使用AD病理、脑血管疾病和神经退行性疾病的基线指标预测老年人的认知能力下降
做出评论
看到评论
摘要
背景及目标痴呆症是一项日益严重的社会经济挑战,需要早期干预。在疾病过程的早期识别可靠地预测临床进展的生物标志物将更好地帮助选择未来参与试验的个体。在这里,我们比较了基线、单时间点生物标志物(CSF淀粉样蛋白1-42、CSF ptau-181、白质高强度(WMH)、脑微出血、全脑容量和海马体积)预测后来转变为轻度认知障碍(MCI)的认知正常个体(CNtoMCI)和后来转变为阿尔茨海默病(AD)诊断的MCI患者(MCItoAD)下降的能力。
方法使用来自AD神经成像计划2 (ADNI2)/GO的标准化基线生物标志物数据和纵向诊断数据(包括ADNI3)。Cox回归模型使用所有可用的随访时间点评估与临床诊断变化时间相关的生物标志物。模型适用于单变量和多变量模型中的生物标志物。比较危险比(HRs)以评估生物标志物。CNtoMCI组和MCItoAD组分别进行分析。
结果对于CNtoMCI (n = 189),有强有力的证据表明较高的WMH体积(个体模型:HR 1.79,p= 0.002;全调整模型:HR 1.98,p= 0.003)和较低的海马体积(个体:HR 0.54,p= 0.001;完全调整:HR 0.40,p< 0.001)与MCI的转化个体和独立相关。对于MCItoAD (n = 345),下海马区(个体模型:HR 0.45,p< 0.001;全调整模型:HR 0.55,p< 0.001)和全脑容量(个体:HR 0.31,p< 0.001;完全调整:HR 0.48,p= 0.02),脑脊液ptau增加(个体:HR 1.88,p< 0.001;完全调整:HR 1.61,p< 0.001),脑脊液淀粉样蛋白降低(个体:HR 0.37,p< 0.001;完全调整:HR 0.62,p= 0.008)与阿尔茨海默病的转归密切相关。
讨论较低的海马体积是临床转化为MCI和AD的一致预测因素。脑脊液和脑容量生物标志物可预测MCI向AD的转化,而WMH可预测认知正常向MCI的转化。WMH在CNtoMCI组的预测能力可能被解释为一些不同的病理途径,如血管性认知障碍。
术语表
- 广告=
- 阿尔茨海默病;
- ADNI=
- 阿尔茨海默病神经成像倡议;
- CDR=
- 临床痴呆等级;
- 招商银行=
- 脑microbleeds;
- CN=
- 认知正常;
- 化学汽相淀积=
- 脑血管疾病;
- 人力资源=
- 风险比;
- MCI=
- 轻度认知障碍;
- 患者的=
- 简易精神状态检查;
- SMC=
- 重要的内存问题;
- 研究负责人=
- 白质高强度;
- TIV=
- 颅内总容量
痴呆症影响着全球5000多万人,使其成为我们这个时代最大的社会经济挑战之一。1在痴呆症病例中,约50%-75%的病例将初步诊断为阿尔茨海默病(AD),在死后混合病理的病例比例很高。2早期诊断和预测临床进展是必要的,因为在认知能力显著下降之前进行早期干预可能会导致更有效的治疗。在没有初始认知障碍和轻度认知障碍(MCI)的患者中,识别可预测临床进展的生物标志物将更好地帮助选择未来参与试验的个体。由于生物标志物代表不同的病理过程,评估其个体和独立的预测能力将进一步帮助我们理解MCI和AD进展的复杂性。
人们普遍认为,代表AD标志性病理的生物标志物,如细胞外脑淀粉样蛋白沉积和细胞内磷酸化tau缠结积累,先于神经退行性病变生物标志物。3.在临床AD中,这些生物标记物估计在认知障碍最早迹象出现前大约10-15年偏离,4有报道称淀粉样蛋白在tau蛋白之前发生了变化。脑脊液中淀粉样蛋白和tau蛋白的生物标志物分别与死后淀粉样蛋白沉积和tau蛋白积累一致。5脑脊液淀粉样蛋白β(1-42)和磷酸化tau 181 (ptau)在预测健康对照组的临床变化方面有不同的报道。在单变量模型中,淀粉样蛋白和ptau均已被证明与MCI症状发作的进展有显著相关性,6但当用全脑容量建模时,只有较高的ptau水平被证明与进展有关。7另有报道将脑脊液淀粉样蛋白和ptau分为阳性和阴性组,发现淀粉样蛋白或ptau阳性与AD或痴呆的进展相关,脑脊液淀粉样蛋白显示比ptau组分离增加。8
脑萎缩是痴呆症中神经退行性变的一个公认的下游生物标志物。9先前在MCI患者中使用Cox回归建模的研究发现,单个时间点的全脑和海马体积可以预测未来发展为AD。10,11一些研究结果表明,全脑容量、海马体积和CSF淀粉样蛋白分别可预测MCI向AD的转化,而在多变量模型中,只有全脑和海马体积具有显著性。12关于使用这些生物标记物来预测从对照组到MCI的下降的信息很少。
一些报道强调了脑血管病(CVD)在AD中的共存。13,14CVD有许多与不同的潜在病理相关的影像学特征。推测血管来源的白质高强度(WMH)和脑微出血(CMBs)是两种被认为代表不同病理过程的影像学特征,15两者都与神经退化有关。16,17基线时较高的WMH负担与稍后发展为MCI相关,18据报道,MCI发病前WMH体积会增加。19在总tau蛋白水平较低的个体中,WMH已被证明与轻度认知障碍症状的发作有关,20.但当用脑脊液生物标志物(淀粉样蛋白和ptau)建模时就不是这样了。由于WMH和CMB在AD中存在,并且在单变量和较小的多变量模型中发现混合结果,在单独预测进展和在具有AD和神经退行性变生物标志物的模型中评估这些标志物非常重要。
评估经典生物标志物的Cox回归模型通常专注于单变量生物标志物模型,8,10,11其中一些研究探索了多变量模型中ad相关生物标志物的相关性。7,12,20.由于AD通常存在多种病理,因此考虑这些生物标志物的个体和独立关联是有用的。这将进一步有助于推断参与AD病理的竞争标记物,并阐明始终与临床进展相关的生物标记物。
在这项研究中,我们评估了病理学的单个时间点(基线)生物标志物及其单独和独立的能力,以预测无痴呆症患者的后续临床进展。在这里,我们使用生存分析来探索ad相关病理的CSF生物标志物(淀粉样蛋白和tau蛋白),神经退行性生物标志物(全脑和海马体积),以及CVD测量(WMH和CMB)是否有助于预测临床进展。除了评估每个标记物的个体预测价值外,我们还拟合了一个包括所有生物标记物的多变量模型,以预测从正常认知(CN) (CNtoMCI)到MCI的进展(MCItoAD)。通过关注单个时间点生物标记物,我们的目标是评估横断面(单次访问)测量的临床效用,因为纵向指标可能不可能收集所有个体。
我们假设,由于每个组的初始临床阶段不同,从CN到MCI和从MCI到AD的转换预测因素将有所不同。此外,我们假设由于群体中病理的异质性,多种生物标记物比单个生物标记物更能预测转化。
方法
队列
本文编写过程中使用的数据来自AD神经成像计划(ADNI)数据库(adni.loni.usc.edu).ADNI成立于2003年,是由首席研究员Michael W. Weiner博士领导的一个公私合作伙伴关系。ADNI的主要目标是测试是否可以将连续MRI、PET、其他生物标记物以及临床和神经心理学评估相结合来测量MCI和早期AD的进展。有关最新信息,请参见adni-info.org.
在这项研究中,新入组的ADNI2/GO参与者在基线评估(筛查访问后)时为CN或患有MCI。这些参与者在ADNI2/GO过程中被跟踪,一些人继续ADNI3。CN组包括那些被标记为CN或显著记忆问题(SMC)的人;根据筛查访视,轻度认知障碍组的人患有晚期或早期轻度认知障碍。
目前研究中包括的所有人都健康状况良好,年龄在55-90岁之间,能流利地说英语或西班牙语,有一个可靠的研究伙伴,Hachinski评分<5。只包括那些日常生活活动得以保留且除疑似AD外无任何其他显著神经系统疾病的参与者。
CN个体定义为基线时迷你精神状态检查(MMSE)评分在24 - 30(含)之间,临床痴呆评分(CDR)评分为0。根据韦氏记忆量表逻辑记忆II中1段延迟回忆的教育调整分数,CN个体正常运作。报告主观记忆问题的CN个体被标记为SMC。MCI患者被要求在基线时MMSE得分在24到30之间(含),客观记忆丧失通过韦氏记忆量表逻辑记忆II的教育调整得分,全球CDR等于0.5,并报告主观记忆问题。
患者在基线、第6个月、第12个月和每年进行诊断。在这些时间点记录诊断的变化。在随访中,有临床进展证据的患者由现场医生给予转换诊断,而有改善的患者可能得到恢复诊断。对于那些从MCI发展到AD的患者,通过MMSE评分在20到26之间(包括),CDR为0.5或1.0,主观记忆问题,以及NINCDS-ADRDA可能的AD标准来定义AD患者。
要纳入本研究,受试者必须在基线访问时进行CSF淀粉样蛋白β 1-42和磷酸化tau 181 (ptau)的完整测量,并进行适当的MRI扫描,以产生WMH、CMB、全脑、海马和总颅内容量(TIV)测量的质量测量。
CSF测量
基线CSF淀粉样蛋白1-42和ptau 181测量值(未转化为ADNI1)来自ADNI生物标志物核心(宾夕法尼亚大学),使用基于微珠的多重免疫分析,INNO-BIA AlzBio3 RUO测试(Fujirebio,根特,比利时),在Luminex平台(Luminex Corp,奥斯汀,德克萨斯州)(UPENN_CSF_Biomarker_Data_Master [ADNI1,GO,2],版本:2016-07-05)。
假定的脑血管测量
使用BaMoS计算幕上脑区假定血管来源的WMH体积(应用于FLAIR和t1加权图像)。21所有输出均由经验丰富的评分员进行视觉评估。22
使用T2*加权成像的微出血解剖分级表来识别和计数可能和确定的微出血的数量。23FLAIR和t1加权成像均登记在T2*加权成像上,以确保准确识别微出血。对于微出血的识别和WMH的检查,使用软件包NiftyMIDAS(医学图像计算中心,UCL)。24
脑容量测量
从t1加权扫描中提取全脑容量、海马容量和TIV。全脑容量使用半自动脑地图计算,25使用MIDAS进行质量控制和手动编辑。26使用STEPS计算质量控制的海马体积,27使用Geodesic信息流标签融合框架从t1加权图像计算TIVs。28
人口统计资料
诊断和人口统计数据(年龄、性别、种族、教育程度和随访时间)从ADNI数据库(adni.loni.usc.edu/).
统计分析
数据转换
我们一开始用对数变换(log2) WMH,然后对Cox回归模型中使用的所有生物标志物进行标准化,以产生z分数。标准化使个体生物标志物在预测诊断变化方面的能力具有一致性和比较。我们进一步对那些显示显著的进展预测的生物标记物使用中位数分割创建了二分类生物标记物,以促进结果可视化。由于其双峰性质,使用高斯混合模型建立脑脊液淀粉样蛋白的值,用于对结果进行二分(切割点256 pg/mL)。这是使用R29之前这个变量用过。30.
基线(第一个时间点)变量分析
CNtoMCI组和MCItoAD组分别进行分析。对于连续的测量,我们使用线性回归来评估那些转换的人是否与那些保持稳定的人不同。对于WMH,回归模型采用对数变换的WMH。对于二元变量,使用Fisher精确检验。
预测进展的建模
CNtoMCI组和MCItoAD组分别进行分析。采用Cox比例风险回归,考虑到时间-事件结果(诊断改变和命名生存概率)和数据审查。每个生物标志物分别拟合了单独的模型,以及一个多变量(完全调整)模型。
为了确定危险是否随时间变化不变,进行了比例危险评估的检验。在非比例危险的实例中,为每个非比例标记引入了日志时间的相互作用。
采用似然比检验比较不同模型的拟合优度。使用Harrell's c指数来评估完全调整模型与单变量模型的预测能力。在非比例风险模型中,使用加权c指数,31即使存在非比例的危险,也可以发现平均危险比(HR)。
除了单个和完全调整的模型,我们还创建了不同组组合的其他探索性模型(表1和表2)。links.lww.com/WNL/C477).这些探索性模型包括脑脊液模型(淀粉样蛋白,ptau),假定的血管模型(WMH,微出血)和神经退行性变(体积)模型(全脑,海马)。
调整和协变量
在人口统计学中,TIV被纳入线性回归评估组间WMH、海马体积和全脑容量差异的累赘协变量。对于Cox回归模型,年龄被用作协变量。包括WMH、海马体积和全脑体积的Cox回归模型也将TIV作为一个有害的协变量。表3-6显示了未调整Cox回归模型的结果(除去TIV的有害变量)以及年龄、性别和教育协变量模型的结果。links.lww.com/WNL/C477.
结果可视化
为了使数据可视化,我们创建了森林图来显示每个标记分别建模(使用来自各个模型的输出)和独立建模(来自完全调整的模型)的HR和95% ci。对于重要的生物标志物,我们使用前面描述的二分值制作了Kaplan-Meier曲线来显示随时间变化的转换概率。
标准方案批准、注册和患者同意
对于ADNI,每个参与地点的机构审查委员会批准了方案和知情同意书。
数据可用性
匿名数据可从ADNI (adni.loni.usc.edu/),并可向任何合资格的调查人员索取所包括的资料。
结果
从最初的1217个样本中,由于数据不完整,661名参与者被移除(n = 395, CNtoMCI;n = 266, MCItoAD)。另有22名参与者因波动、恢复或缺失纵向诊断而被移除(n = 3, CNtoMCI;n = 19, MCItoAD)。
其余534人(CNtoMCI, n = 189;MCItoAD, n = 345)被纳入本研究(表格).对于CNtoMCI组,我们发现在基线时转换者的年龄要大4岁以上(p< 0.001),并以两倍体积的WMH (p< 0.001),高于那些保持稳定和认知正常的人。在这组中,转换者有较低的脑脊液淀粉样蛋白(p= 0.002),全脑容量(p= 0.001),海马体积(p< 0.001)。在MCItoAD组中,我们发现转换器的年龄接近2年(p= 0.04),脑脊液ptau (p< 0.001),有微出血的个体(p= 0.01)。那些从MCI转变为AD的患者脑脊液淀粉样蛋白水平较低(p< 0.001),全脑容量(p< 0.001),海马体积(p< 0.001)。在排除个人之前,完整的人口统计数据在表7中报告,links.lww.com/WNL/C477.
CNtoMCI
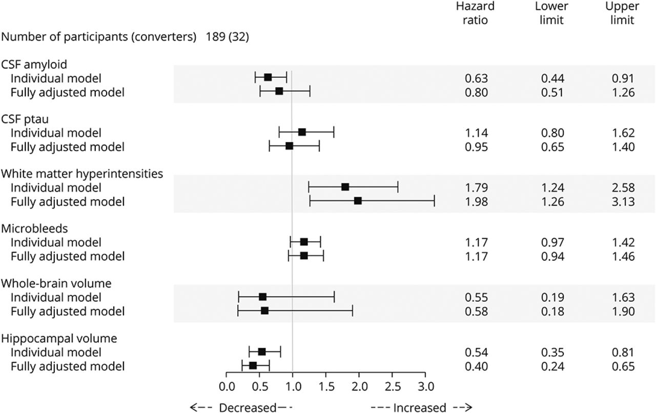
在单独和完全调整的模型中,更大的WMH负担和更低的海马体积与CN向MCI的转化最为密切相关(图1).在完全调整的模型中,较高的WMH (HR 1.98;p= 0.003)和较低的基线海马体积(HR 0.40;p< 0.001)。脑脊液淀粉样蛋白水平降低与转化相关(HR 0.63;p< 0.001)。没有证据表明脑脊液ptau、微出血或全脑容量与转化有关。使用似然比检验,有证据表明,与每个单独的模型相比,完全调整的模型具有更好的拟合(p所有试验均< 0.004)和完全调整模型的Harrell's c指数(0.77)高于单个标记物。
HR评分(以及CI上限和下限)分别来自Cox回归模型,并在完全调整的模型(包含所有生物标志物)中进行年龄调整。个体模型、WMH、海马体积、全脑体积和完全调整模型均进行TIV调整。在所有情况下均符合比例危险(PH)假设(p> 0.05,所有测试)。单独的条形图直观地表示这些hr及其估算的不确定性(上限和下限)。低于1的柱状图强调了生物标志物水平的降低与进展相关,而高于1的柱状图强调了生物标志物水平的增加与进展相关。横线1与临床进展无显著相关性。CN =认知正常;HR =危险比;TIV =颅内总容量;白质高强度。
脑脊液、假定血管和体积的其他模型报告在表1中,links.lww.com/WNL/C477.脑脊液淀粉样蛋白(HR 0.62;p= 0.02)在CSF模型中是可预测的,WMH (HR 1.75;p= 0.004)在假定的血管模型中是可预测的,海马体积(HR 0.55;p= 0.006)在体积模型中是可预测的。
WMH报告图2一个, Kaplan-Meier曲线显示,WMH值在中位数两侧的患者之间存在明显区别,大于中位数的患者更有可能发展为MCI。海马体积报告图2 b,在每个时间点上,那些体积较小的分子有更高的转化率,但在估计的95% ci中有重叠。
MCItoAD
较低的海马体积、全脑容量、脑脊液淀粉样蛋白和较高的脑脊液ptau与MCI向AD的后期转化密切相关,无论是单独还是独立的(图3).有证据表明,转换与较高的脑脊液ptau有很强的相关性(HR 1.61;p< 0.001),海马体积降低(HR 0.55;p< 0.001),脑脊液淀粉样蛋白降低(HR 0.62;p= 0.008)和较低的全脑容量(HR 0.48;p= 0.008)。完全调整模型的拟合显著优于所有单独模型(p所有试验均< 0.001),与单个标记物相比,完全调整模型的加权Harrell's c指数(0.81)更高。
年龄调整后MCItoAD组的个体和完全调整模型的风险比及其上限和下限。个体模型、WMH、海马体积、全脑体积和完全调整模型均进行TIV调整。所有个体模型均符合比例风险假设(p> 0.05,所有试验)排除海马体积,因此考虑了时变系数(TVC)。在完全调整的模型中,这一假设不符合全脑容量或海马容量(p两项试验均< 0.05),并计入TVC校正。TVC校正也适用于年龄。单独的条形图直观地表示这些hr及其估算的不确定性(上限和下限)。低于1的柱状图强调了生物标志物水平的降低与进展相关,而高于1的柱状图强调了生物标志物水平的增加与进展相关。横线1与临床进展无显著相关性。阿尔茨海默病;HR =危险比;轻度认知障碍;白质高强度。
eTable 2,links.lww.com/WNL/C477,在其他模型(CSF,假定血管和体积)中显示出生物标志物的预测能力。与个体和完全调整的模型一致,较低的海马体积和全脑容量、较高的脑脊液ptau和较低的脑脊液淀粉样蛋白与MCI向AD的后期转化最为密切相关。
Kaplan-Meier曲线(图4一)显示CSF淀粉样蛋白阳性和CSF淀粉样蛋白阴性个体之间有明显的区别,淀粉样蛋白阳性个体更有可能发展为AD。脑脊液ptau Kaplan-Meier曲线显示,那些大于中值的患者更有可能转化为AD (图4 b).对于海马体积,体积低于中位数的人更有可能转化为AD (图4 c).对于全脑容量,那些容量低于中位数的人更有可能转化为AD (图4 d).
讨论
我们发现,在转换为MCI的对照组中,较低的海马和较高的WMH体积预示着进展;较低的海马体积、脑脊液淀粉样蛋白、全脑容量和较高的脑脊液ptau可以预测MCI向AD的进展。较小的海马体是两组临床进展的一致预测因子。值得注意的是,包含所有变量的模型比单独调查每个感兴趣的标记的模型更适合。
有强有力的证据表明,较高的WMH体积和较低的海马体积单独和独立地与MCI的转化相关。在我们的主要分析中,较低的全脑容量和较低的脑脊液淀粉样蛋白与MCI的转化相关,但在单独考虑时并非独立考虑。
过去的研究表明,脑脊液淀粉样蛋白是认知障碍的重要预测因素,32先前的单变量模型报告了与MCI进展的显著相关性。7这与我们目前在单变量模型中的发现是一致的,我们对此进行了扩展,以表明在考虑其他生物标志物时,这种关联并不显著。这表明,在招募作为对照的个体队列中,其他生物标志物(海马体积和WMH)可能更好地识别那些可能发展为轻度认知障碍的人。
我们没有发现ptau可以预测未来发展为MCI的证据。关于ptau有不同的发现,一些研究报告缺乏证据表明ptau是早期疾病阶段的预测因子,并得出结论,它可能在疾病后期有用。32这可能表明我们的CNtoMCI队列在疾病中可能太早,无法发现ptau的预测性。在我们的模型中,ptau也可能不是一个重要的预测因子,因为该组中转换为MCI的个体可能并不都处于AD途径上。该组中很大一部分转化者可能遵循更多的血管或混合病理途径,这可能解释了我们的发现与以前工作之间的差异。6,7由于血管性痴呆患者的ptau水平与健康对照组相似,33这进一步表明,我们的CNtoMCI队列可能包含AD、血管或其他途径的混合人群。
在该组中,WMH与进展的强相关性可能与这些个体处于更多血管性或混合性痴呆途径上一致。18,19评估脑小血管疾病患者的支持性证据表明,WMH和海马体积在预测痴呆症进展方面有用,34与我们的发现一致。另一项研究报告与WMH和进展无关。20.正如他们所指出的,我们不能确定那些转换为MCI的人是否会发展为AD或其他痴呆症类型,我们也不能确定如果他们真的转换了,他们将满足哪些临床标准。
在CSF模型中(表1,links.lww.com/WNL/C477),脑脊液淀粉样蛋白显著。在没有年龄作为协变量的情况下,微出血与病情进展单独相关(表3)。这2个标记物在个体、完全调整和补充分析中的显著性差异表明,可能存在与其他标记物的相关性。例如,CSF淀粉样蛋白和WMH之间的关系先前已被证实。35由于WMH和海马体积是强有力的预测因子,它们可能会影响脑脊液淀粉样蛋白和大模型微出血的关系。
这些结果表明,无论是在个体还是在包括其他AD病理生物标志物的模型中,较高的WMH和较低的海马体积都是健康对照组临床进展的强预测因子。虽然我们还不知道这些个体未来是否会发展为AD,但使用基线WMH和海马体积对识别那些发展为认知障碍的人是有用的,这些发现可能有助于丰富临床试验。值得注意的是,包含所有变量的模型比单个模型更适合,这表明捕捉全面病理的生物标记物更有可能识别出可能进展的个体。
在包括补充模型在内的所有模型中,较低的海马体积、全脑容量、脑脊液淀粉样蛋白和较高的脑脊液ptau与AD的转化最为密切相关(表2)。links.lww.com/WNL/C477).
这些结果与假设的生物标志物模型一致,3.之前的海马体积单变量模型,36全脑体积,12CSF ptau,37脑脊液淀粉样蛋白,38作为转换为AD的预测因素。这些结果的验证性方面加强了它们在识别可能进步的个体时的个体使用。
在不考虑年龄协变量的完全调整模型中,当对年龄、性别和教育程度进行调整时(表5和表6),links.lww.com/WNL/C477),全脑容量不能预测病情进展。这强调了基线全脑容量的可变性是AD进展的明确预测因素。过去使用基线全脑容量的单变量模型的报告表明,脑容量具有预测性,12其他报告显示,这一标记没有显著的预测能力。36,39包括全脑萎缩在内的多变量模型并没有将全脑容量作为一个重要的预测因素,36,39因为进行性萎缩可能是一个更强的预测指标。我们与以往工作之间的差异可能是由于该标记物与其他协变量的关联,以及与AD进展的更微妙的关联。更具体的区域标记,如海马体积,是临床进展的更一致的预测指标。
在多变量模型中,我们的工作与他人的工作存在差异。与脑脊液淀粉样蛋白,以前的研究报告没有关联在其他多变量模型。12由于这些先前的模型考虑了复合认知标记物而没有考虑脑血管标记物,这可能表明与淀粉样蛋白沉积部分相关的认知标记物可能在识别可能进展的患者方面提供额外的好处。未来的工作可以将这些认知测量纳入我们的多变量模型,以进一步探索这些关联。另一篇报道多变量模型的出版物也显示海马体积或脑脊液淀粉样蛋白没有相关性。40由于该研究没有单独考虑这些标志物,因此很难推断海马体积和脑脊液淀粉样蛋白是否单独具有预测性,或者它们的关联受到模型中包括的其他生物标志物的影响。
有趣的是,尽管据报道AD患者中CMB患者的比例和WMH体积高于MCI患者,41我们没有发现这些标记物与未来的进展相关。此外,脑脊液和脑容量标记物在预测AD进展方面独立于WMH和CMB。
我们在MCItoAD中的发现证实了假设的生物标志物模型和之前的个体Cox回归模型。重要的是,我们报告了关键ad相关生物标志物(淀粉样蛋白、tau蛋白和神经退行性变)与未来诊断进展的个体关联,它们相互独立的预测能力,以及假定的血管标志物。我们还表明,包含所有变量的模型在预测转换方面比单个模型更好,在临床试验中识别可能诊断进展的MCI个体时应予以考虑。
ADNI排除了严重CVD(由Hachinski缺血性评分>4确定)的参与者。即使有这样的限制,我们发现WMH是CN个体向MCI转化的重要预测因子。然而,这可能意味着我们低估了CVD的影响及其对进展的影响。在MCItoAD中,我们可能忽略了当前队列中血管疾病的实际影响,而该影响可能存在于更广泛的MCI组中。很难将这些发现推广到基于社区的人群,特别是MCI和AD中同时存在血管病变。
陷窝可能是一个重要的血管标志物,因为它们与神经退行性变和WMH有关。15,16ADNI排除了那些在关键记忆结构中有多个陷窝和陷窝的人。我们发现有陷窝的样本量太小,不能正式考虑测试这个变量。
目前的学生群体主要由受过良好教育的白人组成。这限制了我们研究对更多样化人群的泛化性。
在目前的研究中,大多数被诊断为轻度认知障碍的人都有失忆的表现。关于ADNI中“失忆性MCI”一词的使用存在一些争议,42未来的工作可以探索记忆障碍的水平是否会影响ADNI队列的结果。
对于多变量Cox回归模型,我们选择在完整的案例中呈现数据。排除那些数据缺失的数据可能会使我们的分析产生偏差,此外还会降低检测效果的能力。这导致样本量更小,一些不稳定性将从未来更大的队列复制中受益。
最重要的是,我们没有尸检证实导致认知障碍的疾病。这仍然是确认诊断的黄金标准。
随着ADNI队列的持续随访,有可能研究从CN发展到MCI再发展到痴呆的个体。这可能会让我们对阿尔茨海默病最早的生物标志物做出推断。考虑那些发展为其他血管性和混合性痴呆的患者也很重要,因为我们可以对先前报道的CNtoMCI和MCItoAD组的重要预测因素做出准确的推断。通过继续跟踪这些个体的病程,通过更广泛的诊断病因,可以推断出有关疾病进展、异质性和进一步的生物标志物预测的重要信息。
我们的工作评估了经典AD病理、假定CVD和神经退行性病变的基线生物标志物。通过拟合独立的和相互调整的多变量模型,我们能够全面评估这些生物标志物与临床进展的相关性,无论是单独的还是独立于其他生物标志物的。此外,这使我们能够建立包括所有变量的模型比单个模型更好地预测进展。我们的发现增加了现有的生物标志物的文献,预测从对照组到MCI以及从MCI到AD的进展,并将帮助研究人员选择所需的生物标志物,以确定可能出现临床进展的个体。
目前的研究检验了生物标志物的单变量和多变量Cox回归模型,这些模型可能有助于预测AD的临床进展。由于以前的研究通常集中在单变量模型上,我们的新研究扩展了这一点,以证明生物标记物可以独立预测MCI和AD的转化,并证明生物标记物在更大的多变量模型中相互之间的关联。
这项研究表明,在作为对照组的参与者中,较高的WMH和较低的海马体积预测了MCI的临床转化,而较高的ptau、较低的海马体积和较低的CSF淀粉样蛋白预测了MCI向AD的转化。海马体积降低是未来临床进展的一致预测因子,这可能是由于它是一个易受许多病理损伤的结构,其体积的减少将影响与MCI和AD相关的记忆和认知过程。我们的结果表明,WMH是未来认知障碍的早期生物标志物。这可能是因为本研究中转换为MCI的对照组采用的是混合或非ad病理途径。在单变量和多变量模型中,基线WMH和海马体积都是转化为MCI的有意义的预测因子,强调了它们在帮助确定未来临床进展风险和确定未来试验参与风险方面的重要性。
研究资金
痴呆症研究中心(DRC)由英国阿尔茨海默病研究中心、脑研究信托基金会和沃尔夫森基金会支持。
信息披露
L.普罗瑟报告称,没有向支持刚果民主共和国的机构披露更多信息;A. Macdougall得到了NIHR UCLH生物医学研究中心和英国阿尔茨海默病研究中心的支持;C. H. Sudre, E. N. Manning, I. B. Malone和P. Walsh报告除了那些支持刚果民主共和国的信息外,没有披露任何信息;O. Goodkin得到了NIHR UCLH生物医学研究中心的支持;H. Pemberton报告称,除了支持刚果民主共和国的信息外,没有其他信息披露;F. Barkhof由NIHR UCLH生物医学研究中心支持;Biogen、Merck、Roche、EISAI和Prothena的指导委员会或iDMC成员;罗氏、Biogen、Merck、IXICO、Janssen和Combinostics的顾问;与默克(Merck)、百健(Biogen)、通用电气(GE Healthcare)和罗氏(Roche)签订了研究协议;Queen Square Analytics Ltd的联合创始人兼股东; G.J. Biessels reports no disclosures. D. M. Cash and J. Barnes report no disclosures additional to those that support the DRC. Data collection and sharing for this project was funded by the Alzheimer's Disease Neuroimaging Initiative (ADNI) (National Institutes of Health Grant U01 AG024904) and DOD ADNI (Department of Defense award number W81XWH-12-2-0012). ADNI is funded by the National Institute on Aging, the National Institute of Biomedical Imaging and Bioengineering, and through generous contributions from the following: AbbVie, Alzheimer’s Association; Alzheimer’s Drug Discovery Foundation; Araclon Biotech; BioClinica, Inc.; Biogen; Bristol-Myers Squibb Company; CereSpir, Inc.; Cogstate; Eisai Inc.; Elan Pharmaceuticals, Inc.; Eli Lilly and Company; EuroImmun; F. Hoffmann-La Roche Ltd and its affiliated company Genentech, Inc.; Fujirebio; GE Healthcare; IXICO Ltd.;Janssen Alzheimer Immunotherapy Research & Development, LLC.; Johnson & Johnson Pharmaceutical Research & Development LLC.; Lumosity; Lundbeck; Merck & Co., Inc.;Meso Scale Diagnostics, LLC.; NeuroRx Research; Neurotrack Technologies; Novartis Pharmaceuticals Corporation; Pfizer Inc.; Piramal Imaging; Servier; Takeda Pharmaceutical Company; and Transition Therapeutics. The Canadian Institutes of Health Research is providing funds to support ADNI clinical sites in Canada. Private sector contributions are facilitated by the Foundation for the National Institutes of Health (www.fnih.org). The grantee organization is the Northern California Institute for Research and Education, and the study is coordinated by the Alzheimer's Therapeutic Research Institute at the University of Southern California. ADNI data are disseminated by the Laboratory for Neuro Imaging at the University of Southern California. Go to首页Neurology.org/N全面披露。
附录1作者
附录2合作人员
脚注
提交并经外部同行评审。处理编辑是José梅里诺,医学博士,哲学硕士,FAAN。
去首页Neurology.org/N全面披露。作者认为相关的资金信息和披露(如果有的话)将在文章末尾提供。
文章处理费用由UCL豁免基金资助。
本文准备中使用的数据来自阿尔茨海默病神经成像计划(ADNI)数据库(adni.loni.usc.edu)。因此,ADNI内部的调查人员为ADNI的设计和实施做出了贡献和/或提供了数据,但没有参与本报告的分析或撰写。ADNI调查人员的完整列表可在附录2在links.lww.com/WNL/C478.
CME过程:NPub.org/cmelist
- 收到了2022年2月16日。
- 最终接受2022年9月28日。
- 版权所有©2022由Wolters Kluwer健康公司代表美国神经病学学会出版。首页
这是一篇开放获取的文章,根据创作共用署名许可4.0 (CC BY)它允许在任何媒介上不受限制地使用、传播和复制,前提是正确地引用原始作品。
参考文献
- 1.↵
痴呆症统计数字[在线].alzint.org/about/dementia-facts-figures/dementia-statistics/.访问时间为2022年5月13日。
- 2.↵
- 3.↵
- 4.↵
- 5.↵
- 6.↵
- 7.↵
- 8.↵
- 9.↵
- 10.↵
- 11.↵
- 12.↵
- 13.↵
- 14.↵
- 15.↵
- 16.↵
- 17.↵
- 18.↵
- 19.↵
- 20.↵
- 21.↵
- 22.↵
- 23.↵
- 24.↵
NiftyMIDAS.访问,2022年11月。http://cmic.cs.ucl.ac.uk/platform/niftk/current/html/index.html
- 25.↵
- 26.↵
- 27.↵
- 28.↵
- 29.↵
- 30.↵
- 31.↵
- 32.↵
- 33.↵
- 34.↵
- 35.↵
- 36.↵
- 37.↵
- 38.↵
- 39.↵
- 40.↵
- 41.↵
- 42.↵
信件:快速在线通信
需求
如果你要上传关于文章的信件:
您必须在六个月内更新您的披露:http://submit.首页neurology.org
您的合著者必须发送一份完整的出版协议表格来首页(对于主要/通讯作者不需要填写以下表格即可),然后再上传您的评论。
如果你在回复一篇关于你最初撰写的文章的评论:
您(和共同作者)不需要填写表格或检查披露,因为作者表格仍然有效
并适用于信件。
提交规格:
- 文章必须少于200字,参考文献少于5篇。参考文献1必须是你所评论的文章。
- 投稿者不得超过5人。(例外:原作者回复可以包括文章的所有原作者)
- 只可提交发稿日起6个月内发表的文章。
- 不要冗余。在提交之前阅读文章上已经发布的任何评论。
- 提交的意见在发表前须经过编辑和编辑审查。


