从1987年到2013年在瑞典的流行病学NMOSD
一个全国性的以人群为基础的研究
这篇文章有一个修正。请参阅:
文摘
客观的报告的年度发病率和患病率neuromyelitis谱系障碍(NMOSD)在瑞典和调查临床特点,治疗和结果。
方法我们进行了一项回顾性研究医院的案例记录的294人被诊断为neuromyelitis视(动)(G36.0 icd - 341.0 ICD-9)瑞典国家病人从1987年到2013年底注册或者检测到存在aquaporin-4 (AQP4)血清中免疫球蛋白G(免疫球蛋白)在研究期间。九十二例(51动41 NMOSD)会见了2006 Wingerchuk标准和被包括在研究。十动1987年之前的发病,患者存活在2013年底时包括估计患病率。
结果每1000000人平均每年发病率显著增加从0.30(可信区间(CI) 0.19 - -0.41)在1987年和2006年之间,至0.79 (CI 0.55 - -1.03)在2007年和2013年之间。患病率为10.4每1000000个人(CI 8.5 - -12.6)在2013年底。从开始到第一次复发的平均时间为1.42年(范围0.58 - -3.90)。复发的概率是60%,75%,此前5和10年之后出现。超过80%服用免疫抑制药物。3例患者在研究期间去世。
结论在研究期间增加的发病率可能是因为高度意识和提高核磁共振和AQP4-IgG分析。动在瑞典的发病率和患病率与其他国家人口主要白人相对应。我们发现,大多数病人服用免疫抑制药物,可能导致发现病例的死亡率较低。
术语表
- AQP4=
- aquaporin-4;
- CI=
- 置信区间;
- ICD=
- 国际疾病分类;
- 免疫球蛋白=
- 免疫球蛋白G;
- LETM=
- 纵向广泛的横向脊髓炎;
- 女士=
- 多发性硬化症;
- 动=
- 视neuromyelitis;
- NMOSD=
- 视neuromyelitis谱系障碍;
- NSPR=
- 瑞典国家病人登记;
- 在=
- 视神经炎;
- 先生=
- 标准化发病率比;
- TM=
- 横向脊髓炎
视Neuromyelitis(动)1是一种中枢神经系统炎性脱髓鞘疾病。2,- - - - - -,12动的主要表现是单眼或双眼视神经炎(上)或纵向广泛的横向脊髓炎(LETM),区域postrema,或脑干综合症,3,8,10,11,13,- - - - - -,17进一步与复发的风险,严重的残疾,而不是非同寻常的死亡。11动更丰富的女性(80%),和典型的发病年龄是35-42年。1,7,12,16,18,- - - - - -,23复发的疾病是80% - -90%的患者中描述。1,16,- - - - - -,21,24,25重要的是,常规检测和测量动自身抗体(动免疫球蛋白G(免疫球蛋白))针对aquaporin-4 (AQP4)受体在2007年左右成为可用。3,10,11,26,27NMO-IgG化验是高度特定(85% - -99%),但只有适度敏感(58% - -76%),虽然方法精制。13,26,- - - - - -,30.即使动谱系障碍(NMOSD)是一种罕见的疾病,重要的是区别于多发性硬化症(MS)因为治疗是不同的和几个女士治疗可能引起复发在动。31日,32
2006年,Wingerchuk et al。25修订的诊断标准动和NMOSD的引入。这使得临床医生诊断患者症状仅限于在或LETM AQP4-IgG的存在。3,11最近2015年诊断标准包括NMOSD MRI-specific项目和使患者的诊断non-opticospinal演示。总的来说,核磁共振和NMO-IgG抗体检测和诊断标准的调整,增加了检测NMOSD的可能性。
动每1000000人每年的发病率差异很大,从加泰罗尼亚的0.4到0.8在英国和丹麦南部中央丹麦4。1,9,12,22尽管许多流行病学研究NMOSD都是近年来进行的,许多人方法学的局限性,比如一些个人在每一个研究中,有限地理区域代表性还不确定,随访时间短,和年龄限制。9,19,22,24,33,- - - - - -,35此外,一些研究只有达到的情况下通过积极AQP4-IgG分析和没有完全访问所有病人的记录。因此我们开展一个全国性的、以人群为基础的队列研究的发病率和患病率动和NMOSD年龄在很长一段。此外,我们评估的临床特点、治疗和结果。
方法
数据收集
瑞典国家病人登记(NSPR)列出所有病人住院(总覆盖全国1987)或管理在医院门诊自2001年以来,瑞典。36在瑞典,绝大多数的神经病人随访和治疗医院系统。一些患者对待女士只有私人神经病学家和对基于我们知道没有这样的耐心。每个单独的门诊访问或出院诊断代码(ICD)与一个独特的个人识别号码。这些数据收集来自个人期刊的所有个人注册的诊断视神经节neuromyelitis (icd -代码G36.0或ICD-9代码341)数据库的瑞典国家健康和福利委员会从1987年到2013年。在研究期间,只在Wieslab NMO-IgG在瑞典进行的分析实验室、马尔默,瑞典。直到2012年实验室用免疫印迹试验;从那时起,已经使用基于单元的分析。从实验室,我们收到了所有人的列表,其滴度,和居民医院,谁在研究期间检测呈阳性。
这项研究使用了2006 Wingerchuk标准,这是普遍接受的标准研究下半年期间和数据收集的时间。的标准要求和脊髓炎2以下3支持标准:(1)LETM(≥3椎段长度),(2)脑MRI与正常的发现或发现不符合女士,和(3)AQP4-IgG血清阳性。NMOSD被定义为AQP4-IgG-seropositive LETM或状态与临床事件。11
从NSPR和接收信息后的结果只有实验室认证方法AQP4血清学的决定在瑞典,我们要求所有诊所和医院的病人的医疗记录。流行病学数据包括人口统计学、临床脑脊液(细胞计数、蛋白质含量和寡克隆乐队),核磁共振的发现,治疗,结果却是来自医疗记录通过结构化清单由神经学常驻。首页没有信息可以被检索15例,17记录有明显的文书错误(图1)。信息从262人被2神经学家根据2006年Wingerchuk标准进行评估。审查的记录之后,很明显,一些患者更有可能有其他神经系统疾病如女士、急性播散性脑脊髓炎或感染。这些被排除在外,留下145名患者。Antibody-negative病人孤独,孤独的横向脊髓炎(TM),或和短TM被排除在外。这进一步排除后,92名患者仍和被列入研究队列估计每年的发病率。51患者古典正常时差,其余41满足NMOSD标准(图1)。十个病人动1987年之前的一个开始。这些被认为是当估计患病率。NMOSD和在瑞典女士之间的比率计算通过使用最后的患病率研究在瑞典女士37和动存活患者的数量在我们的研究时期的结束。本研究经当地伦理委员会批准在斯德哥尔摩,瑞典(2010/1924-31/3号)。
统计分析
估计发病率则来自于统计人口数据瑞典(scb.se)和联合国(population.un.org/wpp/DataQuery/)。普遍计算日期的12月31日,2013年,涉及普遍动/ NMOSD病例的数量每1000000名居民。95%可信区间(CI)的患病率被Vollset估计描述使用方法。38年平均发病率被定义为新动/ NMOSD病例的数量(使用症状出现日期计算)从1月1日,1987年12月31日,2013年,除以总数量的people-years风险(由加法估计每年年中人口普查)。这是每1000000 people-years报道。标准化发病率比(SIR)估计通过调整为性别和年龄分布,提出了使用Byar近似95%可信区间估计。零估计时考虑先生估计时间。数据提出了均值和95%置信区间或值范围(第25和第75百分位数)在适当的时候。数据的分布,提出了使用直方图和适当数量的垃圾箱。趋势随着时间的推移,使用线性回归模型估计并与CIs在适当的时候公布。第一次复发的概率评估使用kaplan meier方法。审查实施,后续的最后一天是12月31日,2013年,只要病人没有复发。生存率较是用于比较复发概率之间的地层。p值< 0.05被认为是重要的。数据和统计分析和数据表示准备在R(版本3.4.4)39使用包data.table40和ggplot2。41
数据可用性
匿名数据,本研究将从相应的作者合理要求从任何合格的调查员,在欧盟通用数据保护监管。
结果
患病率和发病率
动/ NMOSD在瑞典的流行2013年的每1000000人9.3 (CI 7.6 - -11.5)的人。标准化后的世界人口年龄、患病率为1.03 (CI 0.66 - -1.55)男性和女性0.99 (CI 0.77 - -1.26)。动/ NMOSD和女士之间的比率在瑞典基于流行的计算是100 vs 17485(2008年)37或者一个比1动病人每175 MS患者(0.6%)。每年的原油发生率均呈增长趋势随着时间的推移,从1987年到2013年(图2)。年龄标准化的估计每年发病率为每个表e 1(可用性doi.org/10.5061/dryad.vk62410)。分析AQP4-IgG在2007年成为可用。每年原油发病率动/ NMOSD从1987增加到2006(范围0.23,0.12 - -0.34)2007 - 2013(0.65,0.63 - -0.90)(表飞行,doi.org/10.5061/dryad.vk62410)。尽管原油动校正和NMOSD发病率增加,原油的NMOSD略高于增加动。发病率没有显著增加可能会发现男性在1987 - 2006和2007 - 2013年为性别和年龄比较先生通过调整检索(表1)。然而,发病率也显著增加女性从1987年到2006年(0.7,可信区间0.4 - -0.9)2007 - 2013(1.50,可信区间1.1 - -2.0)检测比较先生调整年龄(表1)。
发病率在瑞典从1987年到2013年每1000000人。蓝点代表每年发病率和提高解释的红线相连。核磁共振的可用性和aquaporin-4-immunoglobulin G自身抗体(免疫球蛋白)图分析报告。黑色虚线代表一个线性回归模型(每1000000人= 0.03205 *年发病率−63.7)安装在所有的数据点。绿线和绿色阴影区域代表线性回归模型与95%置信区间内安装期间1987年至2006年和2007年到2013年,分别。值在情节意味着有95%置信区间的时间间隔1987年至2006年和2007年到2013年。
人口统计学、临床特征、治疗和结果
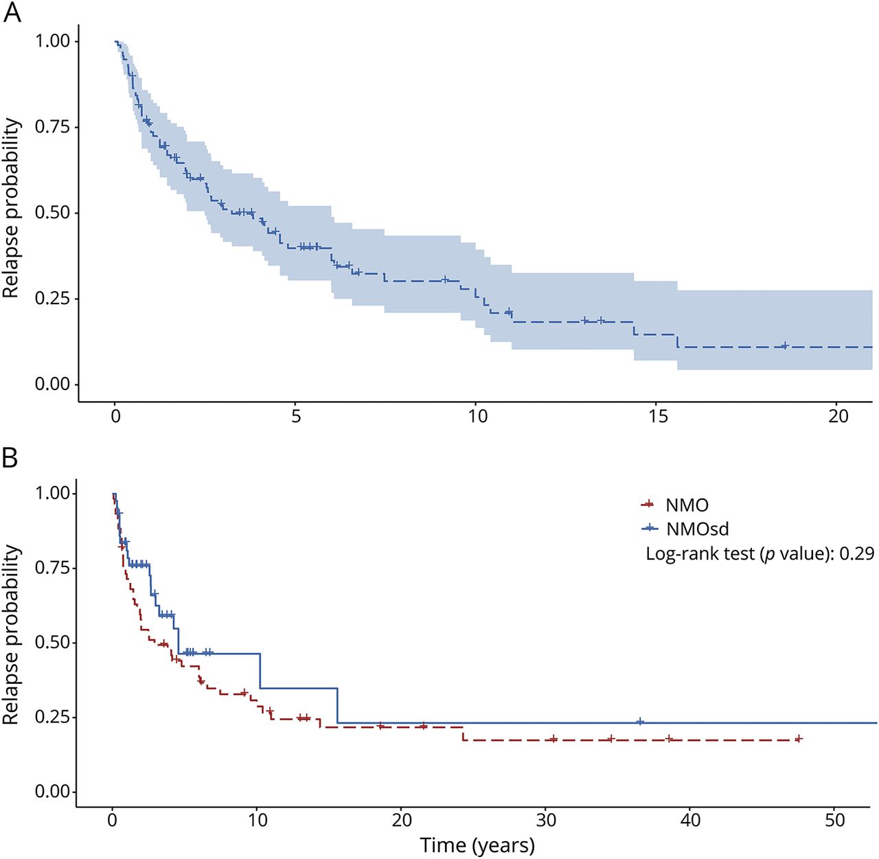
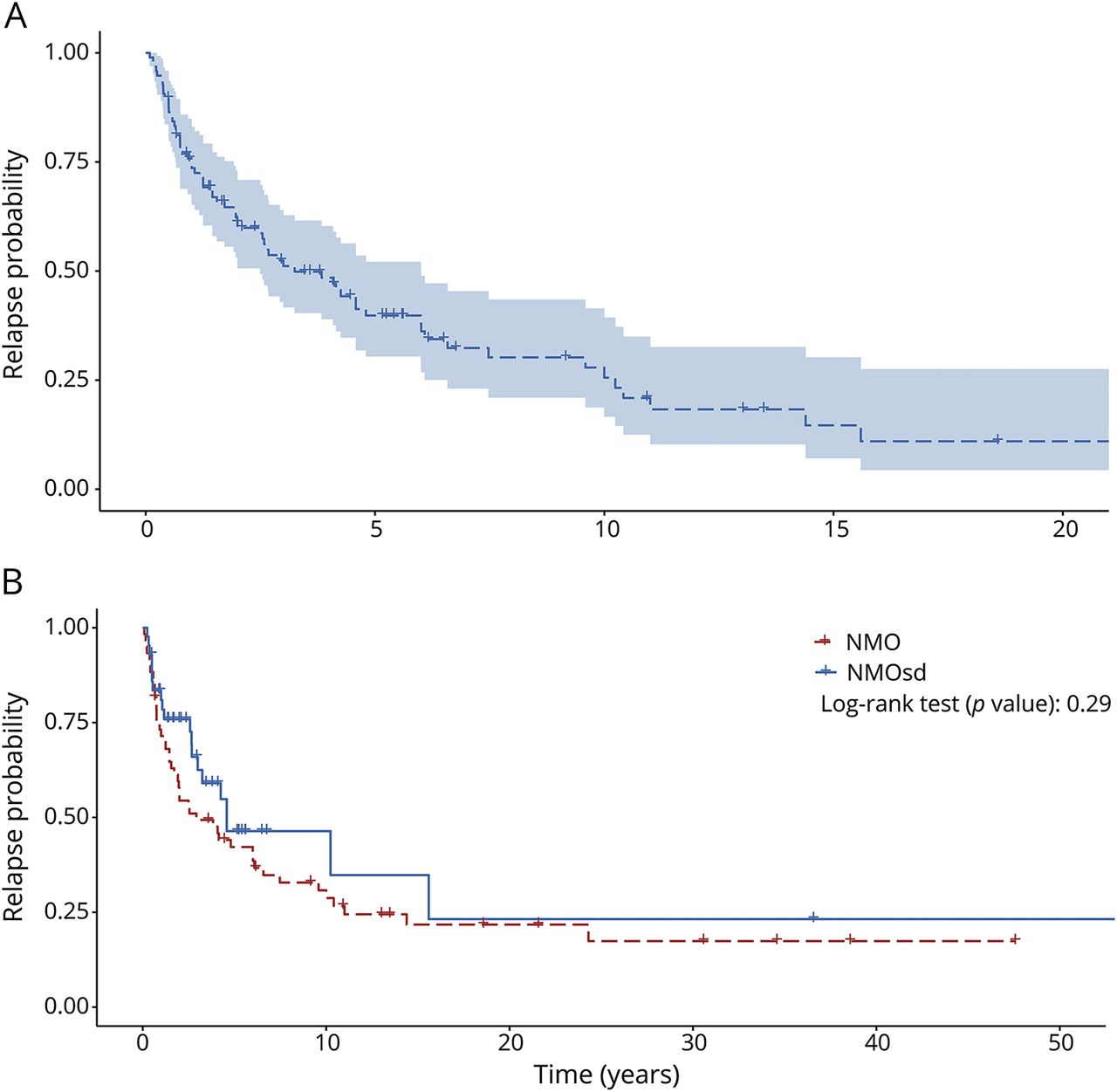
大多数病人群体的女性(73.9%)(表2)。NMOSD患者平均> 10岁(47.7,可信区间42.7 - -52.8)患者比动(36.4,可信区间32.0 - -40.9)。年龄分布甚至在雄性和雌性都平均的41.5 (图3一)。十个人(9.7%)非高加索。自身免疫性并存病被发现在25.0%。NMOSD集团,LETM了36.6%和63.4%,分别。球被发现在15.2%的患者症状。动和患者之间没有区别可以检测到NMOSD发现白细胞升高的CSF或寡克隆条带的存在。最常见的药物是治疗皮质类固醇(87.0%接受类固醇至少一次)。硫唑嘌呤和利妥昔单抗作为疾病修饰常用药物(分别为44.6%和38.0%)。4个(4.3%)患者进行自体造血干细胞移植,主要是由于先前的治疗失败。平均随访时间为6.2年(范围3.9 - -11.7)(图3 b)。两个疾病患者发病后1987和一开始在1987年之前在研究期间死亡(3.3%)。
讨论
在这项研究中,我们试图确定的年平均发病率和当前流行动和NMOSD瑞典。动/ NMOSD的年平均发病率为0.79 (CI 0.55 - -1.03),每百万个人和患病率为10.4病人截至2013年底。发病率持续增长从1987年到2013年,最有可能的,因为增加的警惕,也由于更大的诊断方法,如使用MRI(∼1990年起),分析AQP4-IgG serostatus(2007年起)。
尽管全国研究和以人群为基础的,估计发病率和患病率应被视为最低估计。众所周知,罕见疾病的发病率和患病率估计使用注册表数据可能会低于其真实的等价物。42此外,我们从临床经验知道NMOSD患者不存在广泛的骨髓炎的风险被错误地诊断为女士广泛脊髓炎患者更可能是检测AQP4 serostatus并正确地认定为NMOSD比单个脊髓炎较短或孤立。另一方面,公共资金资助的卫生保健在瑞典的高可访问性结合的衰弱症状NMOSD使得它不太可能病人没有被发现或在私人机构接受治疗。
平均发病率在瑞典没有不同于发病率在丹麦中部,默西塞德郡(英国),或古巴,在加泰罗尼亚略高于利率,但远远低于在丹麦南部(图5一个)。患者在瑞典患病率约为10.37动每百万个人,它反映了流行在东南亚威尔士(英国),默西塞德郡(英国)和墨西哥,但高于患病率在加泰罗尼亚南部和古巴和患病率低于丹麦(图5 b)。1,7,9,12,19,22,24,33,- - - - - -,35,43,- - - - - -,49因此,在瑞典的发病率和患病率动/ NMOSD与报告数据来自国家主要白人人口。大约90%的患者纳入本研究高加索血统,这类似于瑞典人口。然而,我们的数据不符合丹麦南部1或者美国(奥姆斯特德县)43(图5)。在这两个研究中,所有患者脱髓鞘疾病42上一集或TM和最初的脑部MRI诊断女士1AQP4-IgG筛查和诊断可能是更早更准确。因为在瑞典和丹麦人口分布相似,缺乏这种策略在瑞典表明几例NMOSD没有检测到。这个支撑患者筛查的重要性脱髓鞘活动AQP4-IgG serostatus。
发病率(A)和(B)患病率视视neuromyelitis / neuromyelitis谱系障碍在其他地区可用出版物。横向误差表示的意思是包围95%置信区间。
在这项研究中,发现了自身免疫并发症在25.0%,这是与另一个最近从加泰罗尼亚(27%)以人群为基础的研究。12我们也有非常相似的女性,男性比例(3/1),平均发病年龄(41.5岁)作为加泰罗尼亚的研究。其他研究已经描述了一个更高的女男比例(9/1马提尼克岛)43平均发病年龄和年轻,9,23,43在伊朗,31年。7
我们不能发现任何临床区别动和NMOSD成像结果,患者脑脊液白细胞水平或寡克隆条带的存在。这支持增加的证据表明,动校正和NMOSD遵循类似的临床过程和应被视为相同的疾病。令我们吃惊的是,基于患者,平均而言,比NMOSD患者年轻10岁。我们没有解释这一发现。另一个重要发现是,症状发作的类型并不影响一个新的复发的概率。据我们所知,这并没有被报道。正如预期的那样,大多数患者动/ NMOSD复发,复发的概率测量使用kaplan meier估计不动和NMOSD之间的不同。预处理复发年率在最近的一项研究中,复发率是2.26 - -2.29。50在我们的群体中,第一次复发的风险是最高的在第一次2年(平均1.42年)。复发的风险也在研究期间从未消失。考虑到不断动复发的危险和严重程度,这是在协议与免疫抑制药物的主流意见应而不中断。
动/ NMOSD允许早期治疗,减少残疾和死亡的风险,正确的早期诊断动/ NMOSD和区别是至关重要的。在早些时候的报道,超过50%的患者动/ NMOSD瞎了一个或两个眼睛或要求五年内动态帮助疾病的发作。21之前1999年,动校正的频谱是理解,计算动校正的5年生存率为68%,因神经源性呼吸衰竭而死亡。10低死亡率(3.3%)中观察到的样本可能被解释为高immune-modulating药物的使用。此外,由于这是一个全国性的研究,有可能是轻微疾病患者当然不需要包括三级医院护理,从而导致较低的死亡率。
我们的研究的主要局限是回顾性设计和依赖临床医生的诊断或怀疑动/ NMOSD,最有可能导致低估动/ NMOSD的发病率和患病率。另一个限制是,我们没有访问记录不是医院的门诊医疗。一些温和病例NMOSD可能已经错过了。另一方面,瑞典的医疗体系是建立在这样一种方式,只有不到5%的神经门诊病人被私人练习神经学家。规则是,所有女士/动病人应该透过医院系统。此外,由于脱髓鞘疾病的经验之间的不同诊所和系统的临床评估,我们无法检索和评估扩大残疾状态量表得分对于大多数病人。
即使在瑞典的发病率和患病率动/ NMOSD符合大多数报告主要白人人口的国家,我们仍然怀疑NMOSD在瑞典是诊断,可补偿提高警惕和常规AQP4-IgG抗体分析。超过80%的患者接受disease-inhibiting免疫抑制药物(主要是硫唑嘌呤和利妥昔单抗),这可能影响低死亡率发现病例。我们发现高复发的风险在一个相当短的时间内;考虑到严重的复发,这应该牢记当咨询NMOSD患者。所有的病人应该接受连续disease-inhibiting免疫抑制治疗。最近一项对系统未来的国家后续通过瑞典注册发起神经疾病。我们希望它能达到完全覆盖全国限定的时间范围内。
研究资金
这项研究是由瑞典的大脑基础,斯德哥尔摩卡罗林斯卡医学院,市议会。
信息披露
d·琼森报告没有披露相关的手稿。o .人已经收到了赠款从葛兰素史克和生原体以及个人费用和联合银行,提交之外的所有工作。r·哈基姆报告没有披露相关的手稿。l . Brundin收到了差旅补助,参与顾问委员会,并得到了讲课酬金从生原体,赛诺菲,诺华,Amirall, Genzyme。去首页Neurology.org/N为充分披露。
承认
作者感谢安娜劳伦和Wieslab诊断服务信息血清反应阳性的NMO-IgG患者在研究期间。
附录的作者
脚注
去首页Neurology.org/N为充分披露。资金信息和披露认为作者相关的,如果有的话,年底提供这篇文章。
↵*这些作者的贡献同样这项工作。
这篇文章加工费由作者。
- 收到了2018年9月2日。
- 接受的最终形式2019年2月25日。
- 版权©2019年作者(年代)。发表的Wolters Kluwer健康,公司代表美国神经病学学会。首页
这是一个开放的分布式根据文章知识共享归属许可4.0 (CC),它允许无限制的使用、分配和复制在任何媒介,提供最初的工作是正确引用。
引用
- 1。↵
- 2。↵
- 3所示。↵
- 4所示。↵
- 5。↵
- 6。↵
- 7所示。↵
- KashipazhaD,
- MohammadianinejadSE,
- MajdinasabN,
- 阿齐兹米,
- 贾法里米
- 8。↵
- Jasiak-Zatonska米,
- Kalinowska-Lyszczarz一个,
- 的旧事年代,
- KozubskiW
- 9。↵
- 10。↵
- 11。↵
- 12。↵
- 赛普维达米,
- Aldea米,
- EscuderoD,等
- 13。↵
- 水域PJ,
- PittockSJ,
- 班尼特莱托,
- Jarius年代,
- WeinshenkerBG,
- WingerchukDM
- 14。↵
- 15。↵
- 16。↵
- 17所示。↵
- 18岁。↵
- 19所示。↵
- 20.↵
- 21。↵
- 22。↵
- 戴尔“大酒店”,
- 斯文森主持KB,
- GjelstrupMC,等
- 23。↵
- 24。↵
- 25。↵
- 26岁。↵
- 27。↵
- 28。↵
- 29。↵
- 30.↵
- 31日。↵
- 32。↵
- 盖尔芬德JM
- 33。↵
- 34。↵
- 35。↵
- 36。↵
- 37岁。↵
- 38。↵
- 39岁。↵
团队RC。接待员:统计计算的语言和环境。维也纳:R统计计算的基础;2016年。
- 40。↵
- Dowle米,
- Srinivasan一个
- 41岁。↵
- 韦翰H
- 42。↵
- 43。↵
- 弗拉纳根EP,
- CabreP,
- WeinshenkerBG,等
- 44岁。↵
- 45岁。↵
- van Pelt艾德,
- 黄YY,
- KetelslegersIA,
- 哈曼D,
- Hintzen中移动
- 46岁。↵
- 47岁。↵
- 48。↵
- 49。↵
- 50。↵
- 粉状的马,
- WingerchukDM,
- 宫J,
- 格林伯格BM,
- 莱维米
信:快速的网络通信
-
作者回复:从1987年到2013年在瑞典NMOSD流行病学:一个全国性的以人群为基础的研究
- Dagur我。琼森,医学博士,斯德哥尔摩卡罗林斯卡大学医院首页神经病学、()
- 奥拉维尔人,医学博士,斯德哥尔摩卡罗林斯卡大学医院首页神经病学、()
- Ramil哈基姆,医学博士,斯德哥尔摩Karolinska研究所临床神经科学学系()
- 卢Brundin,医学博士,斯德哥尔摩Karolinska研究所临床神经科学学系()
2019年8月13日提交 -
读者反应:流行病学的NMOSD瑞典从1987年到2013年:一个全国性的以人群为基础的研究
- 维多利亚Papp,医学博士,研究员,神经学家,欧登塞大学医院神经学系(丹麦首页)
- 托尔彼得森,医学博士,副教授,神经学家,神经学部门,奥尔胡斯大学医院首页(丹麦)
- 梅林达Magyari,医学博士,副教授,神经学家,丹麦多发性硬化症注册表,Rigshospitalet,哥本哈根大学医院(丹麦哥本哈根)
- 尼尔斯Koch-Henriksen,医学博士,副教授,神经学家,临床流行病学,临床研究所学院奥尔胡斯大学(丹麦奥尔胡斯)
- Jette LautrupFrederiksen,医学博士,教授,神经学家,Rigshospitalet斯特鲁普,卫生和医学科学院,哥本哈根大学(斯特鲁普、丹麦)
- 芬恩Sellebjerg,医学博士,教授,神经学家,丹麦多发性硬化症中心,神经学部门,大学Rigshospitalet哥本哈根(丹麦哥本哈根)首页
- 大多Stenager,医学博士,教授,神经学家,区域卫生研究部门,南丹麦大学健康科学学院(丹麦欧登塞)
- ZsoltIlles,医学博士,教授,神经学家,欧登塞大学医院;南丹麦大学研究所的临床研究(丹麦欧登塞)
2019年7月11日提交
你可能也会感兴趣
提醒我
推荐的文章
- 文章
髓鞘少突细胞糖蛋白抗体在双边和复发性视神经炎Ramanathan Sudarshini斯蒂芬·w·Reddel安德鲁·亨德森et al。
首页神经病学,神经免疫学神经炎症,2014年10月29日 - 文章
以人群为基础的研究视neuromyelitis白种人n . Asgari明沟Lillevang,合Skejoe et al。
首页神经学,2011年5月2日 - 文章
区分MOG抗体阳性和AQP4抗体阳性动谱系障碍继同行工人达戈贝托- Callegaro -道格拉斯Kazutoshi佐藤,Marco Aurelio Lana-Peixoto et al。
首页神经学,2014年1月10日 - 文章
Neuromyelitis optica-IgG儿童中枢神经系统炎性脱髓鞘疾病b . Banwell s Tenembaum诉答:列侬et al。
首页神经学,2007年12月19日


