,该通路可减少神经元的氧化应激并调节缺血诱导的神经元祖细胞增殖。33,34在实验诱导的大脑中动脉闭塞大鼠中,抑制超音hedgehog基因信号导致梗死面积增加PTCH1当超音hedgehog信号被抑制时下调。20.,35两者之间的联系PTCH1因此,在本研究中观察到的卒中结果可能潜在地被梗死面积增加所解释。然而,当调整基线NIHSS评分时,这种变异的影响更强,这可能表明对恢复过程也有潜在的影响。
第三,in的变体NTN4显示与有序磁共振有关联,与二分类磁共振也有关联p价值。NTN4编码在脑组织中表达的netrin蛋白家族成员(ncbi.nlm.nih.gov /基因/ 59277),并在中风恢复过程中发挥生物学上合理的作用,如血管生成、神经突生长和迁移。36,37在小鼠模型中,NTN4NTN4在脑卒中后缺血性核心血管和星形胶质细胞中的表达上调,脑室内给予NTN4可改善血管生成和脑卒中后预后,可能是通过增加侧支血流量导致部分受缺血影响的神经元的存活改善。21在另一项研究中,NTN4在啮齿类动物的丘脑皮质轴突分支中有贡献,并且表达被皮层的神经元活动改变,这意味着NTN4可能通过活动依赖性表达对丘脑皮质轴突分支起到正向调节作用。38尽管推测性很强,但该基因可能在中风后轴突生长的可塑性过程和突触结构的恢复中发挥作用。
在这项研究中,与结果有暗示关联的其他几个变异与基因有关,这些基因可能潜在地机械地参与影响中风结果的过程。例如,RUNX1编码一种在动脉中高表达的矮胖相关的促血管生成转录因子(GTEx, 2018年6月1日),该因子在中风后上调。39在小鼠中,RUNX1在脑损伤后的神经干或祖细胞中被诱导,可能促进神经元分化。40TNR编码一种与神经元可塑性有关的蛋白质,这种蛋白质在大脑中高度表达。41,42在具有启发性发现的可能具有中风亚型特异性意义的基因示例如下MTHFS它参与叶酸和同型半胱氨酸代谢,对脑血管疾病有潜在影响的途径,43和SCML4,其中变异rs74514008在本研究中与序数mRS有相关性。SCML4在最近的一项GWA研究中显示与冠状动脉疾病相关,随后的功能表征表明在动脉粥样硬化中起作用。44
进一步探索与不同亚组(如某些脑卒中亚型、糖尿病患者或接受再通治疗的患者)预后相关的snp将是非常有兴趣的。无论病因如何,神经元损伤和恢复的机制可能有相似之处,但皮层和皮层下脑卒中后的恢复机制可能不同。因此,我们分别分析了腔隙性和非腔隙性卒中患者的mRS 0-2和3-6。前5个独立位点在两组之间存在差异,但未发现全基因组显著关联。由于样本量小,特别是对于腔隙性中风,这些分析显然是探索性的。因此,在更多患者的进一步研究中,一个重要的目标将是进一步探索特定亚群的遗传关联。
本研究的优势包括样本量相对较大,终点明确,遗传数据广泛,并且根据NIHSS评分进行了调整,以评估独立于基线卒中严重程度对结果的影响。我们进行了二分结果分析,以确定与日常生活活动依赖或独立相关的遗传变异,这反映了临床上功能结果的重要差异。我们还进行了顺序分析,旨在确定在不同程度的功能结果中具有相似影响的变异。为了检测这些变体,序数模型提供了更大的能力。8顺序方法的另一个优点是能够弥补研究之间mRS评估的任何差异。
还应该考虑到一些限制。虽然这项研究包括了6000多名缺血性卒中患者,但只确定了一个重要的基因位点,因此,研究结果并不能解释缺血性卒中结局的假设遗传变异。这意味着单个snp对缺血性中风结果的影响很小,我们的样本量甚至可能不足以检测常见的遗传变异。另一个重要的限制是结果的探索性,这显然需要将来在独立的队列中进行复制。使用mRS作为主要的结果指标是一个明显的限制,因为它是一个粗略的结果测量,特别是当二分类时。然而,mRS代表了卒中后功能结果的一种完善的、形式化的、容易获得的测量方法,并且二分类代表了临床和患者非常重要的差异。mRS评分在60天至190天的不同时间点进行评估,可能会稀释任何可检测到的关联,因为功能结果状态可能随时间而变化。然而,大多数纳入的研究在卒中发作后3个月±2周评估mRS。我们没有关于发病前mRS的信息,这将为计算功能能力的变化提供有价值的手段。此外,在不同时间点对中风严重程度进行评分。 However, in a majority of cases, NIHSS was scored early and in only 160 individuals later than day 3 after admission. As previously described,8我们缺乏一些影响结果的重要因素的数据,如急性治疗和康复,这就是为什么这些因素无法在分析中考虑。然而,来自具有组织型纤溶酶原激活剂治疗数据的队列(约占队列的一半)的数据显示,14%的患者接受了这种治疗。我们也不能排除选择偏倚的可能性,因为参与研究需要个人知情同意,数据输入也需要功能状态随访数据的可用性。与此相一致的是,我们的研究样本主要反映了较轻的中风(NIHSS得分中位数为4分,表1),这可能妨碍检测影响更大动态恢复范围的因素。最后,由于我们的研究人群是欧洲血统,所以结果不一定适用于其他中风人群。理想情况下,进一步的研究应该包括一系列预先指定的收集时间点,对中风结果有重要意义的特定临床变量,以及评估运动损伤、失语、忽视和认知损伤等几个康复领域的一系列结果指标。
在这第一个关于缺血性卒中后功能结局的大型国际GWA研究中,我们报告了一个显著的变异和几个变异与卒中发作后3个月的结果有暗示的关联,与卒中后恢复有可能的联系。未来对常见变异的研究应该包括更大的样本量,使亚组分析成为可能,以及复制目前的结果和阐述潜在的机制。
作者联系
来自隆德大学临床科学系Malmö (M.S.)和隆德临床科学系,神经病学(b.n., A.L.);首页隆德sk
研究资金
中风遗传学网络(SiGN)研究由美国国家神经疾病和中风研究所(NINDS), NIH (U01 NS069208和R01 NS100178)的合作协议资助。SAHLSIS由瑞典心肺基金会(HLF-20160316)、瑞典研究委员会(K2014-64X-14605-12-5)、瑞典中风协会、瑞典国家(在“Avtal om Läkarutbildning och Medicinsk Forskning, ALF”下)(ALFGBG-720081)支持。澳大利亚中风遗传学合作研究得到了澳大利亚国家卫生和医学研究委员会的支持。中风药物基因组学和遗传学小组得到了Invictus plus网络、Salud Carlos III研究所的Generation项目和Miguel Servet项目、Marató de TV3基金会的GODs项目和Epigenesis项目以及Catalunya政府的Agaur的支持。Arne Lindgren得到了瑞典心肺基金会、skamatne地区、skamatne大学医院、隆德共济会教院EOS、隆德大学、Färs & frosta基金会(Sparbanken skamatne的所有权基金会之一)和瑞典中风协会的支持。Martin Söderholm得到了瑞典中风协会、Färs & frosta基金会(Sparbanken sk
信息披露
M. Söderholm, A. Pedersen, E. Lorentzen, T. Stanne, S. Bevan, M. Olsson, J. Cole, I. Fernandez-Cadenas, G. Hankey, J. Jimenez-Conde, K. ood, J. Lee, R. Lemmens, C. Levi, B. Mitchell, B. Norrving, K. Rannikmäe, N. Rost, J. Rosand, P. Rothwell, R. Scott, D. Strbian, J. Sturm, C. Sudlow, M. Traylor, V. Thijs, T. Tatlisumak, D. Woo, B. Worrall和J. Maguire报告没有披露与手稿相关的信息。A. Lindgren报告了拜耳、阿斯利康、勃林格殷格翰、BMS辉瑞、ReNeuron的顾问委员会、演讲、研讨会参加的个人费用。C. Jern报告没有披露与手稿相关的信息。去首页Neurology.org/N全面披露。
鸣谢
作者感谢瑞典卒中质量登记,Riksstroke,协作为一些纳入的研究提供了有关结果测量的信息。
附录的作者
脚注
↵*这些作者对这项工作做出了同样的贡献。
↵‡这些作者共同监督这项工作。
去首页Neurology.org/N全面披露。作者认为相关的资金信息和披露(如果有的话)将在文章末尾提供。
物品处理费由瑞典政府资助(在“Avtal om Läkarutbildning och Medicinsk Forskning, ALF”下)。
编辑、页面549
- 收到了2018年7月6日。
- 最终接受2018年11月9日。
- 版权所有©2019由Wolters Kluwer健康公司代表美国神经病学学会出版。首页
这是一篇开放获取的文章,根据创作共用署名许可4.0 (CC BY),允许在任何媒介上不受限制地使用、分发和复制,前提是正确引用原始作品。
参考文献
- 1.↵
- 2.↵
- 3.↵
- 4.↵
- 5.↵
- 赵J,
- 吴H,
- 郑l,
- 翁Y,
- 莫Y
- 6.↵
- 7.↵
- 8.↵
- 马奎尔J,
- 贝文年代,
- StanneTM,等
- 9.↵
- 10.↵
- 11.↵
- 12.↵
- 13.↵
- 14.↵
- 15.↵
- 16.↵
- 17.↵
- 接合器乔丹,
- LuijkR,
- ZhernakovaDV,等
- 18.↵
- 19.↵
- 20.↵
- 21.↵
- 22.↵
- 23.↵
- 24.↵
- ShiodaN,
- 的巨大K
- 25.↵
- 26.↵
- 27.↵
- 28.↵
- 29.↵
- 30.↵
- 31.↵
- 32.↵
- 33.↵
- 34.↵
- 35.↵
- 36.↵
- 37.↵
- 38.↵
- 39.↵
- 40.↵
- 41.↵
- 42.↵
- 43.↵
- 44.↵
信件:快速在线通信
需求
如果你要上传关于文章的信件:
您必须在六个月内更新您的披露:http://submit.首页neurology.org
您的合著者必须发送一份完整的出版协议表格来首页(对于主要/通讯作者不需要填写以下表格即可),然后再上传您的评论。
如果你在回复一篇关于你最初撰写的文章的评论:
您(和共同作者)不需要填写表格或检查披露,因为作者表格仍然有效
并适用于信件。
提交规格:
- 文章必须少于200字,参考文献少于5篇。参考文献1必须是你所评论的文章。
- 投稿者不得超过5人。(例外:原作者回复可以包括文章的所有原作者)
- 只可提交发稿日起6个月内发表的文章。
- 不要冗余。在提交之前阅读文章上已经发布的任何评论。
- 提交的意见在发表前须经过编辑和编辑审查。
你可能也感兴趣
相关文章
主题讨论
提醒我
推荐的文章
- 摘要
第19届国际中风遗传学联合会研讨会,2016年4月28日至29日,美国马萨诸塞州波士顿et al。
首页神经病学:遗传学,2017年3月30日 - 摘要
第20届国际中风遗传学联合会研讨会,2016年11月3-4日,意大利米兰et al。
首页神经病学:遗传学,2017年3月30日 - 摘要
第25届国际中风遗传学协会研讨会论文集:剑桥,英国Jemma C. Hopewell, Matthew Traylor, Hugh S. Markus等人。
首页神经病学:遗传学,2020年5月21日 - 文章
COL4A1/COL4A2的常见变异与散发性脑血管疾病有关Kristiina Rannikmäe, Gail Davies, Pippa A. Thomson等。
首页神经病学,2015年2月4日


