进展在帕金森病运动障碍和残疾
以人群为基础的研究
文摘
摘要目的:探讨危险因素和运动症状的发展速度和残疾人口基数的帕金森病(PD)患者。
方法:232年,PD患者,来自社区流行的一项研究中,随访8年前瞻性。后续检查基线做4和8年之后,和144名患者参加了至少一个随访检查。运动机能和残疾的信息获得使用统一帕金森病评定量表(UPDRS), Hoehn和Yahr登台,施瓦布和英格兰的分数。平均值logistic回归模型被用来描述年度疾病进展和分析潜在风险因素的影响功能下降。
结果:我们也发现了相似的年平均下降UPDRS运动评分和Hoehn Yahr分期的3.1%和3.2%,分别。还UPDRS日常生活活动(ADL)评分和施瓦布和英格兰规模变化同样,每年3.5%和3.6%,分别。年龄、发病年龄、疾病持续时间,在基线和日间极度嗜睡坚强独立的预测因素更大的障碍运动机能和残疾。认知障碍在基线预测更高的残疾和更高的Hoehn Yahr分数。时间发病年龄相互作用被发现的UPDRS运动评分和Hoehn Yahr登台。
结论:运动机能和残疾显著恶化随着时间的推移,和类似的程度。年龄、发病年龄和疾病持续时间,以及症状被认为是由于参与non-dopaminergic大脑结构,预测更运动功能受损和残疾。然而,发病年龄是电动机的主要预测下降我们的队列,显示较慢,更限制年青PD患者的疾病病理过程。
由于缺少体内生物标志物在帕金森病(PD)和当前的局限性神经影像学方法测量nondopaminergic大脑结构的病理变化,临床评估使用有效和可靠的等级量表制定的路线仍然是黄金标准。1
然而,潜在的疾病进展的临床调查,特别是在以人群为基础的群组,仍然是有限的,许多潜在的风险因素提供了相互矛盾的结果PD功能下降。2有几种方法学差异可能导致这种变化。首先,短期随访的患者可能导致不精确的预测和估计的运动障碍疾病和残疾,在几年进展得相当慢。同时,其他类型的帕金森症可能与帕金森病临床重叠,因此不一定是杰出的前几年的疾病持续时间。其次,由于对PD组内异质性,进展率和预后因素不同的子组的PD患者之间可能会有所不同。例如,结果诊断研究中,通常由年轻和运作良好的患者,将不同于那些老,禁用PD患者住在养老院。最后,利率的变化发展,以及预后因素相互矛盾的结果,也可能是使用相关的不同的测量结果。此外,缺乏信息是否神经问题,如疲劳、失眠和日间极度嗜睡,都证明是频繁的PD患者,3、4可以预测未来运动损伤或残疾。
因此,需要代表未来的长期研究,定义良好的群体使用标准化的等级量表的预后因素和发展提供有效信息PD患者功能下降。因此我们遵循前瞻性以社区为基础的PD患者超过8年时间。本研究的目的是评估的进展速度运动机能和残疾,并探讨一些人口统计学和临床特征的影响在PD患者功能下降。
方法。
研究人口。
1993年,患病率研究PD进行Rogaland县在挪威西部,由九个市有220000居民。病人详细招聘已经发表之前。5后在医院广泛搜索文件和评估所有可用的信息来源的研究区域(全科医生、疗养院、地区护士和医疗游客),超过400名受试者评估临床的神经学家研究小组1992年9月至1993年5月。达到完全确定的情况下,病人不能参观门诊检查在家中或疗养院。总共245名患者被诊断为临床明确,可能或可能的PD根据公布的标准。6相应的原油帕金森病患病率为110.9每100000名居民在1月1日,1993年。5随访观察患者前瞻性和4和8年后重新评估。脑结构成像(CT或MRI)是在大多数患者中,只有病人的临床诊断PD整个随访期确认被纳入本研究。迄今为止,子群的22名患者已经评估后神经病理学提供书面知情同意。在所有患者中,神经元损失和α-synuclein-positive路易小体在幸存下来的黑质神经元被发现,从而确认PD的临床诊断。
245名患者的基线,七无法或拒绝参与,和六个病人后来在随访门诊没有遭受PD和排除在研究。剩余的232名患者前瞻性和信邀请参加1997年重新评估。在第一个4年的随访中,81名患者已经死亡,一个人移居国外,六名病人在1997年拒绝参加考试。因此,144名患者都有资格在1997年重新评估。从1997年到2001年,进一步55名患者已经死亡。共有89名患者在2001年被用于评估。
研究设计和病人评估。
检查所有病人进行采访和神经学家和精神病学家的研究小组。使用相同的标准化考试和问卷调查1993年,1997年和2001年。人口统计学变量信息,药物治疗疾病的历史,和半结构式访谈在每个研究中获得了访问。统一帕金森病评定量表7UPDRS运动评分(第三部分:27个项目,范围0 - 108)和Hoehn Yahr登台8被用来评估运动症状的严重程度。残疾是衡量UPDRS ADL评分(第二部分:14个项目,范围0-56)和嘉信理财规模和英格兰。9个别病人的疾病亚型分为tremor-dominant (TD)、postural-instability步态困难(PIGD),和不确定的主导地位UPDRS运动症状的分布和运动部分的得分,在先前的研究中描述的方法。10抑郁症的症状被蒙哥马利和评估Aasberg抑郁量表(MADRS)。11认知障碍的评估,患者和医护人员都是采访。痴呆的诊断是基于信息获得的半结构式访谈根据结合标准和细微精神状态检查(MMSE)。12、13在后续访问,痴呆量表(DRS)14也是管理和MMSE评分的患者16个或多个接受神经心理学考试。痴呆的诊断评估的细节已经公布。15病人报告夜间睡眠问题或使用安眠药被认为有失眠症。诊断的白天嗜睡、频率和持续时间的睡觉时间在白天进行评估。患者分为遭受过度的日间嗜睡(EDS)当他们每天睡超过2小时或者三次或者更多次白天睡着了。4疲劳之前被描述和分类是基于部件的组合从诺丁汉健康状况评定量表(额定马力)和一个7点的。3、16患者报告缺乏能量在额定马力和得分4以上七点量表被分类疲劳。2001年,疲劳也疲劳评估的严重性(FSS)。17
统计分析。
软件SPSS 11.0 (SPSS,芝加哥,IL)和占据(StataCorp LP)是用于统计分析。比较使用Mann-Whitney意味着是由连续变量U测试。不同比例χ为分类变量进行了分析2测试。
平均值回归模型相关数据(哇)18被用来研究运动机能之间的关系(以“UPDRS运动”的得分(第三部分)和Hoehn Yahr分期)和残疾(以施瓦布和英格兰分数和“UPDRS诽谤联盟”的得分(第二部分))作为因变量和各种潜在的预测功能下降。在后续功能障碍之间的关系,下面的基线变量在每个回归模型进行了分析:在发病年龄、性别、疾病持续时间,左旋多巴剂量,疾病亚型(TD,不定亚型,PIGD),根据患者认知障碍和结合标准(痴呆或缺席),抑郁症状以MADRS来衡量,失眠(现在或缺席),EDS(现在或缺席),和疲劳(现在或缺席)。所有基线变量,与后续的互动时间,当重要的,包括在模型中。在第二个模型中,分析重复使用基线年龄而不是疾病的持续时间,与所有其他变量保持不变。双尾p值小于0.05被认为是重要的。
结果。
最初的232名患者来自以人群为基础的流行的一项研究中,144人被审查后4年的随访中,89名患者完成了所有三个研究考试。人口统计学和临床特点研究的人口在基线和后续访问表1和2。
运动机能。
UPDRS运动评分(p< 0.001)和Hoehn Yahr分期(p< 0.001)发展随着时间的推移,每年变化(山坡)3.3分(0到108之间;3.1%)和0.16点(范围从0到5.0;3.2%),患者平均发病年龄(62年)。
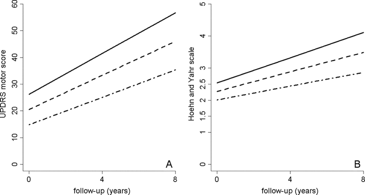
唯一的交流发现被年龄发病时间,对UPDRS运动评分(p= 0.006)和Hoehn Yahr分期(p< 0.001),与发病年龄高陡边坡。UPDRS运动规模,斜率是2.6点(2.4%)/对患者随访一年50岁开始,每年3.8点(3.5%)随访70岁患者疾病的发作(图)。Hoehn和Yahr登台,这些数字是0.11点(2.2%)患者50岁发病,0.20点(3.9%)患者发病年龄在70年。进展的预测时间一个Hoehn Yahr阶段(例如,从阶段2.0到3.0)因此,9.3年疾病发病患者50年,6.3年62岁患者在疾病发作,和5.1年患者疾病的爆发在70年。
图。汽车减少PD患者。年龄onset-dependent疾病进展率衡量统一帕金森病评定量表电动机得分(A)和Hoehn Yahr规模(B)。对所有连续,平均值。协变量分类,使用以下值:女性性,tremor-dominant PD类型,没有痴呆,失眠,白天过度嗜睡或疲劳。
此外,一些基线变量与更多的运动功能受损有关后续所示表3,尽管他们与更快速的汽车没有显著相关性下降。基线变量不相关的得分越高的UPDRS运动部分和Hoehn和随访期间Yahr分段性、疾病亚型,MMSE分数,抑郁症状(以MADRS)、失眠、疲劳。
分析时重复使用基线年龄而不是疾病的持续时间,没有大量的时间被发现的交互。UPDRS运动评分和Hoehn Yahr分期仍然进展明显随着时间的推移,每年的3.3和0.16分。基线变量显著相关水平较高的运动损伤在随访中几乎相同的与那些被发现在主模型。
残疾。
UPDRS ADL评分(p< 0.001)和嘉信理财和英格兰量表(p< 0.001)也随着时间的推移而改变,表明增加残疾在随访中。年平均增加UPDRS ADL评分是1.9分(0到56;3.5%),和相应的减少施瓦布和英国是3.6分(0到100;3.6%)。
发病年龄(p< 0.001)、疾病持续时间(p< 0.001)、MMSE评分(p< 0.05和p< 0.001)和EDS (p= 0.005,p< 0.05)在基线与更大的残疾衡量UPDRS ADL和施瓦布和英格兰在后续考试成绩(表4)。此外,更高的UPDRS ADL评分在随访中也预测更高的MADRS分数在基线(p< 0.05),相关施瓦布和英格兰的分数也高剂量左旋多巴(p在基线< 0.05)。然而,随着时间的推移,这些基线特征相互作用显著。这也适用于额外的分析,在基线年龄(p< 0.001)预测更多的残疾在随访中受损,没有任何时间发现的交互。在两个模型中,性别、疾病亚型,痴呆诊断、失眠、疲劳和基线不相关后续期间高致残率。
讨论。
在目前的研究中我们前瞻性评估功能下降的速度和预测在平均6.5年代表的PD患者。尽管预计缓慢进展的疾病,我们找到类似的年度变化运动症状的严重程度和残疾3.1%到3.6%的四种不同的乐器是新的和显著。一些基线变量,特别是那些从病理变化可能导致nondopaminergic途径(如认知障碍、抑郁和EDS),随访期间有更多的功能受损有关。然而,病人的发病年龄似乎是最重要的预测电动机下降我们的队列。
使用四种不同临床测量仪器的运动机能和残疾是一本研究的力量,除了病人以人群为基础的队列的应用和前瞻性研究设计。虽然很长的间隔检查导致大量流失率由于死亡,追踪损失其他原因是罕见的。后续的持续时间在我们的研究中是最长的疾病进展的报道到目前为止在以人群为基础的研究,并有可能导致病人的识别和排除不患有帕金森病。子组的受试者进行了尸检,所有满足神经病理PD的标准。
认知障碍和EDS认为反映了更广泛的脑疾病变化也在nondopaminergic大脑系统中,4、19被发现预测更严重的运动损伤和残疾。此外,抑郁症状预测减少了日常生活的活动在我们的队列。这是在协议与当前的理解作为一个多系统PD大脑紊乱的神经问题至关重要的对功能和生活质量的影响。20 - 22
电动机的速度下降,这个病人队列是可比的结果与最近的神经影像学研究显示每年减少4.4%到6.6%的纹状体18Ffluorodopa吸收,23和类似的吸收损失的3.5%尾诊断PD患者4.5年以上的宠物早些时候的一项研究中发现。24然而,大约3%的年度增长UPDRS运动评分中观察到我们的病人群体至少两倍以前的研究报告的临床疾病进展PD使用相同的测量仪。虽然Hoehn Yahr规模是一种广泛使用和认可仪器在PD症状评估电机的分段,我们都不知道先前的研究给估计随着时间的推移其年增长率发展。关于之前调查的疾病进展的UPDRS运动得分,一项研究发现每年增加0.7个单位在疾病发作和55岁的门诊随访6年。25其他作者汽车下滑了1.5%患者在发病年龄相似的基线年龄和我们的群组,但平均随访和疾病持续时间要短得多。26我们不认为这些观察进展率之间的差异我们的研究和以往的研究结果不足的医疗或偶尔的评级在断开的病人,虽然这些都是潜在的混杂因素。更有可能的是不同临床和人口之间的差异是由于各自的研究群体。
我们发现,发病年龄明显协同作用随着时间的推移,因此指示电机的速度发展老年患者在发病,可能(至少部分)解释疾病进展率之间的差异在我们先前的研究。也符合,证实了先前的纵向调查中被发现与发病年龄更快速运动衰落。-在其他纵向研究,然而,发病年龄不是独立预测电动机的发展障碍。25日,26日有趣的是,这些研究的特征,而短期随访或年轻的患者群。
关于对电动机的影响下降,结果不一致不仅发病年龄的影响,而且疾病持续时间。25日- 27日,30日,31日尽管最近的神经影像学研究的结果和一些临床研究表明,进展的速度可能会降低负指数的方式与症状持续时间,增加23日,26日我们的研究和其他研究没有发现疾病持续时间对功能下降的影响。27日,31日在这种情况下,重要的是要注意,研究使用成像测量dopamine-metabolism配体或多巴胺转运体活动,尤其是那些发生前症状包括个人,只反映在多巴胺能发射机系统变化。同样的,结果从短期纵向研究短患者疾病的持续时间将主要反映疾病恶化由于病理多巴胺能通路。鉴于帕金森病是一种多系统的大脑紊乱症状较差或没有响应多巴胺治疗变得更加频繁和严重后在疾病持续时间、临床评估疾病进展预计将稳定增加随着时间的推移,甚至在疾病的后期。这或许可以解释为什么长期临床研究,包括病程长的患者测量多巴胺能和nondopaminergic症状,因为它是通过UPDRS,没有显示任何重大疾病持续时间对功能的影响下降。
我们的结果也可能表明不同的开发潜在的neuropathologic变化取决于病人的发病年龄。虽然最近已经表明LRRK2突变,也被发现在挪威的家庭中,可能占临床典型的晚发性帕金森病,32、33遗传因素似乎更频繁和重要的年轻患者在疾病发作。34与已知的基因突变,这些患者的帕金森症的临床表现是在某些情况下的特征,而电机的早期发展问题,但一般电机发展减缓症状和少nonmotor并发症的发展。35我们发现早期疾病患者的疾病进展较慢的发病可能因此至少表明,这些患者的比例在遗传的基础上开发了PD,导致更少的汽车发展迅速,可能由于慢和更多限制潜在的变化相关的大脑区域。
最后,由于共线性,年龄的影响无法评估模型中包括发病年龄和疾病持续时间。因此,我们进行了补充分析,年龄是包括疾病持续时间,与所有其他变量保持不变。如预期的疾病不理解主要是由于加速老化,36基线年龄没有预测功能下降更快。然而,与更高水平的相关后续期间运动损伤和残疾。这是在最近的协议451 PD患者的横断面研究,老化的发现有助于汽车标志的严重程度,与大多数影响轴向症状如语音障碍,步态问题,姿势不稳定。37有趣的是,还在认知障碍和痴呆等神经精神症状(如轴向症状)被认为是由于底层nondopaminergic经典通路外的黑质变化,老年发病年龄而不是已被确定为一个独立的预测因素。15日,38-42最近的一项研究的两个大型社区群nondemented PD病例证实,老年人在基线,但不是发病年龄是一个独立的预测事件在帕金森病痴呆。43此外,PD患者临床病理研究结果和广告显示组间关联之间的清规戒律的蓝斑神经元损失和Meynert下橄榄核,但不是黑质。44这些发现提出的问题是否神经退化基本经典dopamine-responsive症状如震颤、刚度,动作迟缓,一边nondopaminergic发射机系统的变化可能是由于不同的病理机制。作为潜在的神经保护制剂帕金森病在的应该瞄准多巴胺以及于非多巴系统,这个问题在未来的研究中应当明确。
脚注
披露:作者报告没有利益冲突。
收到6月7日,2005年。2005年7月20日接受的最终形式。
引用
- 1。↵
Goetz CG。临床疾病的进展和分期。在第16届国际大会在帕金森病及相关疾病;2005年6月6日;柏林。
- 2。↵
- 3所示。↵
- 4所示。↵
- 5。↵
- 6。↵
- 7所示。↵
Fahn年代,埃尔顿RL统一帕金森病评定量表。:Fahn,年代,马斯登CD, Calne D, Goldstein M, eds。帕金森病的最新发展。抖,新泽西:麦克米伦医疗信息,1987年:153年-163年。
- 8。↵
- 9。↵
施瓦布RS,英格兰AC Jr .)在帕金森病投影技术来评估手术。:吉林厄姆FJ DI,艾德。第三个帕金森病研讨会上。爱丁堡:利文斯顿1969年:152年-157年。
- 10。↵
- 11。↵
- 12。↵
美国精神病学协会。精神疾病诊断与统计手册,修订第三版。华盛顿特区:美国精神病学协会,1987年。
- 13。
- 14。↵
- 15。↵
- 16。
- 17所示。↵
- 18岁。↵
- 19所示。
埃姆雷m .痴呆与帕金森病有关。柳叶刀神经2003年;2:229年-237年。
- 20.↵
- 21。
- 22。
- 23。↵
- 24。↵
- 25。↵
- 26岁。↵
- 27。↵
- 28。
- 29。
- 30.
- 31日。
- 32。↵
- 33。
- 34。↵
- 35。↵
- 36。↵
- 37岁。↵
- 38。
- 39岁。
- 40。
- 41岁。
- 42。
- 43。↵
Larsen JP马德尔KS KJ,唐MX,路易斯·埃德Aarsland d的发病年龄的影响帕金森病痴呆的风险。在第57届美国神经病学学会的年度会议;首页2005年4月;迈阿密海滩。
- 44岁。↵
信:快速的网络通信
你可能也会感兴趣
相关文章
-
没有找到相关文章。
提醒我
推荐的文章
- 文章
GBA基因型与运动协会和功能下降患者新诊断帕金森病乔迪•Maple-Grødem, Ingvild达伦,Ole-Bjørn Tysnes et al。
首页神经学,2020年12月21日 - 文章
代谢综合征和改变协会统一帕金森病评定量表分数莫林Leehey盛罗,Saloni Sharma et al。
首页神经学,2017年9月29日 - 文章
双盲比较pramipexole和溴麦角环肽治疗与安慰剂的先进的帕金森病马克•格特曼国际Pramipexole-Bromocriptine学习小组等。
首页神经学,1997年10月1日 - 文章
司立吉林延迟新创帕金森患者的残疾的发生s . Palhagen e·h·Heinonen j . Hagglund et al。
首页神经学,1998年8月1日


