结果的异质性和偏见在急性实验性脊髓损伤
一个荟萃分析
文摘
客观的以确定是否以及在多大程度上偏差和低估了可变性破坏临床前研究临床翻译的预测价值。
方法我们调查了实验性脊髓损伤(SCI)研究结果的异质性和偏见的影响。数据从549年临床科学研究包括9535只动物与多元回归分析评估各种研究的影响特点和神经功能恢复的质量。
结果总的来说,包括干预报告神经行为结果提高26.3%(95%置信区间24.3 - -28.4)。对治疗的反应依赖于实验建模范例(神经行为评分,受伤的网站,和动物物种)。应用多个结果措施一直与小尺度效应与相关研究应用只有1测量结果。超过一半的研究(51.2%)没有盲法评估报告,构成评价偏差的可能来源,夸大效果的7.2%。发表偏倚评估,由此推断来识别可能缺失的数据,建议在2%和41%之间的实验仍未公开。包含这些理论缺失的研究表明一个高估的功效,减少的尺度效应在0.9%和14.3%之间。
结论我们提供经验证据普遍偏见的设计和报告的实验科学研究,导致过高的有效性。偏见妥协内部有效性和危害的成功翻译SCI从实验到临床治疗。
术语表
- BBB=
- 低音部,比蒂,Bresnahan;
- 百时美施贵宝=
- 低音部鼠标运动的规模;
- CAMARADES=
- 协作方法荟萃分析和审查的动物实验研究的数据;
- CI=
- 置信区间;
- OEG=
- 嗅鞘神经胶质;
- SCI=
- 脊髓损伤
创伤性脊髓损伤(SCI)影响全球每年成千上万的病人,并据估计,500万名患者目前受到科学的长期后果的影响。1,2尽管成功改善创伤性脊髓损伤的预防,它已经被预测,人口增长将导致一个稳定甚至SCI患者的总数增加。3然而,有限的金融资源,异构病变,临床试验和小数量的损害临床翻译。寻找新的治疗这些人依靠科学的动物模型。这些被认为具有良好的有效性和足够像SCI在人类让它们高度相关的翻译。4这是真的,只要考虑平移的局限性。这些包括运动(有四足的运动在啮齿动物模型的差异5),神经支配与运动相关或精细运动控制,6,7不同的损伤模式(持续的脊髓压迫,8在人类科学伴随损伤神经根5),炎症反应,9和其他方面的啮齿动物的生理学和病理生理学的实验科学。除了跨物种差异,方法学的缺点也被认为有助于转化失败(转化障碍)的动物model-derived发现。10,- - - - - -,12确定在多大程度上可以避免的方法学限制适用于实验科学研究,我们旨在描述研究设计的影响,研究质量和偏见。为此,我们的表现发表SCI动物研究数据的荟萃分析。这些技术允许我们询问数据大量的动物,减少个人动力不足的影响研究。统计能力不足已被确定为一个主要的独立的缺点限制了动物模型的平移和预测价值。13,14
开发新疗法的医疗需要强调临床前动物实验的必要性产生临床价值(平移)数据。这需要评估的混杂变量,这可能损害检测的信噪比和减少的可能性的影响。
实验和发表偏倚的风险限制的价值发表文献药物测试因为导致过高的影响大小。考虑到系统评价和荟萃分析已经确定了有限的内部效度(例如,由于偏见)与膨胀效应大小在缺血性脑损伤的临床前的研究中,12我们调查是否以及在多大程度上可以预防的偏见也会影响实验的科学研究。务实合作的方法来分析和审查的动物实验研究的数据(CAMARADES)方法是有价值的在决定一个特定的数据集的可能性受到这些问题。
在这个荟萃分析和多元回归,我们确定研究的影响特点、方法学和报告偏见,和共同meta-epidemiologic特征实验后神经行为复苏SCI 9535年一大群动物。
方法
文献检索
本研究包括CAMARADES数据库中存储的数据。CAMARADES数据库包含临床前动物各种疾病的数据(例如,中风,SCI,心肌梗塞,神经性疼痛)自2004年以来举办了爱丁堡大学的。访问CAMARADES国际上可用的数据库请求。在这项研究中,所有可用的SCI动物数据从数据库中选择2015年9月,包括6个独立评估文献的分析不同的SCI干预:减压、体温过低,制药ρ/摇滚通路的抑制剂,细胞治疗(干细胞,嗅鞘神经胶质[OEG]),和体育锻炼后受伤。所有的协议和相应的研究这一荟萃分析的协议被提前完成数据收集和可在线(dcn.ed.ac.uk / camarades research.html #协议)。五6研究已经发表的系统回顾和荟萃分析。15,- - - - - -,20.合格标准适度在纳入研究的特征不同,但每个运动的复苏实验报道SCI模型。我们排除了研究没有报告每组动物的数量,平均效应值,其方差。最初的文献搜索3在线数据库(PubMed、EMBASE和ISI科学网络)进行,直到2014年10月发布的研究之前,由2个独立调查人员的筛选。数据库内的搜索并不局限于特定的年。
数据提取
从每个出版研究特征提取到CAMARADES数据库概述在之前的评论。15,- - - - - -,20.简单地说,当一个出版物报道> 1的实验中,他们被视为独立的实验。实验报告的改善功能结果衡量神经行为评分,只有最后的时间点提取。研究被排除在外,如果他们没有报告每组动物的数量,平均效应值及其SD,或扫描电镜。在各种测量结果报告同样的动物群体,我们汇集这些多尺度包含一个值。每个研究的质量评估与修改后的九分清单21(1)报告的样本大小计算,(2)控制动物的温度,(3)使用麻醉剂其他比氯胺酮(因其显著的内在神经活动),(4)治疗随机分配,(5)治疗分配隐藏,(6)盲法评估结果,(7)发表在同行评议的杂志上发表;(8)声明符合监管要求,和(9)声明的潜在的利益冲突。
分析
归一化效应大小(归一化平均差)计算每个实验比较的比例改善治疗与对照组相比,这一估计的标准误差。当一个对照组为多个治疗组,对照组被调整账户的大小。这个数字纠正被用于任何进一步的计算和影响权重的大小。22
我们根据(1)应用分层分析治疗,(2)使用的神经行为评分(低音部,比蒂,Bresnahan (BBB)得分23;低音部移动鼠标量表(BMS)24;Tarlov规模25;其他人),(3)模型和水平的损伤,(4)研究特征(时间治疗,结果评估,动物性和应变),(5)麻醉方案(麻醉剂的使用和方法通风),和(6)方法学质量的研究根据九分清单。群内分层动物数量占总数的1% >被认为是一个单独的组。小群体占< 1%的人组合在一起,称为人。
我们应用随机效应回归分析计算总体治疗效果,结合各地功效的研究来评估每个分层标准的团体之间的显著差异。多元回归与metareg占据的函数/ SE13 (StataCorp,大学城,TX)使用,26显著性水平是p= 0.05。单变量的方式进行多元回归,因为主要担忧的可靠性提出了多变量分析需要进一步统计调查。27调整R2值计算评估多少剩余异质性解释为每个独立变量在一个分层的数据集。22的调整R2被定义为解释方差的比例各自分层的总方差(所有实验在一起)。更高的R2值表明有较高的解释性价值这个分层。限制使用最大似然估计方差的添加剂(学术研究)组件tau2多元回归。26因变量,在所有情况下,标准化的作用大小。
漏斗图28修剪和填充分析29日,30.进行与metatrim占据/ SE13的函数。杜瓦和Tweedie29日非参数调整和填充方法估计缺失的研究(发表偏倚),可能已经执行但不供分析使用简单rank-based缺少研究数据增强技术调整。归一化平均差(效果)绘制精度(1 / SEM)。metabias函数检测发表偏倚的存在由标准正态Egger回归的拦截对精度偏离。31日数据绘制SigmaPlot (Systat软件公司,圣何塞,CA)。
数据可用性
数据没有提供本文将请求的其他调查人员共享为目的的复制过程和结果。
结果
选择数据集和研究细节
CAMARADES数据库包含细节549实验从1967年到2014年从303年包括出版物报道功能改进评估神经行为评分(表1)。
我们包括的数据来自9535动物。总的来说,使用控制动物数量小于20%,接受治疗的人数(控制动物n = 3765, 39.5%;对待动物n = 5770, 60.5%)。六种不同的动物物种被用来调查SCI的治疗干预措施:8108只老鼠(85%),1199只老鼠(12.6%),107只狗(1.1%)、57个猴子(0.6%)、44个兔子(0.5%),和20羊(0.2%)。
研究特征及其对神经行为影响的结果
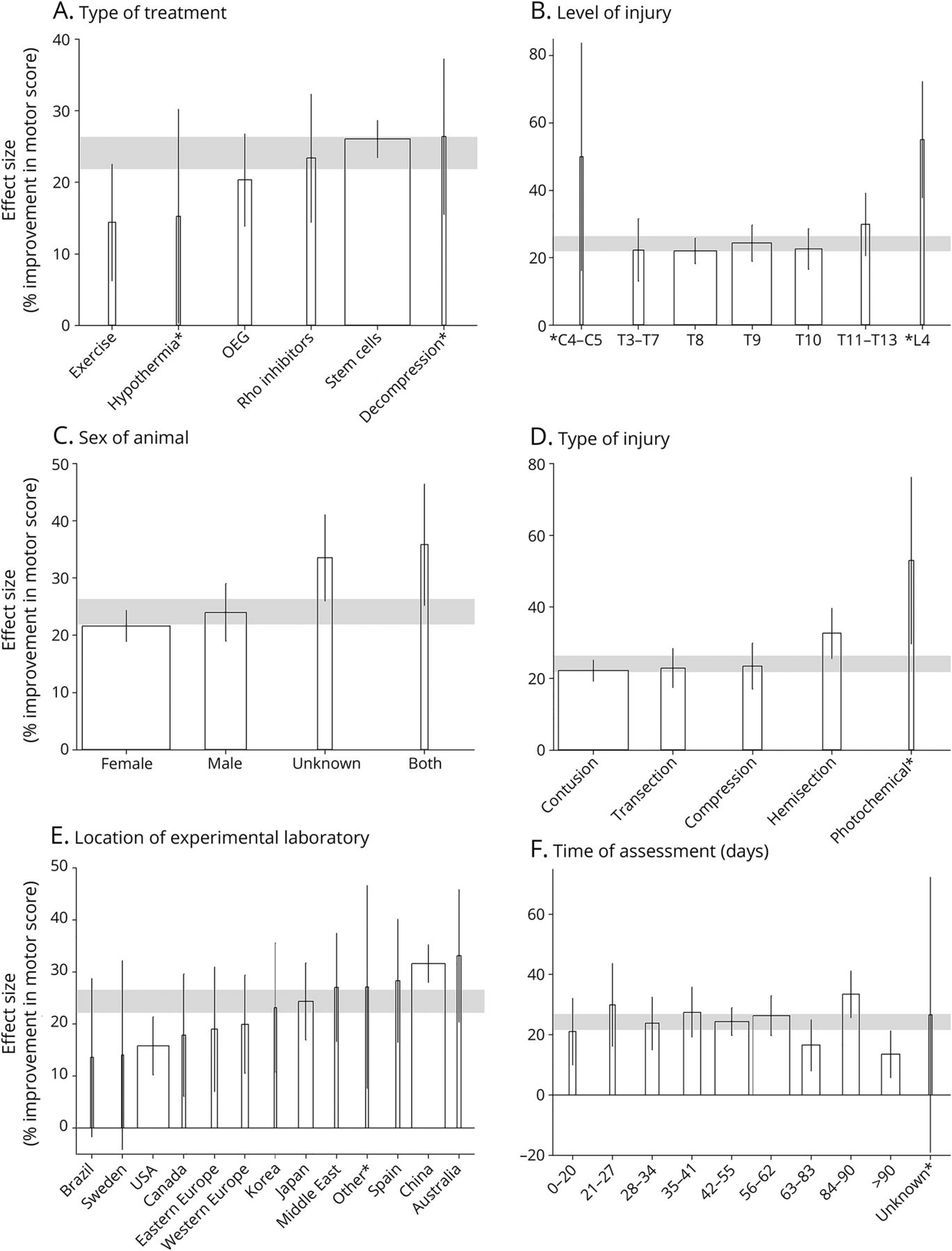
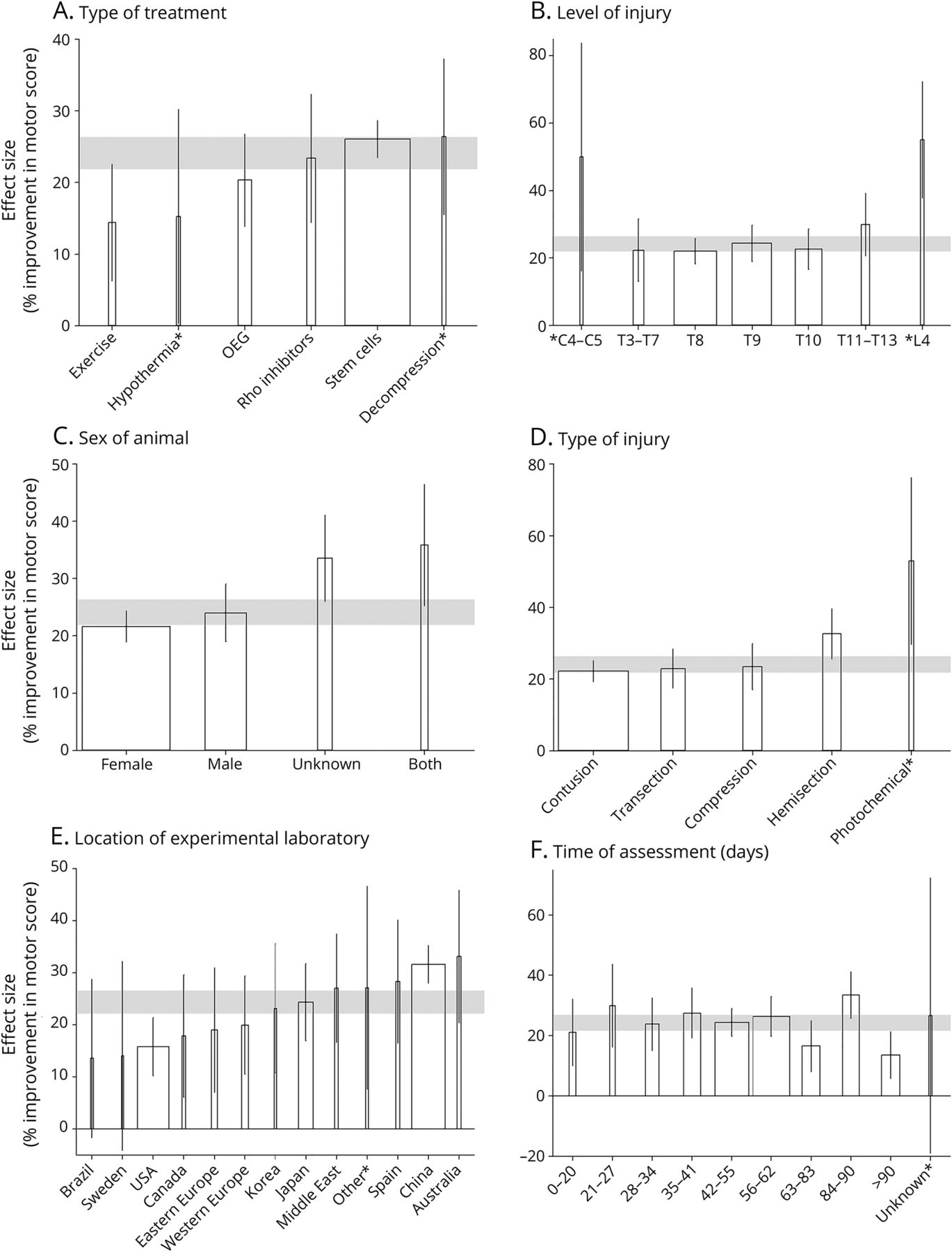
随机效应多元回归显示整体效果为26.3%(95%可信区间(CI) 24.3 - -28.3,我2= 98.6%)当所有包括神经行为分数的总和。探索异质性的来源,我们应用多元回归和确定了几个研究中占重要的设计特点,研究异质性(图1和图2)。研究特征表示的患病率(栏的宽度表示的数量研究)和可变性(CI)。
层次的研究特征在整个数据集,包括所有报告神经行为结果分数和动物物种。(A)老鼠是最普遍的脊髓损伤SCI模型,其次是老鼠,而大型动物脊髓损伤(SCI)模型,包括狗、猴子、兔子、羊,很少见,特点是定制评分系统与大尺度效应和扩展的变化。(B)各种神经行为结果量表是用来评估在整个数据集SCI后功能恢复。低音部,比蒂,Bresnahan (BBB)评分和低音部鼠标规模(BMS)得分为运动被确定为最常用的分数和改善运动报道相似。齐次BBB / BMS只有队列(红场)是在一个单独的subanalysis评估。(C)只有不到一半(48.8%)的介入研究报告说,他们在蒙蔽的方式进行的,不同的计算效果大小的7.2%。(D)报告符合动物福利的协议是缺乏研究的29.5%,与5.6%的更大的尺度效应和更大的可变性。灰色酒吧代表全球的95%可信区间(CI)估计(神经复苏)。垂直误差显示个人的95%可信区间的意思。每个栏的宽度表示每项指定发生的动物数量百分比。 Asterisks indicate stratification items for which the bar width was broadened later for better visibility. All stratifications account for a significant proportion of between-study heterogeneity (p< 0.02)。
脊髓损伤(SCI)的微分方面建模对神经功能恢复评估包括只研究应用低音部,比蒂,Bresnahan (BBB)或低音部鼠标规模(BMS)分数。这群均匀(红场,B)由6048年的9535只动物(63.4%)。(一)六种不同的干预措施包括在多元回归。(B) Lesion-level问题。更有喙的病变程度(高胸)沿神经轴导致较小的结果相比,获得更多的远端胸病变。高颈(C2-C4)病变水平被认为是一个单独的队列在这方面,只有单方面的半切术可以执行在这个水平,因为完全横断或严重挫伤技术挑战性或否则会导致立即死亡的动物。(C)雌性啮齿动物构成的主要群体测试实验科学。(D)严重挫伤和完全横断损伤导致大多数神经功能受损和效应值最低,其次是静态视频压缩。半切术和光化学损伤(焦点局部应用高能光和/或化学物质)诱导只是轻伤,与最大的进步。(E)实验室的地理位置影响的报道神经复苏。 Individual countries were identified if they contributed >200 animals to the dataset. (F) Effect size of the investigated intervention decreased with extended assessment period after SCI. Effect size depended on the duration of the assessment and started to intermittently drop below the average with observational time frames >8 weeks, whereas the variability remained similar. Gray bars represent the 95% confidence interval (CI) of the global estimate (neurologic recovery). Vertical error bars show the 95% CI of individual means. Width of each bar indicates the percentage of reported animal numbers per specified item. Asterisks indicate stratification items for which the bar width was broadened later for better visibility. All stratifications account for a significant proportion of between-study heterogeneity (p< 0.001)。OEG =嗅鞘神经胶质。
动物模型
实验SCI大鼠构成最普遍的损伤模式和数量鼠标SCI,尽管后者提供了遗传操作的优势(图1一个)。变异的小鼠相比,大鼠95%的CIs更大。尺度效应对大动物SCI模型,包括狗、猴子、兔子、羊、主要应用定制的评分系统和一般都较大,与更大的可变性(R2= 8.0%,p< 0.0001)。
神经行为量表
多个神经行为结果量表是用来评估功能恢复SCI后(图1 b)。BBB和百时美施贵宝23,24分运动是最常见的应用,占66.7%(6302 9462年的动物)。中投BBB评分评估后腿运动和前/后腿协调在一个开放的现场试验的老鼠,而百时美施贵宝的分数是适应恢复模式在老鼠身上。23,24BBB和百时美施贵宝分数报告了类似的改善运动在整个分析(图1 b红场)。BBB和百时美施贵宝的分数也与最小的测量的可变性(CI)。效果是最低的情况下当多个评估(> 1的结果测量在一项研究中报道)使用(R2= 14.7%,p< 0.0001)。动物与过时的Tarlov规模评估显示,最大的进步。尽管有相当大的差异在SCI损伤神经病理学鼠类(空泡形成,炎症反应),32,33经济复苏的相对量和应答率实验SCI后小鼠(BMS)和大鼠(BBB)可比性。
影响设计的实验科学研究神经复苏啮齿动物模型
解决的可能性效应大小的差异可以归因于不同的评分系统应用于啮齿动物和大型动物模型,我们进行了subanalysis BBB / BMS得分只有人口(图2)。类似的BBB(老鼠)和百时美施贵宝(鼠标)尺度效应(图1 b)保证足够的相似性为基础来研究不同的实验设计的相关性神经复苏。BBB / BMS只有人口,多元回归计算的影响大小为24.0% (95% CI 21.9 - -26.2,我2= 98.9%;表2)。
类型的治疗
我们比较定量数据对SCI干预相关的临床科学从急性护理慢性科学。这些包括减压、低体温、医药(ρ/岩石通路)和细胞治疗(干细胞,OEGs)和康复干预措施(自愿和强制运动)。急症护理干预在高尺度效应与相关康复干预措施,诸如锻炼(图2一个)。改善电机减压手术的结果SCI后最为明显(27.1%),其次是干细胞(26.2%)、ρ/摇滚抑制(21.3%),和体温过低(16.3%)。锻炼了最低的尺度效应(14.4%)。干细胞移植研究动物(的占总数的65.3%R2= 3.0%,p= 0.0022)包含在这subanalysis。
程度的伤害
最常见的损伤是Th8水平位置,其次是Th9和Th10 (图2 b)。水平的损伤影响效应大小,与病变deafferentated传入目标距离(腰骶的电动机池)导致更大的尺度效应,模仿一个指数曲线函数(R2= 4.5%,p= 0.0047)。解释的高颈SCI的数据是有限的进一步通过小样本大小,大的方差,和那么严重病变的使用模式。因此,实验科学是由胸低科学范式。
性
雌性啮齿动物在数量上超过男性(58.2%的女性,27.4%的男性;图2 c)。研究包括两性的特点是一个更大的可变性导致延长CI (R2= 3.5%,p= 0.0018)。
类型的损伤
SCI诱导了5种不同类型的损伤(图2 d)。挫伤和横断面是最严重的伤害,产生最小的介入效果。静态压缩与略好尺度效应有关,其次是半切术。光化学损伤(焦点局部应用高能光或化学品)很少是应用和诱导只有轻伤,与电动机最大的改进反应评分(R2= 3.8%,p= 0.005)。挫伤SCI是迄今为止最常见的损伤模式动物(n = 3983)。
实验室的位置
实验室的区域位置的报道效果的影响大小(图2 e)。大部分的动物实验进行在中国,美国,日本R2= 8.3%,p< 0.0001)。中国和澳大利亚的研究与大尺度效应有关,而研究来自巴西,瑞典,美国,和加拿大与最小的尺度效应有关。列出所需的动物数量为每个国家是200,不包括那些否则分配给其他人。
评估的时间点
研究包括长期结果(>两个月的评估时间框架)是弱势。调查干预减少的效应大小与扩展的评估期SCI后,开始间歇性地低于平均观测时间框架> 8周。下降效应大小8周后点的风险干预只提供了暂时的利益,随着时间递减,因此不太可能转化为长期的结果。这符合干预能够触发更快复苏,但未能达到更高功能高原更长时间随访。减少的模式效果并不依赖于早期和晚期的干预。这个规则的可能性减少效应大小8周后产生更多的研究测试延迟的应用程序。变异性是最高的情况下观察时间并不表示(R2= 4.6%,p= 0.0017;图2 f)。
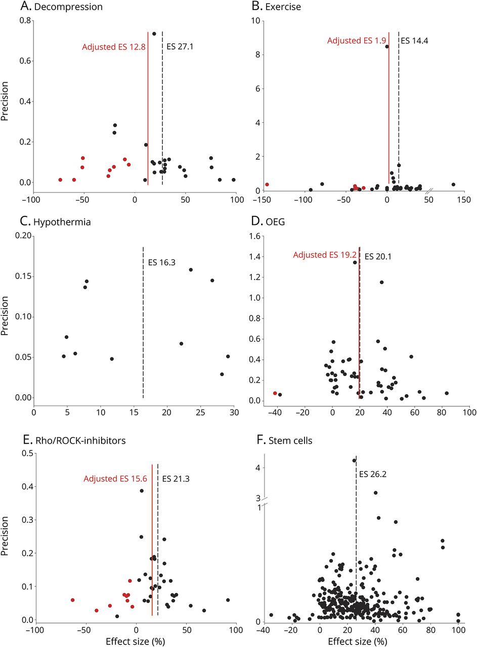
检测发表偏倚(缺失的数据)
在考虑所有研究齐次BBB / BMS组(表2)包含数据从6302年动物分层干预的类型,我们观察到一个高估的功效将丢失的数据。漏斗绘图和修剪和填充分析表明,4人失踪的数据类型的SCI干预措施。每个研究的报道效果调整的绝对高估的功效研究介于0.9% (OEG)和14.3%(减压)(图3和表2)。评估缺失的数据/发表偏倚的修剪和填充方法建议的数量缺少实验测试中不同干预措施,从0%(干细胞,体温过低)到1.9% (OEG), 20%(锻炼),30%(ρ/岩石抑制),40.9%(减压)。不对称的数据表明缺失的数据证实了Egger回归,显示明显的偏见在BBB / BMS只有数据集。
允许更均匀的组织特点是类似的效果大小(ESs)、啮齿动物分析完成识别低音部,比蒂,Bresnahan (BBB) /低音部只老鼠规模(BMS)集团对主要结果参数(运动功能改善,图1 b红场)。漏斗图说明精度(1除以SEM,轴)策划对标准化ES(轴)。每个黑点代表1的实验。在没有发表偏倚,点应该像一个倒置的漏斗。黑色虚线表示在包含失踪的报道ES研究;红线,修剪后,直到分析。(一)减压:ES 27.1%(95%可信区间(CI) 15.1 - -39.1, n = 22研究),调整ESs 12.8% (95% CI 1.7 - -24.0, n = 31)。(B)练习:ES 14.4% (95% CI 6.4 - -22.3 n = 35),调整ES 1.9% (95% CI 6.9−10.7 n = 42)。(C)体温过低:ES 16.3% (95% CI 10.3 - -22.3)没有调整。(D)嗅鞘神经胶质(OEG): ES 20.1% (95% CI 15.2 - -24.9 n = 53),调整ES 19.2 (95% CI 14.4 - -24.0 n = 54)。 (E) Rho/ROCK inhibitors: reported ES 21.3% (95% CI 16.0–26.6, n = 30), adjusted ES 15.6% (95% CI 10.1–21.2, n = 39). (F) Stem cells: reported ES 26.2% (95% CI 23.9–28.5) without detection of missing studies.
地理差异
探讨差异归因于区域尺度效应(表3),我们专注于3的比较高的国家研究数量和相对小的CIs(美国、日本和中国)。我们排除了数据从其他国家低很多研究数字(由小酒吧表示宽度,图2 e),因为分析动力不足。国家的差异可能与不同比例的干预与大尺度效应(干细胞研究的比例:中国31.3%,日本25.5%,和美国17.3%)。然而,当我们专注于干细胞干预,观察类似的地理模式,最高的效果(31.3%)中观察到的研究相比,中国实验室研究从日本(25.5%)和美国(17.3%)。当我们比较后恢复的影响大小完全横断损伤类型定义,对治疗的反应是研究从中国最高(28.2%),紧随其后的是日本(9.3%)和美国(8.5%)。协会研究质量差(以质量分数)和更大的治疗效果大小一直在早些时候报道其他中枢神经系统损伤模式和可观察到的在SCI研究从日本(p= 0.002)和美国(p= 0.06)。相比之下,在中国研究,效果没有与质量分数。
讨论
我们将演示meta-epidemiologic方法的可行性和实用系统的评估结果的可变性和检测存在的偏见在实验科学的设计和报告的研究通过一个荟萃分析的数据从9535年303的出版物,包括实验动物。偏见在实验科学研究提供经验证据导致膨胀效应大小,我们报告研究设计特征的影响神经行为复苏的异质性。
啮齿动物雌性构成临床SCI模型中使用的人口最多,老鼠占了大多数,老鼠(图1和图2)。结果措施的分析证实了开放田地BBB和百时美施贵宝测试运动复苏的强劲措施以类似的效应大小。强调证据的数据,结合多个功能结果测量检查特定组件的运动功能恢复的结果报告的膨胀效应大小。32非人灵长类动物被关联到一个巨大的影响大小和可变性。Tarlov分数是1954年发展起来的25和已经过时了。
独立团体作业(SCI感应蒙蔽,分配隐藏)和盲法评估(屏蔽)的结果是至关重要的,以避免普遍的选择和评价偏见;超过一半的研究分析缺乏致盲。缺乏基础垫层与疗效的一个重要夸大了7.2%整体队列在考虑所有物种和干预措施。然而,相对于测试干预措施的效果,55%的介入效果可能膨胀,由于缺乏致盲(例如,7.2%的13.1%运动作为一种干预)。除了致盲,符合监管要求的研究被认为是衡量质量。21缺乏报告这一标准与夸张的效果5.6%。
为研究提供更均匀subcohort微分的影响干预类型、病变水平,性别,损伤形态,发布实验室的地理位置影响耐久性,和丢失数据(出版/报告的偏见),随后的分析只局限于啮齿动物BBB / BMS组(n = 7613)。
干预措施
我们确定了6种不同的治疗干预措施,包括细胞的光谱疗法(干细胞,OEG),系统应用方法(低体温,ρ/摇滚抑制剂)和康复(锻炼)和外科干预(减压)。四6干预(67%)表现为数据的不对称,很大程度上归因于缺失的数据。3 6干预(50%),我们的分析确定夸张的效果(表2)。经典的急症护理干预措施的效果大小(得到和体温过低)大于康复干预措施的效应大小。运动干预的影响显示一个大型CI和指向变量的存在因素确定康复疗效。这些结果还表明,康复期间不能完全弥补丢失了急症护理,强调最佳的治疗价值急性SCI护理专业。回顾性临床研究急性护理干预措施如得到支持这一观点。34,35
SCI病变程度
我们提供的证据表明,除了不同病变程度,距离从损伤到腰骶的电机池是一个重要的决定因素的响应性治疗(图2 b)。越遥远的病变,神经功能恢复越低。每个脊髓水平效应大小的增加,下降沿神经轴,并不是线性的。每级损伤效应大小的远端Th10导致显著增加一步效应大小。证实了这种分层生物SCI模型的合理性,提高效果越接近病变位于腰骶的电机池,暗示内在修复/再生途径传播的复苏的底层机制。那么严重高颈模型自然会允许更高的补偿可塑性,导致更大的尺度效应,这使他们从力学上看非可比完成横断或挫伤SCI应用于低颈胸低网站。
性
相较于男性雌性啮齿动物显示小尺度效应(图2 c)。胸SCI是最普遍的群体建模实验科学(图2 b),在某种程度上匹配功能恢复较低在女性胸SCI (T2-8)。然而,这只是一个暂态效应,不再检测到人类SCI后1年。36
伤害类型
挫伤的伤害是最严重的损伤,以最小的尺度效应,以应对介入治疗。这符合证据的伤势恶化扩展吻侧和尾挫伤后病变部位,而即使完全横断,损伤仍是局部初始损伤的网站。32,37静态视频压缩损伤是一种严重的科学范式(略低于图2 d)。
地理的影响
分层的位置发布实验室显示差异(图2 e)。日本和美国的研究结果显示一个逆效应大小和质量之间的联系,确认从先前的荟萃分析发现在动物研究中,21而来自中国的研究没有(表3)。中国研究表明小变化的结果相比,研究来自日本和美国。大尺度效应随小CIs一致建议,动物被认为是局外人了进一步分析,导致摩擦的偏见。38数据显示地理差异对研究结果的报告,强调报告消耗战的重要性及其原因。
不稳定(瞬态)的治疗效果
我们观察到一个间歇的衰落效应大小从SCI后8周,建议伴随过程的存在破坏了运动功能。几个进程可能占这个,包括延迟神经退化39和祝词完整的轴突的神经传导失败慢性病变部位。40,41我们的结果表明,观测时间≥8周需要报告的持久的影响。数据表明瞬变的风险介入效果和需要支持长期/短期措施,结果符合急性中枢神经系统损伤的其他模型。42
报告偏差(缺失的数据)
我们提供经验证据的丢失的数据。整个BBB的修剪和填充分析/ BMS只有人将缺失的数据。这是确认Egger回归(表2)。发表偏倚在临床前研究中一个基本问题在许多学科。30.这种偏见的存在会导致膨胀效应大小和倾斜生物计划的临床试验和危害SCI疗法从基础研究到临床应用的成功翻译。这一事实的一些干预措施没有发表偏倚可以自动检测到可能有几个原因,不意味着它不存在。干预措施的分析与少量的实验是最有可能的动力不足。此外,即使对于大样本大小的干预,实验的精度可能会错误地由于未知的消耗增加。
关于这项研究的局限性,我们可以只包含数据从公共领域的研究。其次,对研究质量和设计特点,我们依赖的出版资料。当相关数据不可用(一群动物的性别或采取措施减少偏见),我们分析了他们不知道或推断,措施,没有报道并没有发生。第三,我们提出一系列单变量的多元回归分析。多元多元回归或分段分区的异质性可能会提供更健壮的见解,但这些技术并不完善。第四,我们的分析依赖于所使用的量表的有效性,已受到质疑。43第五,翻译成人类SCI的限制可能会抑制动物SCI模型,影响外部效度,如没有多发伤(包括椎骨骨折)。最后,我们接受了荟萃分析的弱点,结合各种动物模型的具体科学治疗一个非常大的数据集内,假定随机效应多元回归账户。检测可以避免偏见的可能性仍然是一个相对新颖但不完美的科学,因为报告标准通常是可怜的。然而,尽管不完美,分析代表最佳证据,代表最大的科学研究动物模型之一。
在这项研究中,我们提供了经验证据的微分结果特点归因于不同的SCI模型和实验设计。我们观察到的证据瞬态治疗效果,以及评价和发表偏倚,减少实验有效性和可能导致临床试验遵循假线索。发表偏倚的存在在基础科学研究证实了流行科学存在潜在的偏见,11而不是特定于科学。29日偏见在动物科学实验侵蚀翻译成人体科学试验的预测价值。偏见并不局限于实验测试还在平移谱发生在早期临床测试。44
科学领域积极应对这一挑战。45我们的数据通知4建议提高实验科学研究的预测价值转化成功的可能性更大:
作者的贡献
概念和设计的研究:r·罗瓦兹拉威克e·塞纳·m·麦克劳德D.W. Howells, J.M.施瓦布(susan Schwab);数据采集和分析:r·罗瓦兹拉威克a . Antonic j·皮;起草的很大一部分手稿或数据:r·罗瓦兹拉威克a . Antonic硕士科普,Dirnagl, D.W. Howells, J.M.施瓦布。
研究资金
没有针对性的资金报告。
信息披露
r·罗瓦兹拉威克a . Antonic e·塞纳·m·科普j .皮Dirnagl, m·麦克劳德和d·豪厄尔斯报告没有披露相关的手稿。j·施瓦布获得Else-Kroehner-Fresenius基金会的资金支持(2012号_a32);Wings-for-Life脊髓研究基金会(DE-047/14号DE-16/16);欧盟的Era-Net-NEURON程序(沉默01 ew170a, SCI-Net 01 ew1710);国家残疾研究所、独立生活和康复研究(90号si5020);星河的狩猎&、蔡玫柯蒂斯养老。J.M.S.是倡议学者发现主题(慢性脑损伤)的俄亥俄州立大学。去首页Neurology.org/N为充分披露。
承认
作者感谢Gillian Currie专家技术援助。J.M.S.完全访问所有数据的研究,负责数据的完整性和数据分析的准确性。脊髓损伤的临床与实验研究是一个相关的欧洲多中心研究脊髓损伤。
脚注
去首页Neurology.org/N为充分披露。资金信息和披露认为作者相关的,如果有的话,年底提供这篇文章。
↵*这些作者的贡献同样这项工作。
- 收到了2018年8月27日。
- 接受的最终形式2019年2月11日。
- ©2019美国神经病学学会的首页
引用
- 1。↵
- 2。↵
- 3所示。↵
- 4所示。↵
- 5。↵
- 6。↵
- 7所示。↵
- 8。↵
- SjovoldSG,
- Mattucci科幻小说,
- Choo我,等
- 9。↵
- 10。↵
- 11。↵
- 12。↵
- 13。↵
- 14。↵
- 15。↵
- 16。↵
- 后面;体育,
- SkeersP,
- Antonic一个,等
- 17所示。↵
- 后面;体育,
- 遗嘱TE,
- SkeersP,等
- 18岁。↵
- 19所示。↵
- 20.↵
- 罗瓦兹拉威克R,
- 塞纳西文,
- DirnaglU,等
- 21。↵
- 22。↵
- 23。↵
- 24。↵
- 25。↵
- Tarlov即时通讯
- 26岁。↵
- 哈伯德RM,
- 希金斯JPT
- 27。↵
- 28。↵
- 光RJ,
- 皮勒莫DB
- 29。↵
- 30.↵
- 31日。↵
- 32。↵
- 33。↵
- 34。↵
- 35。↵
- 36。↵
- 37岁。↵
- 38。↵
- 39岁。↵
- 40。↵
- 41岁。↵
- 42。↵
- 43。↵
- 44岁。↵
- 45岁。↵
- 46岁。↵
- 47岁。↵
- 48。↵
- 49。↵
- 卡拉汉一个,
- 安德森KD,
- 贝蒂女士,等
- 50。↵
- 51。↵
信:快速的网络通信
你可能也会感兴趣
相关文章
-
没有找到相关文章。
提醒我
推荐的文章
- 文章
心理或生理为什么瘫痪患者病人的内容?
法蒂玛·德·n . Abrantes-Pais威廉·r·乔伊斯·k·弗里德曼Lovallo et al。
首页神经学,2007年4月25日 - 文章
类使用的时机协会脊髓损伤后的运动康复弗雷达·m·华纳,杰奎琳·j·克拉格,凯瑟琳r . Jutzeler et al。
首页神经学,2020年9月28日 - 文章
Trajectory-Based分类复苏的感觉运动完成创伤性颈脊髓损伤祝福天然橡胶Jaja, Jetan Badhiwala,詹姆斯的客人等。
首页神经学,2021年4月13日 - 文章
睡眠呼吸障碍与脑脊髓损伤的血管反应性约旦w . Squair,阿曼达H.X.李,佐伊Sarafis et al。
首页神经学,2019年11月6日


