协会的孤独与10年期痴呆风险的脆弱性和早期标记神经认知下降
文摘
背景和目标孤独很常见,其发病率正在上升。孤独的关系与随后的痴呆和阿尔茨海默病的早期临床课程和相关的痴呆(ADRD)仍不清楚。因此,本研究的主要目标是确定协会的孤独与10年期全因痴呆风险和早期认知和神经成像ADRD脆弱的标志。
方法这是一个回顾性分析的前瞻性收集的数据以人群为基础的弗雷明汉的研究中心设立军团(1948年9月9日- 12月31日,2018)。合格的参与者孤独和dementia-free在基线评估。孤独被记录与流行病学研究中心抑郁量表,保守定义为感到孤独≥3天过去一周。主要结果事件痴呆在10年时间内,认知,和核磁共振脑容量和白质损伤。
结果2308名参与者(平均年龄73 SD 9年,56%女性)会见资格在痴呆样例中,14%(329 2308)发达痴呆和6%(144 2308)是孤独。孤独的(而不是孤独)成人10年痴呆风险较高(年龄,性别,和education-adjusted风险比为1.54,95%可信区间1.06 - -2.24)。孤独的参与者< 80岁APOEε4等位基因风险也高了三倍(调整风险比为3.03,95%可信区间,1.63 - -5.62)。在没有出现痴呆的1875人在认知样本会见资格(平均年龄62 SD 9年,54%女性),寂寞与贫穷有关执行功能,降低脑总量,和更大的脑白质损伤。
讨论超过10年的关闭在这个队列研究临床痴呆监测,孤独与痴呆风险增加有关;这三倍于成人的基线风险会相对低年龄和遗传风险的基础上,代表了绝大多数的美国人。孤独也与更糟糕的神经认知ADRD脆弱的标志,表明早期的致病作用。这些发现可能有重要的临床和公共健康的影响观察到孤独的趋势。
证据的分类本研究类我提供证据证明孤独10年期患痴呆症的风险增加。
术语表
- ADRD=
- 阿尔茨海默病和痴呆有关;
- 鉴定=
- 流行病学研究中心抑郁量表;
- dsm - iv=
- 精神疾病诊断与统计手册(第四版) ;
- FS=
- 弗雷明汉的研究;
- 香港特别任务连=
- SD单位
孤独是发病的危险因素增加1和死亡率2可以减少,3但其患病率上升,从11%到14%在两年的时间里扩展到冠状病毒病早期2019年大流行在美国以人群为基础的样本,4总计≈4600万年孤独的美国人。5估计孤独成人患病率高≥60岁美国和国际军团(13% - -43%)。6,- - - - - -,8鉴于观察到的趋势,一个显著的人口健康担心孤独,特别是如果持续,可能是老年痴呆症的重要危险因素,6,9,10但结果不一致。9,11,12
队列研究孤独与认知能力下降的风险增加有关,6痴呆,10,13和阿尔茨海默病和痴呆(ADRD) neuropathologic变化有关。14,15其他结果不支持这些联系。9,11,12无论寂寞是早期ADRD贡献者,症状,或者两者都是,不确定性与痴呆风险事件可能低估的影响越来越孤独和限制ADRD发展和潜在机制的理解。估计相关的痴呆风险孤独可以改善与纵向研究更频繁的综合临床和神经心理评估,神经生物学的措施,符合临床ADRD脆弱,对痴呆的临床重要端点和连续监测在大型人群为基础的样本与长期广泛的监测和追踪损失最小。因此,我们分析的数据,弗雷明汉的研究中心设立(FS)、规模最大、持续时间最长的纵向军团在美国,确定基线的存在(和缺席)以人群为基础的成年人样本associates孤独的患痴呆症的风险和指标的敏感性神经认知衰退。本研究的主要研究问题是评估,在年轻和年长的成人年龄,孤独与10年期事件的潜在协会老年痴呆症(经严格的临床痴呆和连续监测与痴呆审查小组裁定的神经病学家和神经心理学家)和孤独的横断面协会ADRD脆弱性的早期标志:认知功能(经标准化和全面的神经心理学评估),脑容量(经MRI脑总额和海马体积),和小血管脑血管损伤(经MRI测量白质hyperintensities)。
方法
样品
这项研究包括FS最初参与者参加他们25日两年一次的检查(1997 - 1999)和后代参与者参加他们的第七四年考试(1998 - 2001)。痴呆为主要的分析,合格的参与者有一个孤独的评估和至少60岁(参与者< 60岁不可能有实质性的10年痴呆的风险)。16人排除如果他们普遍痴呆或没有痴呆随访。随后的分析评估协会的孤独与ADRD病理学的早期认知和神经影像学指标。因为神经心理学17和MRI解剖18变化是众所周知的伴随基础积累ADRD neuropathologic改变多年之前,其临床表现为痴呆,合格的参与者40到79岁,有一个孤独的评估和认知测试。参与者排除如果他们普遍痴呆和中风。鉴于我们预定的方法辅助生物验证此示例和随后的探索性交互分析的结果,参与者也被排除在这个示例中,如果他们没有或一个基因型的信息APOEε4等位基因。成像分析使用一个子集,也有一个大脑核磁共振。
标准协议的审批、登记和病人同意
所有参与者提供书面知情同意。波士顿大学医学中心的机构审查委员会批准了同意书和研究协议。
曝光
方法量化孤独与流行病学研究中心抑郁量表(鉴定)19在大型纵向军团像FS曾被描述。6,10总之,鉴定要求受访者报告是否每个20抑郁症状出现在过去一周“很少或没有时间(< 1天)”(0分),“部分或一个小的时间(1 - 2天)”(1分),“偶尔或适量的时间(3 - 4天)”(2分),或“大部分或所有的时间(5 - 7天)(3分)。相同的类似群组研究,鉴定项目要求被申请人是否经常感到孤独,6,10参与者被分为孤独(3 - 7天)或不寂寞(0 - 2天)。这种方法产生了正面和零结果相似的老年人社区群,和积极的协会展示了一个模式类似于我们关系,参与者有更多的严重和持久的寂寞更有可能有更大的ADRD风险。6,10
虽然仪器评估等抑郁症状负担的鉴定包括询问孤独,因为它们同现的感觉,19有越来越多的共识,抑郁和孤独在概念上单独的结构,在统计上分离,6,20.代表不同的临床现象,21涉及不同的大脑回路,22,23并对ADRD neuropathologic变化独立于彼此14,15,24在这种情况下,有限在最温和的重叠。6,10然而,因为孤独(作为抑郁症的诱发变量)已经被观察到一贯温和的对抑郁症状的影响在研究无论采样策略,出版类型、出版年,25鉴定孤独项目被选为抑郁症状的主要暴露变量,同时会计作为一个潜在的“鉴定的修改版本。
痴呆事件评估
主要结果是事件全因痴呆的临床诊断后10年随访期间基线检查。严格的和连续的FS痴呆监测方法前面已经出版。26总之,认知状态细微精神状态检查监控了27和神经心理学测试,最初,自1975年以来,自1987年以来在后代群体。痴呆审查小组的神经学家和神经心理学家研究了每一个可能的痴呆病例和诊断确定日期使用串行等大量的数据,并促使评估,电话采访家庭/照顾者和医疗记录。26痴呆的诊断是基于标准包括dsm - iv。28案件在2001年之前发现有重复评论2001年之后,诊断标准可以应用更新。连续痴呆监测发生在2018年12月31日。
认知能力评估
诊所考试参加者有标准化的神经心理学测试后由训练有素的研究助理和神经心理学家临床评估。测试执行是可靠,被广泛使用,涵盖所有领域的阿尔茨海默病中心的统一的数据集。29日在目前的研究中,我们选择了3个单独的措施,分析反映关键在ADRD早期一般认知过程的影响17:逻辑内存延迟回忆(内存),路径进行测试B - A(执行功能),和全球认知。全球认知,我们使用一个全球认知得分是在孩子考试7数据样本收集与主成分分析迫使一个组件的解决方案。主成分分析的任务包括以下:轨迹做测试,跟踪测试B,逻辑内存(直接和延迟回忆),视觉复制品(直接和延迟回忆),配对联想学习法(延迟回忆),Hooper视觉组织测试,测试和相似之处。30.全球认知得分加权和的标准化分数;更高的分数代表更好的性能。这种方法与先前的研究,有助于解决neuropathologic因各种原因引起的痴呆和临床异质性社区老年人的样本,31日并进一步详细地描述。32成立了eTable 1,links.lww.com/WNL/B792。
大脑MRI评估
临床前ADRD MRI措施仅限于皮质的条件可能不太敏感的潜在ADRD神经病理学在以人群为基础的样本33;因此,我们的成像分析使用了下列关键措施最有可能代表早期ADRD脑脆弱性萎缩或microangiopathic白质损伤的形式:全脑体积,海马体积,白质hyperintensities。参与者被扫描基线检查期间,西门子Magnetom MRI (1.5 t;西门子Healthineers,德国埃朗根)。全面收购的细节,图像分析,量化描述了MRI变量的其他地方,包括成像参数和序列,测量协议分割方法,可靠性和重现性。34体积措施纠正头部大小的使用的比例每个测量颅总额乘以100。34,35在分析MRI变量都是标准化的。额外的细节eMethods提供了图像采集和量化方法,links.lww.com/WNL/B792。
协变量
教育成就是评估4层变量(没有高中学历,高中学历,一些大学,大学学位或更多)。额外的调整对抑郁症状、社会隔离、抗抑郁药物的使用,和常见的血管在二级风险因素进行了敏感性分析。关于抑郁症状,重新评估的原始的因素结构鉴定36使用解决方案的一个因素3因素(躯体症状,负面影响,快感缺乏)表明,尽管孤独项保留了一定程度的负面影响,孤独的重量项是最低在这个因素和相对一致的跨不同的参与者,包括本科、社区、康复,临床样本,以及一个流行病学FS军团的样本类似。因此,抑郁症状与修改后的鉴定占分数;它排除孤独,总结点剩下的问题(范围0-57点),并连续对数转换变量为非正态的分布。37对于社会隔离,自述Berkman-Syme社交网络指数被用来控制社会隔离的基础上社交网络的大小。1与之前相同的方法,38,39社交网络指数分类个人根据总结分数达标(0 - 1点)的那样孤立社会孤立的(2 - 4分)。
互动分析,APOEε4等位基因载体地位是包括遗传协变量,而不是作为一个独立的多基因风险评分考虑给予其更多的临床和流行病学效用遗传易感性在当下研究的作用。40APOE基因型是由收集等离子体等电点聚焦和证实了DNA基因型。41
统计分析
描述年龄差异与痴呆风险协会的孤独,整个样本的主要痴呆分析和分层的年龄段:< 80和≥80岁。描述年龄差距的决定由分层样品在80岁是先天的和基于知识的现存文献报告协会的孤独与更大的皮质淀粉样蛋白和区域τ积累使用PET成像,14,15先前的FS调查表明loneliness-related痴呆的风险10,39和风险的早期ADRD脆弱的神经认知标记42年轻人和年长的成年人之间的不同,和孤独患病率估计展示略微增加年龄老当益壮的成年人(年龄65 - 79岁)和更显著增加长寿老人≥80岁的成年人。43
痴呆为主要的分析,整体年龄,Cox比例风险回归模型估计的年龄,性别,和education-adjusted风险比率10年期痴呆风险比较参与者和那些没有孤独寂寞。修改系统地评估影响,交互使用Cox模型评估了交互条款由孤独以下变量:性别、教育水平、和APOEε4地位。然后,分层Cox回归模型进行的重要交互方面。报道的比例风险假设是支持模型,评估通过分析Schoenfeld剩余工资。
”来形容孤独的角色在早期ADRD易感性痴呆的发病之前,第二个样本提取是基于显著age-group-by-modifier子集痴呆分析。新样品由参与者的神经心理学测试基线评估;大多数人一个基线大脑核磁共振。我们使用调整后的多变量线性回归模型在这第二个样品来评估是否孤独状态是选定的神经认知的独立预测指标的措施。所有的模型调整年龄,年龄2、性别、教育成就,从孤独的时间间隔评估认知或MRI测量时获得的。β系数估计被表达在SD单位(信号分配装置),所以每1单位改变对应于一个SD在每个测量差异。
对于敏感性分析,主痴呆,认知,和成像模型(模型1)此外调整顺序模型中考虑到基线抑郁症状(模型2),社会孤立(模式3),抗抑郁药物使用(模式4),血管危险因素(5)模型。参与者与失踪的协变量数据被排除在这些敏感性分析。调查的可能性,孤独是一个非常早期ADRD症状(而非ADRD电位器),我们检查了主痴呆模型排除残疾人普遍轻度认知障碍;分别,我们也推迟了5年随访期间开始基线和跨越5年后,允许一个更保守的评估孤独的角色之前ADRD临床表现。额外的敏感性分析使用一个三级序数词主要痴呆,孤独的认知,和成像模型。痴呆的风险评估亚型中,我们使用的主要痴呆模型分别评估患阿尔茨海默病和血管性痴呆的风险。
统计学意义确定双向的α水平的0.05没有适当的指示为多个比较,因为每个正确的计划比较测试不同的特定假设的主要分析本研究。44探索性的交互分析痴呆示例使用一个α水平的0.10增加灵敏度,符合之前FS研究评估效果修改。45分析与SAS 9.4 (SAS研究所有限公司、卡里、数控)。本研究遵循加强报告的观察性研究流行病学报告指南(eMethods,links.lww.com/WNL/B792)。
数据可用性
FS数据集分析目前研究可以通过正式的数据使用协议。任何调查员可能访问的数据通过FS网站上列出的过程(framinghamheartstudy.org)。
结果
协会的孤独和10年期事件发生痴呆的风险
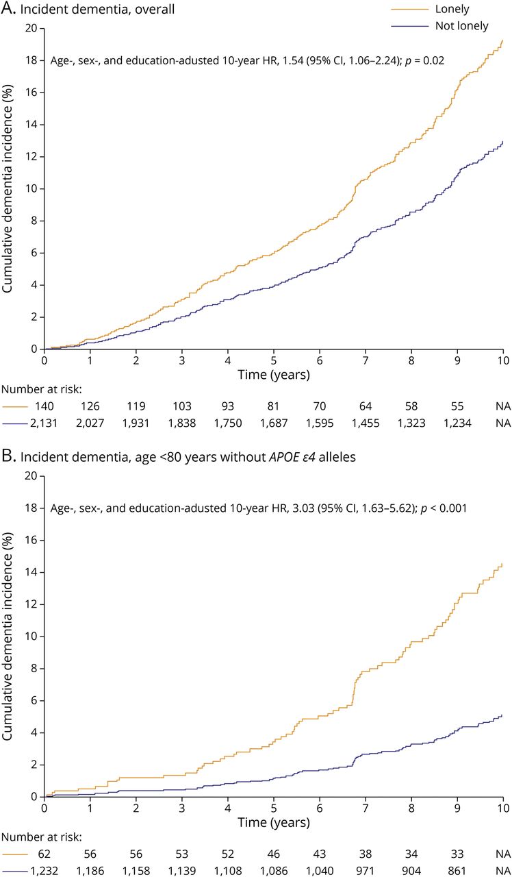
痴呆的分析样本,2308名参与者(576和1732年的后代成员)符合纳入标准(图1一个)。平均年龄是73岁(SD, 9年);56%是女性;,53%的人至少有一些大学教育(表1)。≥80岁的参与者们更可能流行的心血管疾病和没有大学学位。细微精神状态检查在基线,几乎所有分数的认知没有范围(中位数得分29(四分位范围的观众),范围15 - 30)。百分之二十的参与者至少有1 APOEε4等位基因。年龄的子组也有类似的社交网络规模和较低的抑郁症状。参与者报告孤独的流行在过去一周至少1天2308 - 452(20%)——与类似的群老年人。6,- - - - - -,8,46,47总体而言,144年的2308例(6%)参与者感到孤独≥3天过去一周。
10年随访期间(10.00中位数(四分位范围5.50 - -10.00)岁),329年的2308(14%)参与者被诊断出患有老年痴呆症(189和140年的后代成员)。144年31(22%)孤独的参与者发达痴呆。在整个痴呆样例中,调整了年龄、性别、和教育成就,孤独是痴呆发病率较高的显著相关(危害比为1.54,95%可信区间1.06 - -2.24)(表2和图2一个)。没有明显关联孤独和事件参与者≥80岁老年痴呆;然而,参与者< 80岁,孤独的人患痴呆的两倍多(危险比为2.27,95%可信区间1.32 - -3.91)。在随后的修改在年轻组的评估效果,一个交互APOEε4状态被发现(表2)。孤独与事件发生痴呆的风险增加三倍群年轻的参与者没有携带一个APOEε4等位基因(危害比为3.03,95%可信区间1.63 - -5.62)(图2 b)。
协会的孤独与ADRD脆弱性的早期认知和解剖标志
为了更好地理解孤独和ADRD脆弱性之间的关系在dementia-free成年人,我们使用了认知样本包括1875名参与者符合入选标准(41原始和1834后代成员)(图1 b)。平均年龄是62岁(SD 9年);54%是女性;,67%的人至少有一些大学教育(表1)。寂寞与贫穷有关认知执行功能域;孤独的参与者得分0.23信号分配装置低于参与者不寂寞(表3)。认知的一个子集样本用于检查孤独和解剖措施之间的关系。基线大脑核磁共振获得1643 1875(88%)的参与者(图1 b)。MRI子集也排除了32个参与者其他神经系统疾病;剩余的1611参与者代表完整的认知样本(表1)。孤独的(而不是孤独)参与者更容易大脑总额较低负担和更大的白质高密度。孤独的参与者大脑总量低0.25香港特别任务连卷0.28和白质高密度大信号分配装置(表3)。没有明显的孤独和全球之间的关联认知得分,逻辑内存延迟回忆得分,或海马体积。
敏感性分析
主要发现在痴呆分析坚持与基线扣除88名参与者后轻度认知障碍(危害比为1.92,95%可信区间1.29 - -2.85)和推进后续5年后(危害比为1.83,95%可信区间1.08 - -3.12)。孤独一直持续对年轻组(包括有关APOEε4-negative子集)的额外调整后抑郁症状,社会孤立,抗抑郁药物使用和常见的血管危险因素(eTable 2,links.lww.com/WNL/B792)。同样,孤独还与更大的白质hyperintensities额外调整后的大小(eTable 3)。孤独和脑总额减少之间的联系与调整的社会孤立。寂寞不再调整后与认知相关的抑郁症状。利用孤独的序数词的主要模型产生相似的结果整体(eTables 4和5)除了报告孤独1到2 d /工作年龄较大组也与痴呆风险增加有关。在考试协会的孤独与单独的痴呆发病率亚型,孤独与阿尔茨海默病痴呆。痴呆协会没有观察到由于血管性痴呆,尽管风险比保持在预期的方向(eTable 6)。
证据的分类
本研究的主要研究问题是评估,在年轻和年长的成人年龄,孤独与10年期事件的潜在协会老年痴呆症(经严格的临床痴呆和连续监测与痴呆审查小组裁定的神经病学家和神经心理学家)和孤独的横断面协会ADRD脆弱性的早期标志:认知功能(经标准化和全面的神经心理学评估),脑容量(经MRI脑总额和海马体积),和小血管脑血管损伤(经MRI测量白质hyperintensities)。本研究类我提供证据证明孤独10年期患痴呆症的风险增加。
讨论
这个队列研究发现孤独感增加10年发病率因各种原因引起的痴呆,重申寂寞的痴呆风险升高了9,12还揭示风险的三倍孤独成年人< 80岁没有APOEε4等位基因。这种孤独和10年期痴呆风险之间的联系可能至少部分原因是孤独的最早阶段的参与ADRD neuropathogenesis,建议我们后续发现描述孤独dementia-free成年人如何与早期认知和成像ADRD脆弱性的措施。在APOEε4-negative成年人< 80岁,高危组识别,孤独与(1)贫穷执行功能(一个认知域,包括过程,如注意、判断,组织,计划,和决策),(2)低脑总额(全球解剖测量,通常是更敏感的神经病理学基础广泛的认知下降以人群为基础的样本只比皮质亚区),33(3)更大体积的白质hyperintensities(表明更大的小血管脑血管损伤的程度)。综上所述,这些研究结果表明报告孤独≥3天过去一周作为一个重要的潜在的修改的中年人和老当益壮的心理社会因素APOEε4-negative成人早期ADRD neuropathologic过程导致痴呆的临床表现和诊断。
虽然我们的研究结果与之前的方向一致协会报道之间的孤独和痴呆的老年人在以人群为基础的样本,9,12,13估计年轻事件发生痴呆的风险APOEε4-negative参与者远远高于其他的研究。例如,我们估计是大于40%的痴呆症风险增加健康和退休之间的比较研究中发现孤独个体≥65岁也跟进了10年,但他们的认知状态评估与3任务从一个简短的电话采访中用于筛选痴呆。13值得注意的是,我们的研究结果也符合FS最近的一项研究仅使用后代群体的参与者的数据观察到持续孤独中年(定义为报告孤独≥1天过去一周在第六届和第七四年考试)有关终生危险性较高的痴呆和阿尔茨海默病(老年痴呆症危险比为1.91,95%可信区间1.25 - -2.90)。10这种风险与持续的孤独也升高APOEε4非携带者(危害比为2.32,95%可信区间1.49 - -3.62),虽然不是高达三倍的风险增加在目前的研究报告的孤独在一个时间点,在基线,这可能临床和公共健康简短的筛查评估风险的相关性。与之前的研究相比,我们调查的风险估计可能是由于更大的样本量,孤独的评估和定义不同,吝啬的方法提高敏感性使用高风险的子组,随访期间长,后续开始时建立个人在年龄在以后的几年里更容易患上老年痴呆症。虽然孤独是测量1仪器评估最初设计评估抑郁症状,我们的研究结果表明,增加合理痴呆风险在孤独的成年人可能是由于增加早期ADRD漏洞通过相关途径涉及多病灶的脑萎缩,广泛的微血管损伤,和顺向认知能力下降。
孤独是神经退行性疾病的早期症状还是早期贡献者神经病理学和认知减退尚不清楚。一方面,如果我们认为孤独是神经退行性变的早期症状,目前的研究结果可能反映皮质β-amyloid的最早表现14和τ15累积影响的大脑区域,都是早期ADRD与参与的感觉孤独和其他神经行为功能。23另一方面,如果孤独是主要的因果因素认知能力下降,目前的结果可能表明孤独驾驶(或组合)血管、神经内分泌、炎症、细胞毒性损伤生物学途径,提出了特定于孤独的痛苦21或增加功能通信在神经系统涉及产生孤独的感觉(例如,默认模式网络)。23无论如何,尽管目前的研究观察,它支持一个上游分摊的角色为孤独,因为参与者没有痴呆随访10年,长于可能通常会痴呆发展如果轻度认知或神经行为症状是由于底层ADRD病理变化。这是另外由敏感性分析进行评估潜在的反向因果关系。
我们发现孤独老当益壮的成年人没有APOEε4等位基因痴呆风险升高可能是由于APOEADRDε4运营商拥有更高的遗传负荷,所以孤独可能没有决定痴呆风险的影响力。寂寞也可能有一个角色在减少APOEε2和ε3表达通过提出压力和免疫失调通路,48导致较低的载脂蛋白e在血液和大脑,因此更容易β-amyloid聚合和ADRD发病机理。此外,个体的孤独和痴呆之间没有协会> 80岁可能归因于孤独在ADRD当其他不那么突出的作用与年龄相关的生物因素占更大比例的事件痴呆后80岁(如tauopathy,焦油dna结合蛋白43 proteinopathy,动脉硬化、和海马硬化)。49因此,对于年轻人没有固有的遗传风险因子,孤独和健康相关心理社会因素可能比传统的更有影响力ADRD临床危险因素,代理通过通路独立或组合生物学。
总的来说,这些结果对痴呆风险分层产生影响,孤独的相关性基本筛选和孤独的潜在低估痴呆风险老当益壮的成年人没有已知的遗传风险因素。在社会随着孤独的成年人的比例增加,那么可能低估了患痴呆症的风险有关。当前的研究中观察到的不仅是一个强大的独立的孤独感之间的关系,事件痴呆,和早期ADRD脆弱性也明显更高的风险为一个特定的子群,包括估计61%的成年人和74%的白人黑人在美国成年人不拥有一个APOEε4等位基因。50的优势之一神经科医生和其他健康保健提供者是一个宽泛的角度的生物、临床和公共健康的影响目前的发现,以及对跨学科的策略来解决孤独的价值。这些结果提出未来的研究进一步研究机制的重要性,可能的干预措施和工具来有效地筛选孤独在常规临床护理(例如,问在这项研究中使用的问题:在过去的一周中,多长时间你感到孤独吗?)。
目前强度分析是丰富的数据来源包括两个不同的但是类似人群随访数十年以上随访以最小的损失。最小化潜在的偏见可能影响孤独感的无边无际的混杂模式随着时间的推移,分析占基线组之间的差异和其他因素可能同时影响孤独和痴呆风险或孤独和ADRD-related神经认知措施。
像其他研究使用FS原始数据和后代群体,这个示例是由白人组成的个人。虽然样本小于在一些之前的研究,13这是足以解决问题的兴趣和一群全面涵盖> 6年随访。虽然信息附加症状孤独不是可供参与者和不包括(例如,感觉遗漏或误解),鉴定的孤独项非常不同于其他鉴定项目,大量的重叠与抑郁症的可能性或混杂的抑郁症状表现不同年龄段和不同表型的抑郁症可能是低到中度。36因此,这种方法被认为是足够的和适当的。虽然孤独更普遍年龄较大组(符合类似社区老年人的样本),6,- - - - - -,8,46仍有可能抑郁不孤独比孤独更有影响力的角色在这个年龄段没有抑郁症。虽然反向因果关系的可能性不能排除在这个队列研究(即。,our findings could have been the result of underlying ADRD neuropathology manifesting as feelings of loneliness years or decades before clinical diagnosis), studying causal relationships between loneliness and incident dementia is not readily suitable for randomized clinical trials, and hence, conclusions may rely on cohort studies.
在这个队列研究、孤独与更高的10年期事件发生痴呆的风险;值得注意的是,孤独APOEε4-negative年轻人增加了三倍的风险。这风险可能是由于孤独和早期认知和解剖标记之间的联系确认ADRD漏洞,提高潜在人口健康的影响观察趋势孤独。
研究资金
这项研究受到了波士顿大学医学院的哈佛医学院,亨利和埃里森McCance大脑健康中心,马萨诸塞州综合医院,格罗斯曼和纽约大学医学院的;合同的国家心脏、肺和血液研究所(HHSN268201500001I N01-HC 25195年,75年n92019d00031);授予国家神经疾病和中风研究所(NS017950, UH2NS100605 T32NS048005)和国家老龄研究所[AG049505、AG052409 AG054076, AG049607, AG059421, K23AG057760);和罗伯特·卡兹曼研究培训奖学金在阿尔茨海默氏症和老年痴呆症研究中心联合美国神经病学学会,美国大脑基金会,阿尔茨海默氏症协会。首页
信息披露
作者报告没有披露相关的手稿。去首页Neurology.org/N为充分披露。
承认
作者感谢FS参与者犯了这么多的时间和精力。
附录的作者
脚注
去首页Neurology.org/N为充分披露。资金信息和披露认为作者相关的,如果有的话,年底提供这篇文章。
↵*这些作者的贡献同样这项工作作为第一作者。
这篇文章加工费由作者。
看到页面e1406
类的证据:NPub.org/coe
CME过程:NPub.org/cmelist
- 收到了2021年6月24日。
- 接受的最终形式2021年12月27日。
- 版权©2022年作者(年代)。发表的Wolters Kluwer健康,公司代表美国神经病学学会。首页
这是一个开放的分布式根据文章Creative Commons Attribution-NonCommercial-NoDerivatives许可证4.0 (CC BY-NC-ND),它允许下载和共享工作提供适当的引用。不能改变的工作以任何方式或使用未经许可的商业杂志。
引用
- 1。↵
- 2。↵
- 3所示。↵
- 4所示。↵
- 5。↵
人口和住房单元估计。9月23日访问。census.gov / programs-surveys / popest.html
- 6。↵
- 多诺万新泽西,
- 吴问,
- 从DM,
- 斯珀林类风湿性关节炎,
- 马歇尔遗传算法,
- 针对毫米
- 7所示。↵
- 8。↵
- 9。↵
- 10。↵
- Akhter-KhanSC,
- 道问,
- 盎组织,et al。
- 11。↵
- PenninkilampiR,
- 凯西一个,
- 辛格曼氏金融,
- BrodatyH
- 12。↵
- 13。↵
- 14。↵
- 多诺万新泽西,
- 欧克瑞克OI,
- VanniniP,等
- 15。↵
- d 'Oleire UquillasF,
- 雅可布边境,
- 比德尔KD,et al。
- 16。↵
- 17所示。↵
- 18岁。↵
- 19所示。↵
- 20.↵
- 21。↵
- 库马尔一个,
- 萨利纳斯J
- 22。↵
- 23。↵
- 24。↵
- 冈萨雷斯毫米,
- 谋求J,
- 奥唐纳一个,et al。
- 25。↵
- 26岁。↵
- 27。↵
- 28。↵
美国精神病学协会。精神疾病诊断与统计手册:dsm - iv。美国精神病学协会;1994年。
- 29。↵
- 30.↵
- 韦氏D
- 31日。↵
- 32。↵
- 33。↵
- 34。↵
- 35。↵
- 弗莱彻E,
- 辛格B,
- 哈维D,
- 卡迈克尔O,
- DeCarliC
- 36。↵
- 37岁。↵
- 38。↵
- 39岁。↵
- 萨利纳斯J,
- Beiser一个,
- HimaliJJ,等
- 40。↵
- 制品海尔哥哥,
- 福尔JD,
- 米切尔厘米,
- Bakulski公里
- 41岁。↵
- 42。↵
- 萨利纳斯J,
- 奥唐纳一个,
- kojiDJ,等
- 43。↵
- 44岁。↵
- 45岁。↵
- Nishtala一个,
- 皮尔斯RJ,
- HimaliJJ,等
- 46岁。↵
- 47岁。↵
- 48。↵
- 海莉年代,
- 哈基姆我,
- 艾伯特公关
- 49。↵
- 纳尔逊PT,
- Trojanowski金桥,
- 押尼珥埃尔,et al。
- 50。↵
- 拉詹KB,
- 巴恩斯噢,
- 威尔逊RS,等
信:快速的网络通信
-
读者反应:协会的孤独与10年期痴呆风险的脆弱性和早期标记神经认知下降
- TomoyukiKawada,教授,日本医学院
2022年7月28日提交 -
作者回复:协会的孤独与10年期痴呆风险的脆弱性和早期标记神经认知下降
- 乔尔萨利纳斯,神经学家,纽约大学格罗斯曼医学院
2022年4月15日提交 -
读者反应:协会的孤独与10年期痴呆风险的脆弱性和早期标记神经认知下降
- 蒂莫西戴利,科学哲学,巴黎索邦大学
提交08年2月,2022年


