跳到主要内容
  • 首页Neurology.org
  • 期刊
    • 首页
    • 临床实践
    • 教育
    • 遗传学
    • 神经免疫学与神经炎症
  • 在线部分
    • 首页神经病学视频杂志俱乐部
    • 多样性、公平和包容(DEI)
    • 护理服务的创新
    • 实践的嗡嗡声
    • 当前实践
    • 住院医师和研究员
    • 无国界
  • 188app官网下载
    • 新型冠状病毒肺炎
    • 争议与争论
    • 健康差异
    • 信息图
    • 首页神经学未来预测系列
    • 零假设
    • 188app苹果
    • 话题无所不包的
    • 翻译
  • 188bet官网app网址
  • 芝加哥商品交易所
  • 关于
    • 关于期刊
    • 1888博金宝
    • 188app
  • 作者
    • 提交新稿件
    • 提交修改稿
    • 作者中心

高级搜索

主菜单

  • 首页Neurology.org
  • 期刊
    • 首页
    • 临床实践
    • 教育
    • 遗传学
    • 神经免疫学与神经炎症
  • 在线部分
    • 首页神经病学视频杂志俱乐部
    • 多样性、公平和包容(DEI)
    • 护理服务的创新
    • 实践的嗡嗡声
    • 当前实践
    • 住院医师和研究员
    • 无国界
  • 188app官网下载
    • 新型冠状病毒肺炎
    • 争议与争论
    • 健康差异
    • 信息图
    • 首页神经学未来预测系列
    • 零假设
    • 188app苹果
    • 话题无所不包的
    • 翻译
  • 188bet官网app网址
  • 芝加哥商品交易所
  • 关于
    • 关于期刊
    • 1888博金宝
    • 188app
  • 作者
    • 提交新稿件
    • 提交修改稿
    • 作者中心
  • 首页
  • 最新文章
  • 最新一期
  • 过去的问题
  • 首页神经病学视频杂志俱乐部
  • 住院医师和研究员

用户菜单

  • 订阅
  • 我的提醒
  • 登录

搜索

  • 高级搜索
首页
首页
最广泛阅读和高度引用的同行评审神经病学杂志首页
  • 订阅
  • 我的提醒
  • 登录
网站的标志
  • 首页
  • 最新文章
  • 最新一期
  • 过去的问题
  • 首页神经病学视频杂志俱乐部
  • 住院医师和研究员

分享

2019年11月05日 ;93 (19) 文章 开放获取

在庞贝病成人患者中,酶治疗10年的效果有很大差异

Laurike Harlaar,让Hogrel,芭芭拉Perniconi,Michelle E. Kruijshaar,Dimitris Rizopoulos,Nadjib Taouagh,Aurelie运河,以斯帖Brusse,彼得·范·多恩,范德普莱格说,帕斯卡Laforet,娜丁·范·德·比克
第一次出版2019年10月16日 DOI: https://doi.org/10.1212/WNL.0000000000008441
Laurike Harlaar
来自荷兰鹿特丹大学医学中心神经内科(l.h., 首页e.b., p.a.v.d., n.a.m.e.v.d.b.)和儿科(m.e.k., a.t.v.d.p.),溶酶体和代谢疾病中心Erasmus MC和生物统计学系(dr);肌学研究所(j.y.h., b.p., n.t., A.C.), Pitié-Salpêtrière医院,巴黎;神经内科(P.L.),北/东首页/法兰西岛神经肌肉中心,雷蒙德Poincaré教学医院,AP-HP, Garches;和INSERM U1179 (P.L.), END-ICAP, Université凡尔赛Saint-Quentin-en-Yvelines,蒙蒂尼-勒-布雷顿纽,法国。
  • 在谷歌Scholar网站上找到这位作者
  • 在PubMed上找到这位作者
  • 在这个网站上搜索这位作者
让Hogrel
来自荷兰鹿特丹大学医学中心神经内科(l.h., 首页e.b., p.a.v.d., n.a.m.e.v.d.b.)和儿科(m.e.k., a.t.v.d.p.),溶酶体和代谢疾病中心Erasmus MC和生物统计学系(dr);肌学研究所(j.y.h., b.p., n.t., A.C.), Pitié-Salpêtrière医院,巴黎;神经内科(P.L.),北/东首页/法兰西岛神经肌肉中心,雷蒙德Poincaré教学医院,AP-HP, Garches;和INSERM U1179 (P.L.), END-ICAP, Université凡尔赛Saint-Quentin-en-Yvelines,蒙蒂尼-勒-布雷顿纽,法国。
  • 在谷歌Scholar网站上找到这位作者
  • 在PubMed上找到这位作者
  • 在这个网站上搜索这位作者
芭芭拉Perniconi
来自荷兰鹿特丹大学医学中心神经内科(l.h., 首页e.b., p.a.v.d., n.a.m.e.v.d.b.)和儿科(m.e.k., a.t.v.d.p.),溶酶体和代谢疾病中心Erasmus MC和生物统计学系(dr);肌学研究所(j.y.h., b.p., n.t., A.C.), Pitié-Salpêtrière医院,巴黎;神经内科(P.L.),北/东首页/法兰西岛神经肌肉中心,雷蒙德Poincaré教学医院,AP-HP, Garches;和INSERM U1179 (P.L.), END-ICAP, Université凡尔赛Saint-Quentin-en-Yvelines,蒙蒂尼-勒-布雷顿纽,法国。
  • 在谷歌Scholar网站上找到这位作者
  • 在PubMed上找到这位作者
  • 在这个网站上搜索这位作者
Michelle E. Kruijshaar
来自荷兰鹿特丹大学医学中心神经内科(l.h., 首页e.b., p.a.v.d., n.a.m.e.v.d.b.)和儿科(m.e.k., a.t.v.d.p.),溶酶体和代谢疾病中心Erasmus MC和生物统计学系(dr);肌学研究所(j.y.h., b.p., n.t., A.C.), Pitié-Salpêtrière医院,巴黎;神经内科(P.L.),北/东首页/法兰西岛神经肌肉中心,雷蒙德Poincaré教学医院,AP-HP, Garches;和INSERM U1179 (P.L.), END-ICAP, Université凡尔赛Saint-Quentin-en-Yvelines,蒙蒂尼-勒-布雷顿纽,法国。
  • 在谷歌Scholar网站上找到这位作者
  • 在PubMed上找到这位作者
  • 在这个网站上搜索这位作者
Dimitris Rizopoulos
来自荷兰鹿特丹大学医学中心神经内科(l.h., 首页e.b., p.a.v.d., n.a.m.e.v.d.b.)和儿科(m.e.k., a.t.v.d.p.),溶酶体和代谢疾病中心Erasmus MC和生物统计学系(dr);肌学研究所(j.y.h., b.p., n.t., A.C.), Pitié-Salpêtrière医院,巴黎;神经内科(P.L.),北/东首页/法兰西岛神经肌肉中心,雷蒙德Poincaré教学医院,AP-HP, Garches;和INSERM U1179 (P.L.), END-ICAP, Université凡尔赛Saint-Quentin-en-Yvelines,蒙蒂尼-勒-布雷顿纽,法国。
  • 在谷歌Scholar网站上找到这位作者
  • 在PubMed上找到这位作者
  • 在这个网站上搜索这位作者
Nadjib Taouagh
来自荷兰鹿特丹大学医学中心神经内科(l.h., 首页e.b., p.a.v.d., n.a.m.e.v.d.b.)和儿科(m.e.k., a.t.v.d.p.),溶酶体和代谢疾病中心Erasmus MC和生物统计学系(dr);肌学研究所(j.y.h., b.p., n.t., A.C.), Pitié-Salpêtrière医院,巴黎;神经内科(P.L.),北/东首页/法兰西岛神经肌肉中心,雷蒙德Poincaré教学医院,AP-HP, Garches;和INSERM U1179 (P.L.), END-ICAP, Université凡尔赛Saint-Quentin-en-Yvelines,蒙蒂尼-勒-布雷顿纽,法国。
  • 在谷歌Scholar网站上找到这位作者
  • 在PubMed上找到这位作者
  • 在这个网站上搜索这位作者
Aurelie运河
来自荷兰鹿特丹大学医学中心神经内科(l.h., 首页e.b., p.a.v.d., n.a.m.e.v.d.b.)和儿科(m.e.k., a.t.v.d.p.),溶酶体和代谢疾病中心Erasmus MC和生物统计学系(dr);肌学研究所(j.y.h., b.p., n.t., A.C.), Pitié-Salpêtrière医院,巴黎;神经内科(P.L.),北/东首页/法兰西岛神经肌肉中心,雷蒙德Poincaré教学医院,AP-HP, Garches;和INSERM U1179 (P.L.), END-ICAP, Université凡尔赛Saint-Quentin-en-Yvelines,蒙蒂尼-勒-布雷顿纽,法国。
  • 在谷歌Scholar网站上找到这位作者
  • 在PubMed上找到这位作者
  • 在这个网站上搜索这位作者
以斯帖Brusse
来自荷兰鹿特丹大学医学中心神经内科(l.h., 首页e.b., p.a.v.d., n.a.m.e.v.d.b.)和儿科(m.e.k., a.t.v.d.p.),溶酶体和代谢疾病中心Erasmus MC和生物统计学系(dr);肌学研究所(j.y.h., b.p., n.t., A.C.), Pitié-Salpêtrière医院,巴黎;神经内科(P.L.),北/东首页/法兰西岛神经肌肉中心,雷蒙德Poincaré教学医院,AP-HP, Garches;和INSERM U1179 (P.L.), END-ICAP, Université凡尔赛Saint-Quentin-en-Yvelines,蒙蒂尼-勒-布雷顿纽,法国。
  • 在谷歌Scholar网站上找到这位作者
  • 在PubMed上找到这位作者
  • 在这个网站上搜索这位作者
彼得·范·多恩
来自荷兰鹿特丹大学医学中心神经内科(l.h., 首页e.b., p.a.v.d., n.a.m.e.v.d.b.)和儿科(m.e.k., a.t.v.d.p.),溶酶体和代谢疾病中心Erasmus MC和生物统计学系(dr);肌学研究所(j.y.h., b.p., n.t., A.C.), Pitié-Salpêtrière医院,巴黎;神经内科(P.L.),北/东首页/法兰西岛神经肌肉中心,雷蒙德Poincaré教学医院,AP-HP, Garches;和INSERM U1179 (P.L.), END-ICAP, Université凡尔赛Saint-Quentin-en-Yvelines,蒙蒂尼-勒-布雷顿纽,法国。
  • 在谷歌Scholar网站上找到这位作者
  • 在PubMed上找到这位作者
  • 在这个网站上搜索这位作者
范德普莱格说
来自荷兰鹿特丹大学医学中心神经内科(l.h., 首页e.b., p.a.v.d., n.a.m.e.v.d.b.)和儿科(m.e.k., a.t.v.d.p.),溶酶体和代谢疾病中心Erasmus MC和生物统计学系(dr);肌学研究所(j.y.h., b.p., n.t., A.C.), Pitié-Salpêtrière医院,巴黎;神经内科(P.L.),北/东首页/法兰西岛神经肌肉中心,雷蒙德Poincaré教学医院,AP-HP, Garches;和INSERM U1179 (P.L.), END-ICAP, Université凡尔赛Saint-Quentin-en-Yvelines,蒙蒂尼-勒-布雷顿纽,法国。
  • 在谷歌Scholar网站上找到这位作者
  • 在PubMed上找到这位作者
  • 在这个网站上搜索这位作者
帕斯卡Laforet
来自荷兰鹿特丹大学医学中心神经内科(l.h., 首页e.b., p.a.v.d., n.a.m.e.v.d.b.)和儿科(m.e.k., a.t.v.d.p.),溶酶体和代谢疾病中心Erasmus MC和生物统计学系(dr);肌学研究所(j.y.h., b.p., n.t., A.C.), Pitié-Salpêtrière医院,巴黎;神经内科(P.L.),北/东首页/法兰西岛神经肌肉中心,雷蒙德Poincaré教学医院,AP-HP, Garches;和INSERM U1179 (P.L.), END-ICAP, Université凡尔赛Saint-Quentin-en-Yvelines,蒙蒂尼-勒-布雷顿纽,法国。
  • 在谷歌Scholar网站上找到这位作者
  • 在PubMed上找到这位作者
  • 在这个网站上搜索这位作者
娜丁·范·德·比克
来自荷兰鹿特丹大学医学中心神经内科(l.h., 首页e.b., p.a.v.d., n.a.m.e.v.d.b.)和儿科(m.e.k., a.t.v.d.p.),溶酶体和代谢疾病中心Erasmus MC和生物统计学系(dr);肌学研究所(j.y.h., b.p., n.t., A.C.), Pitié-Salpêtrière医院,巴黎;神经内科(P.L.),北/东首页/法兰西岛神经肌肉中心,雷蒙德Poincaré教学医院,AP-HP, Garches;和INSERM U1179 (P.L.), END-ICAP, Université凡尔赛Saint-Quentin-en-Yvelines,蒙蒂尼-勒-布雷顿纽,法国。
  • 在谷歌Scholar网站上找到这位作者
  • 在PubMed上找到这位作者
  • 在这个网站上搜索这位作者
完整的PDF
简式
引用
在庞贝病成人患者中,酶治疗10年的效果有很大差异
LaurikeHarlaar,让Hogrel,芭芭拉Perniconi,米歇尔·E。Kruijshaar,DimitrisRizopoulos,NadjibTaouagh,Aurelie运河,以斯帖Brusse,皮特。范·多尔恩,Ans T。范德普洛格,帕斯卡Laforet,纳丁。范德比克
首页 2019年11月, 93 (19) e1756-e1767; DOI:10.1212 / WNL.0000000000008441

引文管理器格式

  • 助理
  • 书挡
  • 值得
  • 尾注(标记)
  • EndNote 8 (xml)
  • 枸杞
  • Mendeley
  • 论文
  • RefWorks标记
  • Ref经理
  • RIS
  • Zotero
权限

做出评论

看到评论

下载
2191

分享

  • 文章
  • 图表和数据
  • 信息和披露
  • CME过程
加载

摘要

客观的确定10年酶替代疗法(ERT)对成年庞贝病患者的影响,重点关注治疗反应的个体差异。

方法在这项前瞻性、多中心队列研究中,我们研究了30名来自荷兰和法国的患者,他们在唯一的一项晚期庞贝病ERT随机安慰剂对照临床试验中开始了ERT (NCT00158600)或其扩展部分(NCT00455195)。主要结果是步行能力(6分钟步行测试[6MWT])、肌肉力量(使用医学研究委员会[MRC]分级的手动肌肉测试)和肺功能(直立和仰卧位的用力肺活量[FVC]),在ERT开始前后间隔3至6个月进行评估。采用线性混合效应模型对重复测量数据进行分析。

结果ERT的中位随访时间为9.8年(四分位数范围[IQR] 8.3-10.2年)。在组水平上,基线6MWT为预测的49% (IQR为41%-60%),在10年治疗点恶化了22.2个百分点(pp) (p< 0.001)。基线直立植被覆盖度为预测的54% (IQR 47%-68%), 10年内下降了11个pp (p< 0.001)。ERT对MRC总和评分和FVC仰卧位的影响相似。在个体水平上,93%的患者最初受益于ERT。根据测量的结果,35%至63%的患者在约3至5年后出现继发性下降。尽管如此,在ERT 10年时,与基线相比,52%的患者有相同或更好的6MWT和/或FVC。

结论大多数庞贝病患者受益于长期ERT,但许多患者在≈3 - 5年后出现继发性下降。然而,个体差异是相当大的。

证据分类这项研究提供了IV类证据,表明对于大多数庞贝病成人患者,长期ERT对肌肉力量、行走能力和/或肺功能的恶化有积极影响或减缓。

术语表

导=
酶替代疗法;
FVC=
强迫肺活量;
位差=
四分位范围;
很多=
迟发性治疗研究;
欧洲议会议员=
最大呼气压;
米兰理工大学管理学院=
最大吸气压力;
MRC=
医学研究委员会;
M6P=
mannose-6-phosphate;
页=
百分点;
QMT=
定量肌肉测试;
6 mwt=
6分钟步行测验

重组人酸性α-葡萄糖苷酶(alglucosidase alfa,肌酶)的酶替代疗法(ERT)已成为Pompe病(一种由酸性α-葡萄糖苷酶缺乏引起的无情进行性常染色体隐性肌病)患者治疗的标准治疗方法。1,2这种疾病可在任何年龄出现,从婴儿到成年晚期,症状的类型和严重程度差异很大。骨骼肌无力和呼吸功能障碍是成人表型的标志。3.,4最终,如果不进行治疗,大多数成年患者将依赖轮椅和/或机械通气支持设备的使用,导致日常生活受到严重限制。

几项纵向研究中位数为5年的ERT治疗表明,接受治疗的患者改善了活动功能和肌肉力量,稳定了肺功能,并增加了生存率。5,- - - - - -,10然而,最近的研究表明,ERT的效果似乎在治疗的2 - 3年达到顶峰,随后出现平稳期或继发性下降。由于没有随访>5年的研究,目前尚不清楚这一平稳期是否会维持下去,或者是否会出现进一步、更快的下降。此外,一些研究报告了治疗获益的实质性个体差异。6,8,9更好地理解这些差异有助于预测个体治疗反应,并指导关于开始和停止ERT的决定。

我们有一个独特的机会来研究30名来自荷兰和法国的患者,他们参加了唯一的一项晚期庞贝病ERT随机安慰剂对照临床试验11,12他们已经被仔细随访了10年。我们调查了ERT对肌肉力量、行走能力和肺功能的影响,并描述了个别患者的治疗反应。

方法

研究设计和参与者

本研究是一项前瞻性、开放标签队列研究,涉及30例确诊为庞贝病的患者。该研究是在鹿特丹Erasmus MC大学医学中心溶酶体和代谢疾病中心(n = 20)和巴黎Pitié-Salpêtrière医院Myology研究所(n = 10)进行的,这两个中心都是国家认可的庞贝病专业知识中心。从2005年到2007年,所有患者都参加了一项关于酶疗法对迟发型庞贝患者疗效的随机、双盲、安慰剂对照研究(late-onset Treatment study [LOTS],NCT00158600),11在该研究中,患者以2:1的比例随机接受每两周静脉输注20mg /kg alfa或安慰剂,持续78周。该研究的资格标准包括:(1)在6分钟步行测试(6MWT)中仍能行走40米的情况下,有下肢肌肉无力的证据;(2)直立坐姿的强迫肺活量(FVC)百分比预计在30%至80%之间;(3)由直立位转为仰卧位时,FVC下降≥10%;(4)无创通气;(5)清醒且直立时不进行无创通气。在随后的开放标签扩展研究中(NCT00455195),所有患者接受al葡萄糖苷酶治疗26周。12此后,除非患者出现无法控制的不良反应或决定停止治疗,否则继续进行ERT治疗。临床评估在ERT开始前后每3 - 6个月进行一次。ERT开始前用于评估未经治疗患者病程的最早测量始于1991年。在本研究中,数据库锁为2016年7月1日。

程序

行走能力和肌肉力量

我们使用6MWT作为功能耐力测试。数值以预测正常值的百分比表示,以考虑年龄、身高、体重和性别的影响。13

此外,骨骼肌强度通过医学研究委员会(MRC)分级量表的手动肌肉测试来测量14或改良的MRC量表。15为了目前的分析目的,只使用了完整的等级(0-5)。测试以下肌肉群以计算MRC总评分(范围0-95):颈部屈肌、双侧肩部外展肌、肘部屈肌、肘部伸肌、髋屈肌、髋伸肌、髋外展肌、髋内收肌、膝关节屈肌和膝关节伸肌。该分数随后转换为可能的最大分数的百分比。作为肌肉力量的额外结果,我们使用国际神经肌肉合作研究小组的定量测量系统(定量肌肉测试[QMT])(最大自愿等长收缩)来计算复合QMT腿部评分。11,16,17

肺功能

在患者直立坐姿和仰卧位时测量FVC。此外,在直立坐姿时测量最大吸气(MIP)和最大呼气(MEP)口压。所有测量均按照美国胸科学会/欧洲呼吸学会的标准进行。18,19结果以预测正常值的百分比表示。20.,21

其他临床资料

收集了以下方面的信息:(1)性别;(2)高度;(3)重量;(4)发病年龄;(5) ERT开始时的年龄;(6)是否使用轮椅;(7)使用机械通气支架;(8)基因型;(9) ERT前3年抗al葡萄糖苷酶抗体滴度峰值。11,22,23

统计分析

组级别

如前所述,采用线性混合模型对6MWT、MRC总和评分、QMT腿部评分、直立FVC、仰卧FVC、MIP和MEP进行纵向分析,以解释每位患者重复测量的相关性。8目前的分析包括每个结果测量的503到604个测量值。停止ERT治疗后进行的测量被排除在外。我们报告了与基线相比10年治疗的结果。为了纠正在ERT开始时患者之间可能存在的差异以及这些差异如何影响结果的纵向分布,我们纳入了非线性时间效应与性别的相互作用,ERT开始时疾病持续时间(≤17或bb0 17年;从首发症状开始计算)、ERT开始时直立FVC(≤55%或预测>55%)和ERT开始时6MWT(≤50%或预测>50%)。截止点是基于整个组的中值。如果发现这些相互作用可以改善模型的拟合,则保留这些相互作用。用残差图检验模型的假设。

对于FVC,在ERT开始前有足够的病程数据(即自然病程),可以比较患者接受治疗和未接受治疗的结果。为此,我们推断患者的自然病程数据,假设随时间的线性演变,8,24并将其与10年治疗点的观测值进行比较。我们使用所有数据,直到95%的数据可用的时间点,以避免个别患者随访时间较长。

采用似然比检验总体治疗效果。差异以绝对百分比(pp)表示。显著性水平设为0.05。

个人层面

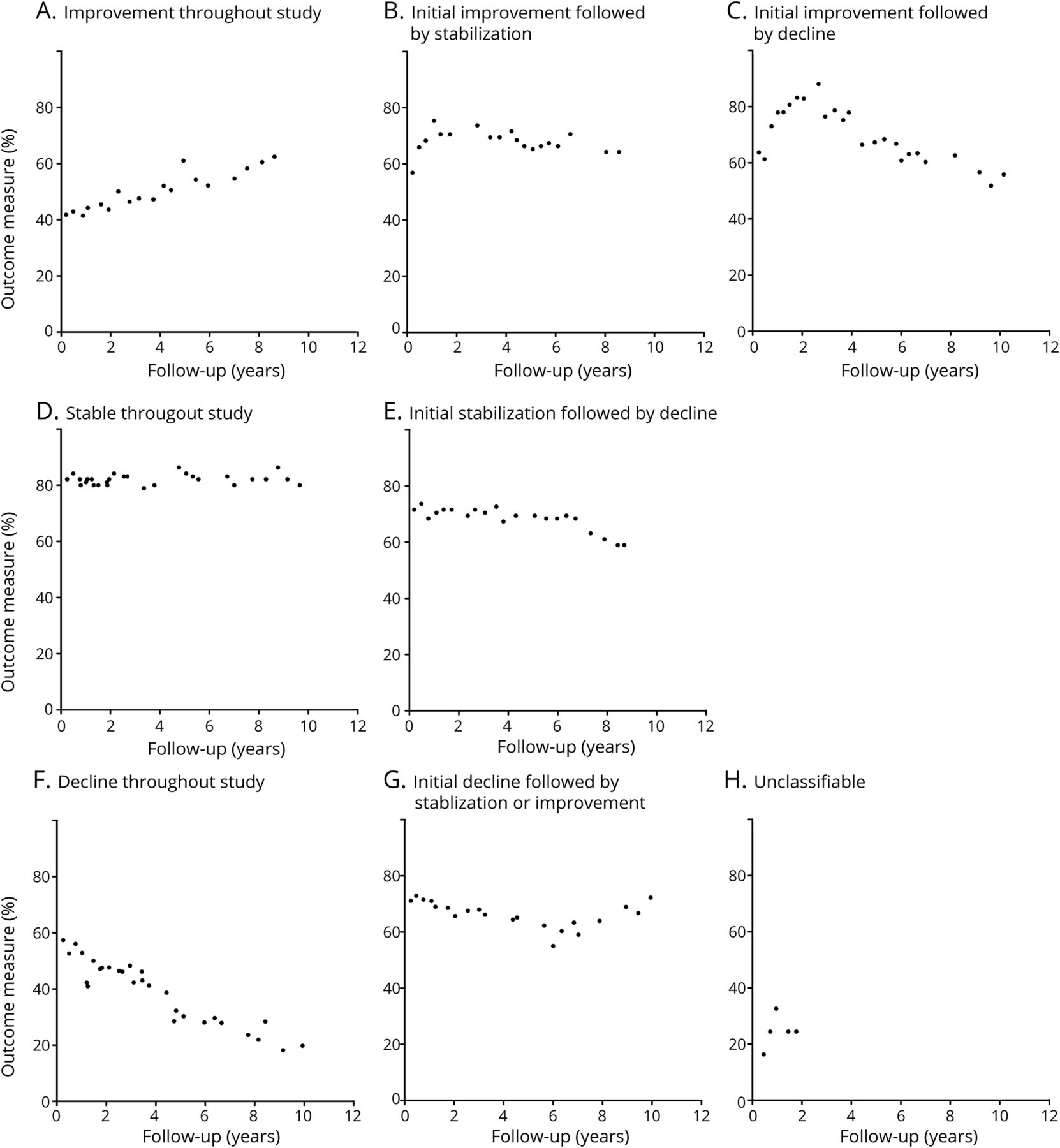
对于6MWT、MRC总评分、QMT腿部评分、直立FVC评分和仰卧FVC评分,我们评估了患者在治疗停止或随访结束前对ERT的个体反应,并分别评估了他们在ERT开始时的情况。每个结果,每个患者在ERT期间的病程在散点图中可视化。随后,5名独立观察员(参与庞贝病患者护理的临床医生)对患者的识别进行盲视,将他们的反应分为8组:(1)在整个研究过程中有所改善;(2)先改善后稳定;(3)先改善后下降;(4)研究全程稳定;(5)先稳定后下降;(6)在整个研究过程中下降;(7)最初下降后稳定或改善;(8)不可分类。 Examples of the various response patterns are shown in图1。至少有4名观察员就答复方式达成了一致意见。如果没有达成一致意见,结果将在单独的会议上讨论(l.h., j.y.h., n.a.m.e.v.d.b.)。为了更直观地解释总体结果,患者基线测量的初步改善或稳定被归类为积极反应,即使随后在随访期间出现二次下降(图1(模式1至5),尽管有ERT,但病情恶化被认为是阴性结果(图1,模式6)。

图1
  • 下载图
  • 在新标签页打开
  • 下载演示文稿
图1 响应模式的定义

个体对酶替代疗法的反应被分为8种不同的反应模式中的1种:(A)整个研究期间的改善,(B)最初的改善随后稳定,(C)最初的改善随后下降,(D)整个研究期间的稳定,(E)最初的稳定随后下降,(F)整个研究期间的下降,(G)最初的下降随后稳定或改善,(H)无法分类。

此外,我们评估了患者在治疗开始后对ERT的个体反应。他们的反应被分为3组:改善(>2 pp高于基线水平),稳定(从基线水平−2和+2 pp之间)和恶化(>2 pp低于基线水平)。

使用SPSS for Windows(版本24,SPSS Inc, Chicago, IL)和R版本3.2.2 (2015-08-14,R Foundation for Statistical Computing, Vienna, Austria),使用nlme包(版本3.1-121)进行分析。

标准方案批准,注册和病人同意

研究方案由伊拉斯谟MC大学医学中心或Pitié-Salpêtrière医院的医学伦理委员会批准。所有患者都有书面知情同意书。

证据分类

这项研究提供了IV类证据,表明对于大多数庞贝病成人患者,长期ERT对肌肉力量、行走能力和/或肺功能的恶化有积极影响或减缓。

数据可用性

只要数据传输符合欧盟关于一般数据保护条例的立法,匿名数据将应任何合格调查人员的要求共享,其唯一目的是复制文章中所述的程序和结果。

结果

病人

30例患者(荷兰n = 20例,法国n = 10例)参与了这项研究(表格)。荷兰和法国患者在ERT开始时的年龄、病程或疾病严重程度上没有差异。ERT的总随访中位数为9.8年(四分位数范围[IQR] 8.3-10.2年)。在ERT开始时,中位年龄为49岁(IQR 41-60岁),从症状开始的中位疾病持续时间为17年(IQR 10-23年)。图2显示个别患者随时间的临床病程,包括首次出现症状的年龄、开始ERT的年龄、开始使用轮椅和/或通气的年龄,以及(如果适用)死亡的年龄。

查看该表:
  • 内联视图
  • 查看弹出
  • 下载演示文稿
表格

病人的特点

图2
  • 下载图
  • 在新标签页打开
  • 下载演示文稿
图2 个体患者病程随时间的变化(n = 30)

每个条形图代表一个病人。每个柱状图的长度分别表示酶替代治疗(ERT)开始前症状持续时间(浅蓝色)、酶替代治疗期间随访时间(深蓝色)和停止酶替代治疗后随访时间(红色)。注明开始使用轮椅(绿菱形)、通气(黄色方格)或死亡(红色十字)时的年龄。

组级别

行走能力和肌肉力量

在ERT开始时,在6MWT上行走的中位距离为预测的49% (IQR 41%-62%) (表格)。在治疗期间,前3年步行距离有所改善(图3一)。在此之后,我们注意到二次衰退;在10年治疗点,平均6MWT低于治疗开始时(- 22.2 pp,p< 0.001)。病程与性别、病程(≤17年或> - 17年)和治疗开始时的严重程度无关(ERT开始时6MWT≤50%或>期50%,ERT开始时直立植被覆盖度≤55%或>期55%)。

图3
  • 下载图
  • 在新标签页打开
  • 下载演示文稿
图3 ERT对行走能力和肌肉力量的影响

(A) 6分钟步行试验(6MWT), (B)医学研究理事会(MRC)总和评分,(C) QMT腿部评分。实线表示治疗期间的测量过程。95%置信区间用灰色表示。对于6MWT,三角形标记个体患者由于跌倒风险(蓝色三角形)或完全轮椅依赖(红色三角形)而无法进行测试的时间点。对于MRC总和评分,显示了最佳亚组(男性,基线6MWT >50%预测)和最差亚组(女性,基线6MWT≤50%预测)的病程。其他2个亚组(男性,基线6MWT≤50%预测;女性,基线6MWT >50%预测)有中间病程。M =测量总数;N =随访时的患者数。

2例患者在治疗期间(分别经过2.8年和8.7年的ERT治疗)完全依赖轮椅,而另外6例患者由于跌倒风险高而无法再进行6MWT。随访结束时,共有13名患者(43%)部分或完全依赖轮椅,而ERT开始时为7名患者(23%)。

相对于治疗开始,10年后MRC总和评分和QMT腿部评分也较低(图3,B和C)。治疗开始时,性别和行走能力影响ERT对MRC总和评分的反应。基线行走能力为>50%的男性表现最好(−5.5 pp,p= 0.05),而行走能力≤50%的女性下降幅度最大(−10.5 pp,p< 0.001)。降幅为−6.8 pp (p= 0.001), 6MWT≤50%,- 9.2 pp (p基线为6MWT >50%的女性< 0.001)。10年治疗后,QMT腿部评分下降- 7.5 pp (p= 0.002)。

肺功能

在ERT开始时,直立位的中位覆盖度为预测值的54% (IQR 47%-68%),仰卧位的中位覆盖度为预测值的33% (IQR 24%-53%) (表格)。总体而言,在治疗的前5年,直立姿势的FVC相对稳定。然而,在这段时间之后,观察到下降(图4一)。在10年的治疗后,直立FVC下降了−11 pp (p< 0.001)。仰卧位的FVC从治疗开始开始呈线性缓慢下降(10年时间点为−9.2 pp,p< 0.001;图4 b)。MIP和MEP数据显示在10年的治疗过程中相当稳定(10年时间点为−1.8和−2.5 pp,p= NS;图4,C和D)。性别、病程和基线疾病严重程度对ERT患者的病程无显著影响。

图4
  • 下载图
  • 在新标签页打开
  • 下载演示文稿
图4 ERT对肺功能的影响

与(A-D)基线或(E和F)推断的自然病程相比,开始酶替代疗法(ERT)后,直立和仰卧位用力肺活量(FVC)和最大吸气(MIP)和最大呼气(MEP)压力在组水平上的病程。实线表示测量的疾病自然病程和/或治疗期间的病程。虚线表示根据自然路线数据推断出的自然路线。95%置信区间用灰色表示。对于FVC仰卧位,三角形标记患者因严重端坐呼吸或完全依赖轮椅而无法进行测试的时间点。M =测量总数;N =随访时的患者数。

相对于推断的自然病程,患者在ERT 10年有更好的肺功能参数(图4,E和F)。直立姿势的植被覆盖度高13.2 pp (p< 0.001),而仰卧位的FVC高8.5 pp (p= NS)。

在ERT开始后4.8 - 9.1年的随访中,5例患者因严重端坐呼吸或完全依赖轮椅而无法在仰卧位进行测量。研究结束时,24例患者(80%)需要无创通气,而ERT开始时为7例患者(23%)。

个人对ERT的反应

我们对29例患者的ERT病程进行了分析。一名患者仅因严重的输注相关反应而接受了1个月的ERT治疗,因此被排除在本特定分析之外。

作为初始反应,24例患者(83%)在6分钟内行走距离与ERT开始时相比稳定或改善,这被解释为积极反应。对于其他结果,我们看到了类似的模式:对于MRC总和评分,17名患者(59%)对ERT有初始阳性反应;QMT腿部评分22例(76%);直立FVC患者20例(69%);仰卧位FVC患者19例(66%)(图5)。

图5
  • 下载图
  • 在新标签页打开
  • 下载演示文稿
图5 ERT对个别患者的影响

(A)酶替代疗法(ERT)开始后患者个体水平的初始、继发和总体病程,分别进行6分钟步行测试(6MWT)、医学研究委员会(MRC)总评分、定量肌肉测试(QMT)腿部评分和用力肺活量(FVC)直立和仰卧。综合个体患者对直立位6MWT和FVC的反应,细分为(B)初始反应,(C)继发性反应和(D)总体反应(D)。由于ERT随访时间短(1个月),1例患者被排除在该特定分析之外。通过对病程的直观判断(使用散点图)对每个患者的初始反应和继发性反应进行分类。总体响应的计算方法是用ERT开始时的测量值减去ERT期间的最后一次测量值。

大量患者在ERT初始阳性反应后出现继发性恶化(6MWT, n = 15 / 24 [63%];MRC总和评分,n = 6 (17) [35%];QMT腿部评分,n = 6 / 22 [27%];植被覆盖度直立,n = 11 / 20 [55%];仰卧位,n = 9 / 19[47%])。不同患者病程发生变化的时间点不同;一些患者在治疗1 - 2年后发生了变化,而其他患者在治疗7 - 8年后似乎反应良好。

值得注意的是,对于直立姿势的FVC, 3例患者(10%)表现出最初的下降,随后出现二次稳定。这种稳定与无创机械通气的开始同步。

相对于ERT开始,在他们最后一次随访测量中,34%的患者有更好或相似的6MWT距离,17%的患者有更好或相似的MRC总和评分,31%的患者在直立或仰卧位有更好或相似的FVC (图5)。

联合分析ERT对6MWT和直立FVC的影响,这是lot研究的主要终点,显示27名患者(93%)在6MWT和/或直立FVC中至少有几年的ERT阳性反应(图5 b)。其中5例患者(占所有患者的17%)对ERT有很好的反应,在整个治疗期间,两种结果的评分相似或更好。22例患者(占所有患者的76%)在一种或两种结局中出现继发性下降。只有2例患者(占所有患者的7%)在治疗开始后两项参数均持续下降(图5 c)。在最后一次随访测量中,15例患者(52%)的直立6MWT和/或FVC与基线相比相等或更好。

在基线或辅助调查(如基因型、抗体峰值滴度)中,在ERT总体阳性反应的患者和持续下降的患者之间的临床状况没有明显差异。

安全

2例患者(治疗开始1个月和33个月后)因严重输注相关反应和/或极高抗体滴度影响治疗效果而停用了ERT。25在停止治疗后,他们的临床状况慢慢恶化。另一位患者因个人原因停止治疗(28个月后)。该患者在停止ERT后3年开始依赖轮椅和呼吸机,2年后因呼吸功能不全死亡,享年77岁。在研究期间,第二名患者在ERT开始时已经部分依赖轮椅和通气,在接受ERT治疗10年后突然死亡,享年63岁,可能是由于心脏骤停(未进行尸检)(图2)。这两例死亡均未被认为与治疗直接相关。在1例患者中,在诊断为结肠癌和肾癌时,暂时停止了ERT治疗。癌症治疗后再次引入ERT,无副作用。

讨论

在这项关于ERT疗效的10年前瞻性研究中,我们发现93%的庞贝病患者在约3至5年内受益于ERT治疗。在此之后,许多患者经历了行走能力、肌肉力量和/或肺功能的继发性恶化。对于FVC,我们可以证明患者的结果比患者不接受治疗的预期要好,考虑到疾病的无情进展性质,这被视为一种积极的影响。

之前对ERT治疗长达5年的研究报告了ERT治疗过程中疗效的显著变化,8,9,26,27然而,目前尚不清楚,随着长期随访,这种情况将如何发展。我们现在看到,在群体水平上,最初对治疗的积极反应之后是缓慢的,似乎是线性的下降。然而,更仔细地观察个体患者,我们发现5例患者(17%)在10年内对ERT有持续的积极反应,而只有2例患者(7%)明显无反应(即,他们从治疗开始就有行走能力和肺功能下降)。尽管大多数患者(93%)最初受益于ERT,但很难预测反应性改变的时间。在一些患者中,良好的反应持续了7至8年,而在另一些患者中,我们观察到1至2年后已经出现二次衰退。更复杂的是,不同结果之间的反应可能不一致,一些患者的行走能力明显改善,而肺功能却恶化(n = 2.7%),反之亦然(n = 2.7%)。在随访结束时,一半的患者有改善或稳定的行走能力,肺功能,或两者兼有。对于每个患者的个体分析,ERT开始前的数据不足,无法将他们的治疗过程与他们的自然疾病进展进行比较。很有可能,接受治疗时的轻微下降也应被视为ERT的积极作用(例如,未接受ERT时的下降率大于接受治疗时的下降率)。

对于个体反应能力的差异,我们找不到任何明显的解释。两名患者没有常见的c -32- 13t >G变异,而是一种潜在的更严重的基因型。两组在ERT治疗中的病程无显著差异。一些研究表明,在患者仍处于较好的临床状态时,尽早开始治疗将导致更好的疗效。9,24在这项研究中,我们没有发现在治疗开始时疾病持续时间较短或疾病较轻的患者比疾病持续时间较长或疾病较严重的患者有更好的治疗效果的证据。然而,我们的结论应该谨慎解释,因为亚组的患者数量有限,加上他们都有一定程度的疾病严重程度被纳入初始试验。这种相对严重的累及可能最清楚地反映在患者在ERT开始时的仰卧位FVC仅为其预测正常值的33%,已经处于呼吸机依赖的边缘。这可能至少部分地解释了,尽管实施了ERT,但需要机械通气支持的患者数量仍大幅增加。

据我们所知,我们的患者都没有接受指定的饮食或特定的运动训练计划。因为这些因素也可能影响患者对ERT的反应,28这可能是进一步研究的具体课题。

个体对治疗反应差异的另一种解释可能是存在对抗重组人酸α-葡萄糖苷酶的抗体。与典型的婴儿庞贝病患者相比,29,- - - - - -,31抗体与迟发性疾病患者临床结果之间的关系尚不清楚。迄今为止,包含长达5年ERT治疗数据的研究未能显示抗体滴度与患者对ERT的个体反应之间的明确相关性。22,23

在我们的研究中,9名患者(30%)在ERT的前3年出现抗体滴度峰值(>:31,250)。值得注意的是,在10年以上对ERT持续呈阳性反应的5名患者中,3名患者的FVC和行走能力具有较高的抗体滴度峰值。不幸的是,抗体滴度仅在治疗的头几年可用;因此,不排除它们可能对后期治疗效果有重要影响。因此,抗体形成在晚发型庞贝病中的作用应该是进一步研究的课题。

可以假设影响治疗效果的因素包括重组酶上的甘糖-6-磷酸(M6P)基团的含量(目前较低),肌肉细胞表面表达的M6P/胰岛素样生长因子II受体数量的可变性,阻碍治疗酶在细胞内适当运输和加工的自噬积累的数量,以及酶在肌肉细胞内储存糖原的可及性。32,- - - - - -,35这就是为什么下一代疗法旨在通过改善靶向M6P/胰岛素样生长因子II受体来挽救被破坏的溶酶体糖原降解途径,M6P/胰岛素样生长因子II受体负责摄取注入的酶并介导转运到溶酶体。此外,我们最近发现,在婴儿中,较高剂量(40 mg/kg/wk)可导致更好的无呼吸机生存和运动结局。36由于显而易见的原因(即非常昂贵的治疗),高剂量策略从未应用于成年患者,但剂量不足可能解释了我们观察到的部分恶化。

在评估治疗干预措施时,人们应该始终寻找最能捕捉临床有意义变化的结果指标。在此背景下,值得注意的是,在10年的随访中,有8名患者无法再进行6MWT,因为他们已经完全依赖轮椅,或者因为评估者认为摔倒的风险太高。此外,5例患者无法再忍受仰卧位进行FVC测试。对于这些影响非常严重的患者,但对于虚弱程度仍很轻的患者,应考虑进行额外的测量,以评估他们的长期治疗效果。对于仍然能够短距离行走的患者,步态分析可能具有额外的价值。在这里,可以评估速度、站立阶段的持续时间、步幅和步幅,以及何时使用步行设备。37,- - - - - -,39为了更详细地评估肺功能,肺容积计控制的MRI或横膈膜超声检查可能是合适的。40,- - - - - -,42此外,肌肉功能的评估可能更可靠地评估患者报告的结果测量,报告日常生活中的活动。43,44

2017年,欧洲发表了关于成人庞贝病患者使用ERT的共识指南。45在这一共识声明中,提出了关于何时停止ERT治疗的建议。这些建议之一是重新考虑是否应该继续ERT,如果骨骼肌功能或呼吸功能在治疗开始后的前2年内没有稳定或改善。我们的研究表明,93%的患者最初受益于ERT。2例患者(7%)尽管有ERT,但从一开始就恶化;对于这些患者,我们正在考虑停止ERT治疗。

我们的研究表明,不仅在反应模式上,而且在治疗疗效持续时间上,个体间存在很大的差异,而且在多种结果中,治疗效果可能不一致。因为我们还没有完全了解治疗反应的巨大可变性背后的因素,在治疗开始前预测谁会做得好或不好目前是不可能的。尽管90%的患者在前3 - 5年受益于ERT,但观察到的继发性下降,表明随着时间的推移,治疗效果下降,这引起了人们的关注,并强调了对下一代疗法的需求。

信息披露

L. Harlaar, J. Hogrel, B. Perniconi, M. Kruijshaar, D. Rizopoulos, N. Taouagh, A. Canal, E. Brusse和P. van Doorn报告没有与手稿相关的披露。A. van der Ploeg在与Erasmus MC大学医学中心和相关行业达成协议的情况下,获得了研究、临床试验和作为庞贝病、其他溶酶体储存疾病和神经肌肉疾病领域ERT或下一代疗法的各个行业的顾问的资助。P. Laforêt获得了赛诺菲-健赞和Spark Therapeutics的研究资助和顾问或演讲者。N. van der Beek获得了与伊拉斯谟MC大学医学中心和相关行业达成的协议,在庞贝病领域从事ERT或下一代疗法的各个行业的研究资金和顾问。去首页Neurology.org/N全面披露。

研究资金

荷兰卫生研究与发展组织资助的研究(项目152001005,80 -83600-98-13007,05-09-2007);Beatrix Spierfonds王子(项目OP07-08和W.OR15-10);索菲亚儿童医院基金会(687项目和S17-32项目);经济部生命科学与健康tki方案下的tki津贴(LSHM16008项目);肌肉系统研究所;INSERM;和Sanofi-Genzyme。van der Beek博士获得the Prinses Beatrix Spierfonds (W.F16-03)的博士后奖学金。

附录的作者

表格
表格

脚注

  • 去首页Neurology.org/N全面披露。作者认为相关的资金信息和披露(如果有的话)将在文章末尾提供。

  • ↵*这些作者对这项工作做出了同样的贡献。

  • 文章处理费由伊拉斯谟MC大学医学中心资助。

  • 证据类别:NPub.org/coe

  • CME过程:NPub.org/cmelist

  • 收到了2019年2月15日。
  • 最终接受2019年5月29日。
  • 版权所有©2019由Wolters Kluwer健康公司代表美国神经病学学会出版。首页

这是一篇开放获取的文章,根据创作共用署名-非商业性-非衍生品许可4.0 (CC BY-NC-ND),该网站允许下载和分享论文,前提是论文被正确引用。未经本刊许可,不得以任何方式更改作品或将其用于商业用途。

参考文献

  1. 1.↵
    1. 范德普洛格在,
    2. 重用者AJ
    。筛的疾病。《柳叶刀》2008;372:1342- - - - - -1353。
    OpenUrl CrossRef PubMed
  2. 2.↵
    1. 瓦莱D,
    2. Beaudet艾尔,
    3. 福格斯坦B,et al。
    1. 重用者AJJ,
    2. 赫塞豪恩R,
    3. 克洛斯妈
    。庞贝病:糖原储存病II型,酸性α-葡萄糖苷酶(酸性麦芽糖酶)缺乏症。:瓦莱D,Beaudet艾尔,福格斯坦B,et al。、编辑。遗传疾病的在线代谢和分子基础。纽约:麦格劳-希尔;2018第16部分,第135章。
  3. 3.↵
    1. 范德比克NA,
    2. 德弗里斯JM,
    3. 接触毫升,等
    。成人庞贝病患者的临床特征和疾病自然进展的预测因素:一项全国性的前瞻性观察研究。孤儿J罕见病2012;7:88。
    OpenUrl CrossRef PubMed
  4. 4.↵
    1. 范德比克NA,
    2. 接触毫升,
    3. 重用者AJ,等
    。迟发性庞贝病患者长期随访期间疾病进展率。Neuromuscul Disord2009;19:113- - - - - -117。
    OpenUrl CrossRef PubMed
  5. 5.↵
    1. 安德森LJ,
    2. 亨利W,
    3. 怀亚特公里,等
    。酶替代疗法在成人迟发性庞贝病中的有效性:来自NCS-LSD队列研究的结果。继承Metab Dis2014;37:945- - - - - -952。
    OpenUrl
  6. 6.↵
    1. AngeliniC,
    2. SempliciniC,
    3. Ravaglia年代,等
    。青少年-成人糖原病2型患者接受酶替代治疗长达4年的观察性临床研究。J神经2012;259:952- - - - - -958。
    OpenUrl CrossRef PubMed
  7. 7.↵
    1. 在我D,
    2. Kruijshaar我,
    3. 插头我,等
    。酶替代疗法对成人庞贝病患者生存的影响:来自一项前瞻性国际观察性研究的结果。孤儿J罕见病2013;8:49。
    OpenUrl CrossRef PubMed
  8. 8.↵
    1. KuperusE,
    2. Kruijshaar我,
    3. 拥挤的城市SCA,等
    。庞贝病酶替代疗法的长期益处:一项5年前瞻性研究。首页2017;89:2365- - - - - -2373。
    OpenUrl 摘要/免费的全文
  9. 9.↵
    1. Stepien公里,
    2. HendrikszCJ,
    3. 罗伯茨米,
    4. 沙玛R
    。22例成人发病庞贝病患者接受酶替代治疗5年以上的观察性临床研究。Mol Genet Metab2016;117:413- - - - - -418。
    OpenUrl
  10. 10.↵
    1. Strothotte年代,
    2. Strigl-PillN,
    3. GrunertB,等
    。al葡萄糖苷酶替代治疗44例迟发性糖原储存病2型患者:一项观察性临床试验12个月结果。J神经2010;257:91- - - - - -97。
    OpenUrl CrossRef PubMed
  11. 11.↵
    1. 范德普洛格在,
    2. 克莱门斯公关,
    3. 科尔索D,等
    。迟发型庞贝病中alfa的随机研究。N英语J医学2010;362:1396- - - - - -1406。
    OpenUrl CrossRef PubMed
  12. 12.↵
    1. 范德普洛格在,
    2. BarohnR,
    3. 卡尔森l,等
    。在alfa的晚发性治疗研究(LOTS)之后进行了开放标签扩展研究。Mol Genet Metab2012;107:456- - - - - -461。
    OpenUrl CrossRef PubMed
  13. 13.↵
    1. 恩莱特PL,
    2. 谢里尔戴斯。莱纳姆:
    。健康成年人6分钟步行的参考方程。J呼吸急救医疗吗1998;158:1384- - - - - -1387。
    OpenUrl CrossRef PubMed
  14. 14.↵
    医学研究委员会。辅助检查周围神经系统。伦敦:女王办公室;1976。第45号备忘录。
  15. 15.↵
    1. 弗洛伦斯JM,
    2. 潘迪亚年代,
    3. 王WM,等
    。杜氏营养不良的临床试验:评价程序的标准化和可靠性。phy其他1984;64:41- - - - - -45。
    OpenUrl 摘要/免费的全文
  16. 16.↵
    肌肉无力评估:使用正常等距肌肉力量数据:国家等距肌肉力量(NIMS)数据库联盟。Arch Phys Med Rehabil1996;77:1251- - - - - -1255。
    OpenUrl CrossRef PubMed
  17. 17.↵
    1. Hogrel司法院,
    2. PayanCA,
    3. OllivierG,等
    。开发一个法国成人等距力量标准数据库使用定量肌肉测试。Arch Phys Med Rehabil2007;88:1289- - - - - -1297。
    OpenUrl CrossRef PubMed
  18. 18.↵
    美国胸科学会/欧洲呼吸学会。ATS/ERS关于呼吸肌测试的声明。J呼吸急救医疗吗2002;166:518- - - - - -624。
    OpenUrl CrossRef PubMed
  19. 19.↵
    1. 米勒先生,
    2. HankinsonJ,
    3. BrusascoV,等
    。肺活量测定的标准化。Eur呼吸器2005;26:319- - - - - -338。
    OpenUrl 摘要/免费的全文
  20. 20.↵
    1. QuanjerPH值,
    2. Stanojevic年代,
    3. 科尔TJ,等
    。3-95岁年龄组肺功能测定的多民族参考值:2012年全球肺功能方程。Eur呼吸器2012;40:1324- - - - - -1343。
    OpenUrl 摘要/免费的全文
  21. 21.↵
    1. 威尔逊上海,
    2. 库克NT,
    3. 爱德华兹RH,
    4. 斯皮罗SG
    。白种人成人和儿童最大呼吸压的预测正常值。胸腔1984;39:535- - - - - -538。
    OpenUrl 摘要/免费的全文
  22. 22.↵
    1. 德弗里斯JM,
    2. KuperusE,
    3. Hoogeveen-Westerveld米,等
    。成年庞贝病:抗体形成对酶替代治疗的影响。麝猫地中海2017;19:90- - - - - -97。
    OpenUrl
  23. 23.↵
    1. MasatE,
    2. LaforetP,
    3. De安东尼奥米,等
    。在晚发型庞贝病患者中,长期暴露于肌酶会导致抗药物抗体的减少。Sci代表2016;6:36182。
    OpenUrl
  24. 24.↵
    1. 德弗里斯JM,
    2. 范德比克NA,
    3. 跳WC,等
    。69名成人庞贝病患者的酶疗法和预后因素的影响:一项开放标签单中心研究。孤儿J罕见病2012;7:73。
    OpenUrl CrossRef PubMed
  25. 25.↵
    1. 德弗里斯JM,
    2. 范德比克NA,
    3. 克洛斯妈,等
    。庞贝病成人患者抗体滴度高影响al葡萄糖苷酶治疗。Mol Genet Metab2010;101:338- - - - - -345。
    OpenUrl CrossRef PubMed
  26. 26.↵
    1. MontagneseF,
    2. 巴萨E,
    3. MusumeciO,等
    。30例晚发型庞贝病(LOPD)患者的临床和分子方面:不寻常的特征和对治疗的反应。J神经2015;262:968- - - - - -978。
    OpenUrl CrossRef PubMed
  27. 27.↵
    1. AndreassenCS,
    2. SchlutterJM,
    3. 力J,
    4. 安徒生H
    。酶替代疗法对4例庞贝病患者所有主要肌肉群等速肌力的影响:一项长期随访。Mol Genet Metab2014;112:40- - - - - -43。
    OpenUrl
  28. 28.↵
    1. 范登伯格勒,
    2. Favejee毫米,
    3. 拥挤的城市SC,等
    。成人庞贝病患者运动训练的安全性和有效性:12周训练计划前后耐力、肌肉力量和核心稳定性的评估。孤儿J罕见病2015;10:87。
    OpenUrl
  29. 29.↵
    1. KishnaniPS,
    2. 戈登伯格个人电脑,
    3. DeArmeySL,等
    。交叉反应性免疫物质状态影响庞贝病婴儿的治疗结果。Mol Genet Metab2010;99:26- - - - - -33。
    OpenUrl CrossRef PubMed
  30. 30.↵
    1. 凡德厘米,
    2. Hoogeveen-Westerveld米,
    3. 克洛斯妈,
    4. 插头我,
    5. 范德普洛格在,
    6. 重用者AJ
    。与CRIM状态相关的酶治疗和免疫反应:荷兰在经典婴儿庞贝病中的经验。继承Metab Dis2015;38:305- - - - - -314。
    OpenUrl PubMed
  31. 31.↵
    1. PoelmanE,
    2. Hoogeveen-Westerveld米,
    3. Kroos-de汗妈,等
    。在酶替代治疗开始时进行免疫调节后,经典婴儿庞贝病患者持续高抗体滴度。J Pediatr2018;195:236- - - - - -243. e3。
    OpenUrl
  32. 32.↵
    1. 范德普洛格在,
    2. 克洛斯妈,
    3. WillemsenR,
    4. BronsNH,
    5. 重用者AJ
    。静脉注射磷酸-葡萄糖苷酶可导致小鼠心脏和骨骼肌对酶的摄取。J临床投资1991;87:513- - - - - -518。
    OpenUrl CrossRef PubMed
  33. 33.↵
    1. 拉贝N,
    2. Danon米,
    3. 吉尔伯特艾尔,等
    。庞贝病小鼠模型的酶替代疗法。Mol Genet Metab2003;80:159- - - - - -169。
    OpenUrl CrossRef PubMed
  34. 34.↵
    1. Thurberg提单,
    2. 林奇马宏升C,
    3. 瓦卡罗C,等
    。庞贝病酶替代疗法治疗前后病理特征。实验室投资2006;86:1208- - - - - -1220。
    OpenUrl CrossRef PubMed
  35. 35.↵
    1. 拉贝N,
    2. 罗伯茨一个,
    3. PlotzPH值
    。自噬在庞贝病发病机制中的作用。Acta Myol2007;26:45- - - - - -48。
    OpenUrl PubMed
  36. 36.↵
    1. 凡德厘米,
    2. PoelmanE,
    3. 插头我,等
    。高剂量al葡萄糖苷酶对经典婴儿庞贝病无呼吸机生存和运动结局的影响:一项开放标签单中心研究。继承Metab Dis2016;39:383- - - - - -390。
    OpenUrl CrossRef
  37. 37.↵
    1. 麦金托什PT,
    2. 情况下勒,
    3. 陈JM,
    4. 奥斯丁SL,
    5. KishnaniP
    。晚期庞贝病的步态特征。Mol Genet Metab2015;116:152- - - - - -156。
    OpenUrl
  38. 38.↵
    1. HanewinckelR,
    2. DrenthenJ,
    3. VerlindenVJA,等
    。多发性神经病与日常活动障碍、步态恶化和跌倒相关损伤有关。首页2017;89:76- - - - - -83。
    OpenUrl 摘要/免费的全文
  39. 39.↵
    1. Goudriaan米,
    2. 凡登豪米,
    3. DekeerleJ,等
    。杜氏肌营养不良症的步态偏差,第1部分:系统综述。步态姿势2018;62:247- - - - - -261。
    OpenUrl
  40. 40.↵
    1. 拥挤的城市SC,
    2. CietP,
    3. Perez-Rovira一个,等
    。庞贝病肺MRI与横膈膜功能损害。BMC Pulm医学2015;15:54。
    OpenUrl
  41. 41.↵
    1. 加埃塔米,
    2. MusumeciO,
    3. Mondello年代,等
    。晚发型庞贝病呼吸功能障碍的临床和病理生理线索:来自MRI和呼吸功能评估比较研究的新见解。Neuromuscul Disord2015;25:852- - - - - -858。
    OpenUrl
  42. 42.↵
    1. Sarwal一个,
    2. 沃克佛,
    3. 卡特赖特女士
    。神经肌肉超声评估横隔膜。肌肉神经2013;47:319- - - - - -329。
    OpenUrl PubMed
  43. 43.↵
    1. 范德比克NA,
    2. 接触毫升,
    3. 范德普洛格在,
    4. 范·多尔恩巴勒斯坦权力机构,
    5. Merkies是
    。Rasch-Built庞培特定活动(R-PAct)量表。Neuromuscul Disord2013;23:256- - - - - -264。
    OpenUrl PubMed
  44. 44.↵
    1. Vanderveldel,
    2. 范登伯格PY,
    3. GoemansN,
    4. Thonnard莱托
    。神经肌肉疾病患者的活动限制:ACTIVLIM问卷的响应性研究。Neuromuscul Disord2009;19:99- - - - - -103。
    OpenUrl CrossRef PubMed
  45. 45.↵
    1. 范德普洛格在,
    2. Kruijshaar我,
    3. Toscano一个,等
    。成人庞贝病患者开始和停止酶替代疗法的欧洲共识:10年经验。欧元神经2017;24:768- - - - - -e31。
    OpenUrl

信件:快速在线通信

本文尚未发表评论。
评论

需求

如果你要上传关于文章的信件:
您必须在六个月内更新您的披露:http://submit.首页neurology.org

您的合著者必须发送一份完整的出版协议表格来首页(对于主要/通讯作者不需要填写以下表格即可),然后再上传您的评论。

如果你在回复一篇关于你最初撰写的文章的评论:
您(和共同作者)不需要填写表格或检查披露,因为作者表格仍然有效
并适用于信件。

提交规格:

  • 文章必须少于200字,参考文献少于5篇。参考文献1必须是你所评论的文章。
  • 投稿者不得超过5人。(例外:原作者回复可以包括文章的所有原作者)
  • 只可提交发稿日起6个月内发表的文章。
  • 不要冗余。在提交之前阅读文章上已经发布的任何评论。
  • 提交的意见在发表前须经过编辑和编辑审查。

更多关于争议和辩论的指南和信息

写评论

更多关于文本格式的信息

纯文本

  • 不允许使用HTML标记。
  • 网页地址和电子邮件地址会自动变成链接。
  • 行和段自动中断。
作者信息
注意:第一作者必须是注释的通讯作者。
名字,名,名“彼得”。
你的姓或姓。“MacMoody”。
你的电子邮件地址,例如higgs-boson@gmail.com
你的角色和/或职业。“整形外科医生”。
所属机构或机构(如适用),例如"皇家自由医院"
出版协议
注意:除第一作者/通讯作者外,所有作者必须单独填写一份出版协议表格并在发表评论之前通过电子邮件提供给编辑部。
验证码
这个问题是为了测试你是否是一个人类访问者,并防止自动发送垃圾邮件。

垂直制表符

你可能也感兴趣

回到顶部
  • 文章
    • 摘要
    • 术语表
    • 方法
    • 结果
    • 讨论
    • 信息披露
    • 研究资金
    • 附录的作者
    • 脚注
    • 参考文献
  • 图表和数据
  • 信息和披露
  • CME过程

更多的网上

CME过程

SARS-CoV-2疫苗接种Guillain-Barré综合征、慢性炎症性脱髓鞘多发性神经病和多灶性运动神经病的安全性

杰弗里·艾伦博士和尼古拉斯·珀塞尔博士

►看

相关文章

  • 发生了什么首页®

主题讨论

  • 所有临床神经病学首页
  • 所有神经肌肉疾病
  • 临床试验观察性研究(队列、病例对照)
  • 代谢性疾病(遗传性)
  • Glycogenoses

提醒我

  • 信件发表时通知我

推荐的文章

  • 文章
    酶替代疗法治疗庞贝病的远期疗效
    一项5年前瞻性研究
    Esther Kuperus, Michelle E. Kruijshaar, Stephan C.A. Wens等。
    首页神经病学,2017年11月8日
  • 文章
    II型糖原病的管理和治疗
    B. Bembi, E. Cerini, C. Danesino等。
    首页神经病学杂志,2008年12月1日
  • 简短的沟通
    肌营养不良中的一水肌酸:一项双盲、安慰剂对照临床研究
    M.C. Walter, H. lochm ller, P. Reilich等。
    首页神经病学,2000年5月9日
  • 文章
    脊髓性肌萎缩患者疲劳的相关因素
    Bart Bartels, Janke F. de Groot, Laura E. habetts等人。
    首页神经病学,2020年11月20日
首页神经学:100 (14)

文章

  • 印刷前
  • 最新一期
  • 过去的问题
  • 受欢迎的文章
  • 翻译

关于

  • 关于期刊
  • 道德政策
  • 188app
  • 1888博金宝
  • 做广告

提交

  • 作者中心
  • 提交稿件
  • 审稿人信息
  • 河畔的指导方针
  • 权限

用户

  • 订阅
  • 激活订阅
  • 注册eAlerts
  • RSS提要
网站的标志
  • 访问Face首页book上的neurology Template
  • 在Twitte首页r上关注neurology Template
  • 在YouTu首页be上访问神经病学
  • 首页
  • 首页神经学:临床实践
  • 首页神经学:教育
  • 首页神经学:遗传学
  • 首页神经学:神经免疫学与神经炎症学
  • AAN.com
  • AANnews
  • 连续体
  • 大脑与生命
  • 首页今天神经学

威科集团标志

首页神经学|打印ISSN:0028-3878
在线ISSN: 1526 - 632 x

188金宝搏官网登录

  • 隐私政策
  • 反馈
  • 做广告
Baidu
map