协会的直立性低血压与脑萎缩患者的路易的身体疾病
做出评论
看到评论
文摘
客观的评估是否直立性低血压(OH)或仰卧的高血压(SH)与脑萎缩和白质hyperintensities(负责人),我们从一个大型多中心临床和影像学数据分析财团的帕金森病(PD)患者和路易体痴呆(下文)。
方法仰卧位和直立性血压(BP)和结构的MRI数据提取PD患者和8点下文评估第三治疗中心在美国,加拿大,意大利和日本。哦,被定义为收缩压/舒张压下降≥20/10毫米汞柱站3分钟内从仰卧位(严重≥30/15毫米汞柱)和SH BP≥140/90毫米汞柱与普通BP。诊断、年龄、性别、和疾病duration-adjusted全球和区域差异脑萎缩和负责人与验证半定量的评价等级量表。
结果与PD共有384名患者(310年,74年与下文满足合格标准,其中44.3% (n = 170)哦,包括24.7% (n = 42)有严重哦,41.7%与SH (n = 71)。哦,是与全球脑萎缩(p涉及前颞(= 0.004)和区域萎缩p= 0.001)和mediotemporal (p= 0.001)地区,更严重和长程哦(p= 0.001)。研究负责人负担在那些相似,没有哦p= 0.49)。SH与脑萎缩(无关p= 0.59)或负责人(p= 0.72)。
结论哦,但不是上海,在路易身体障碍与脑萎缩有关,与著名的颞区参与。哦和SH负责人。
术语表
- 英国石油公司=
- 血压;
- CI=
- 置信区间;
- 下文=
- 路易体痴呆与;
- MDS=
- 运动障碍的社会;
- 患者的=
- 细微精神状态检查;
- 美国华人博物馆=
- 蒙特利尔认知评估;
- 哦=
- 直立性低血压;
- PD=
- 帕金森病;
- 上海=
- 仰卧的高血压;
- UPDRS=
- 统一帕金森病评定量表;
- 研究负责人=
- 白质hyperintensities
体位性低血压(OH),定义为血压(BP)下降≥20/10毫米汞柱(收缩压/舒张压)站的3分钟内,1和懒散的高血压(SH),定义为仰卧的BP≥140/90毫米汞柱与普通BP,2是心血管神经异常的血流动力学表现,通常与路易身体障碍有关。据估计,30%的帕金森病(PD)患者和30%至70%与路易体痴呆(下文)是影响哦,≈40%到70%的病例由SH哦是复杂的。3
多个研究记录哦和认知障碍之间的关联,说明常见的致病机制可能参与认知和自主功能障碍或反复发作的脑灌注不足和hyperperfusion可能影响患者的认知功能路易的身体疾病。3,- - - - - -,7这些假设是由小成像研究显示区域脑萎缩脑岛8和胆碱能通路5和假设血流动力学障碍可能导致短暂的认知障碍或慢性脑血管损伤反映在白质hyperintensities(负责人)。1,9,10
使用一个大型多中心存储库的影像和临床数据,我们试图分析哦的协会和SH与全球和区域脑萎缩和负责人。
方法
我们搜索一个大型多中心的临床和影像存储库财团由8个专业运动障碍和痴呆中心在美国辛辛那提大学,加拿大(多伦多大学,阿尔伯塔大学),意大利(布雷西亚大学都灵大学Chieti-Pescara大学帕金森病康复中心Trescore Balneario),和日本(东京顺天堂大学)。
包含和排除标准
PD患者和下文会议所有的包容和下面列出的排除标准中没有一个是参与这项研究。入选标准是(1)临床诊断特发性帕金森病的运动障碍社会(MDS)标准11或下文按国际下文协会标准12;(2)标准化直立的英国石油公司评估(病人仰卧时至少5分钟,然后站3分钟);(3)稳定剂量的多巴胺能和血管加压的药物前至少4周直立的英国石油(BP)的评估;(4)大脑核磁共振成像,包括t1和t2加权序列得到≥1.5 t;(5)可用性MDS-Unified帕金森病评定量表(MDS-UPDRS)第三部分(电机症状)13或UPDRS评分时,英国石油公司评估;(6)蒙特利尔认知评估的可用性(MoCA)14或细微精神状态检查(MMSE)15分数时,英国石油公司的评估。
排除标准:(1)nonneurogenic哦,定义为Δheart率/Δsystolic bpm / BP比≥0.5毫米汞柱16;(2)伴发糖尿病神经病变或其他障碍与自主神经系统内的赤字17;(3)nonneurogenic哦,由于治疗与抗高血压药物或其他治疗影响BPα-adrenergic拮抗剂等前列腺疾病;(4)病史的急性脑血管疾病(缺血性或出血性卒中发生和/或TIA);(5)其他神经疾病或医疗条件可能与认知障碍有关,包括肾脏和肝脏的代谢疾病18;(6)任何非典型临床特征降低PD的诊断确定或下文;(7)重大精神疾病需要长期使用典型的抗精神病药物;(8)药物或酒精滥用的历史。
哦,上海的定义
英国石油(BP)和心率进行评估的坐着,仰卧位(至少5分钟后休息),和站的位置。哦,被定义为BP下降10毫米汞柱≥20毫米汞柱的收缩压或舒张压在3分钟的站19从仰卧位和评为严重哦如果BP下降≥15毫米汞柱30毫米汞柱的收缩压或舒张压基点。20.SH被定义为仰卧位收缩压≥140毫米汞柱或舒张BP≥90毫米汞柱;严重的SH被定义为仰卧位收缩压值≥180毫米汞柱或舒张压值≥110毫米汞柱正常患者坐在英国石油公司。2
图像数据
t1和t2加权图像出口在医学数字成像和通信格式和分析在一个集中的方式由4个独立评级机构详细统计方法。
脑萎缩是评估在6个不同的地区(前扣带;眶额;前颞;fronto-insular;mediotemporal;后)t1影像根据描述的半定量的方法在哈珀和同事的工作21和评价如下:0 =关闭沟;1 =沟的开放;2 =沟的扩大;3 =严重沟的扩大与体积损失;4 =深刻的体积损失(得分4只适用内侧和前颞叶萎缩)。
4不同的地区负责人进行评估(室周的白质;深白色物质;基底神经节+内囊;和infratentorial白质)t2加权图像和评价,根据Scheltens et al。22如下:0 =没有白质病变;1 =点状的白质病变;2 =早期汇合的白质病变;和3 =汇合的白质病变。最后分析通过添加单独的分数记录区域的左右半球,导致分数介于0和6(主/时间萎缩)。
的基础上通过哈珀et al .,21量表的评分者间信度萎缩范围从0.5到0.79为不同地区平均成绩评定等级量表(≥0.73)。22随机抽取36核磁共振成像的初步评估的4评级机构估计组内相关系数,这被认为是可以接受的,如果> 0.70 (e-table 1,数据可以从森林女神,doi.org/10.5061/dryad.6q573n5zd)。
临床数据
医疗记录是寻找以下人口/临床信息的时间框架内3个月从MRI:性别、年龄、发病年龄、种族、神经或精神疾病的家族史,糖尿病神经病变,高血压,高胆固醇血症,出血性或缺血性中风或TIA的历史,心肌梗死冠状动脉搭桥,血管成形术或支架,心房纤维性颤动,valvulopathy。18MDS-UPDRS-III或UPDRS-III得分,Hoehn & Yahr阶段,美国华人博物馆或MMSE得分也收集。转换从MMSE与劳顿MoCA得分是根据需要应用等。23公式和MoCA总分被用作衡量全球认知。一个转换从UPDRS-III MDS-UPDRS-III得分是应用使用公式由Goetz和合作者24在需要的时候。
多巴胺能治疗,包括左旋多巴,多巴胺受体激动剂,monoamine-oxidase-B抑制剂,catechol-O-methyltransferase抑制剂、记录和用于计算总左旋多巴等效剂量按照汤姆林森等提出的换算表。25使用药物治疗糖尿病、高血压、高脂血症、抑郁症和精神病也记录下来。
样本大小的计算
应用调整差异0.53单位的萎缩(95%可信区间[CI] 0.05 - -1.02)患者和没有哦负责人(15.6±9.6 vs总分11±8.2)在先前的研究报道26,27假设相同的组间方差表示,至少90的样本大小噢+和90−个人(总= 180)估计达到80%的电力负责人评估为1%水平的意义使用多元线性回归分析。结合相关变异系数R2与协变量假定为20%。意义的水平调整到1%由于多重比较。假设哦患病率为40% (95% CI 23% -38%)在路易身体疾病相似的效果大小作为负责人认为,据估计,350例需要> 80%能力评估的影响哦组调整后对MRI诊断(PD vs下文使用多元线性回归分析。样本大小是探索不同哦患病率场景(30% - -60%)使用能力分析和样本大小软件(通过14动力分析和样本大小的软件,2015年,摘要,LLC Kaysville, UT;ncss.com/software/pass)。
统计分析
人口统计学变量、临床特点和血管危险因素患者比较,没有哦(进一步细分成哦和严重哦)使用方差分析/多元线性分析,以学习小组为主要因素,χ2测试连续和二分变量,分别。定量数据被当作平均数±标准差。协方差分析是用来估计不同的半定量的评价尺度的区域脑萎缩和负责人(因变量)之间的3哦组(没有哦,哦,和严重OH-independent变量)与调整诊断(PD vs下文),年龄,性别,多年的教育,和疾病持续时间(共)。效应大小(CI)平均差和95%哦组脑萎缩和负责人在每个地区的决心与多元线性回归分析。此外,科恩效应值估计为每个结果与哦组与多个普通线性回归分析使用占据15.1码。
同样的分析使用t测试和χ2测试统计数据和协方差分析的萎缩和执行负责人评级SH组患者作为一个独立变量哦。多重比较和Bonferroni调整校正应用于显著性水平(α)的单一萎缩区域(α= 0.05/6 = 0.008)和负责人(α= 0.05/5 = 0.01)。
协方差分析的假设回归斜坡上的同质性验证。进行了统计检验和社会科学统计软件包(SPSS 21.0 Macintosh,芝加哥,IL)。2-tailed意义阈值被设定为0.016,类内的事后分析比较。
标准协议的审批、登记和病人同意
本研究获得机构审查委员会/伦理委员会批准,所有参与中心和依法进行良好的临床实践和任何适用的国家和地方法规。数据采集的通用数据保护监管要求得到满足。从所有参与者获得书面知情同意。
数据可用性
的数据支持本研究的发现可以从相应的作者以合理的要求。
结果
病人
共有410名患者最初包括在这项研究。其中,6由于核磁共振运动工件被排除在外,8由于皮质下缺血性中风(4没有哦,3哦,和1有严重哦),和12由于低成像质量不够准确的脑萎缩评级(图1)。剩余的384名患者与下文与PD(310和74),44.3% (n = 170)哦。在患者哦,24.7% (n = 42)有严重哦,41.7% SH (n = 71)。PD患者年轻(65.8±10.3年和79.1±7.2年)和疾病持续时间较长(9.2±5.3年和6.6±4.5年)和更好的认知成绩(MoCA得分24.3±2.9 vs 16.1±5.1)比有下文。没有观察到的差异哦PD和下文(之间的分布表1)。
哦,患者疾病持续时间较长p= 0.02)和更高的MDS-UPDRS-III分数(p= 0.02)相比,患者没有哦,没有年龄差异,性别分布,血管危险因素(表2)。SH有更多患者血管危险因素(高血压、糖尿病、血脂异常、心血管疾病),但类似的年龄、性别分布、疾病持续时间、电机性能和认知障碍相比没有SH (表2)。
OH-Associated成像数据
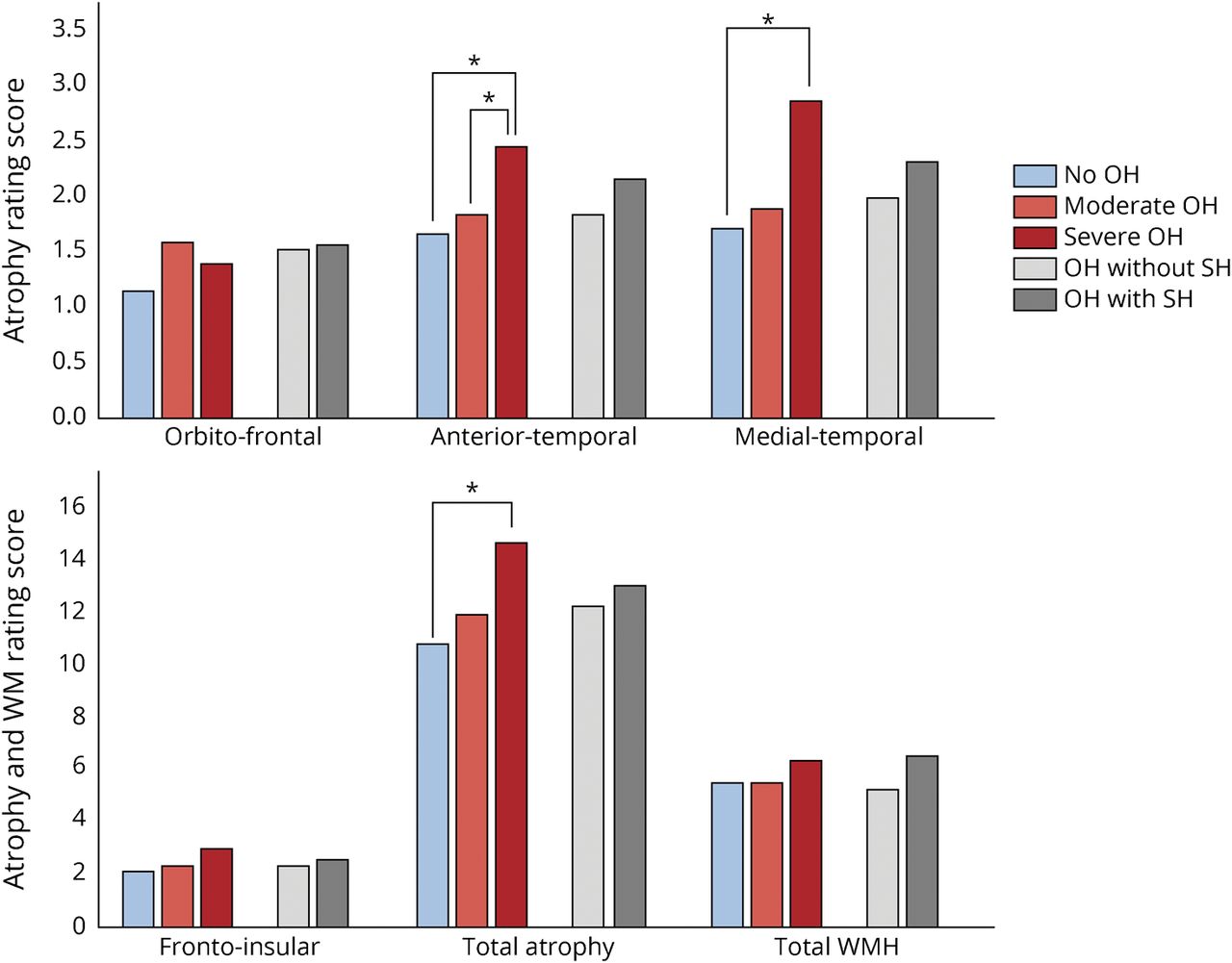
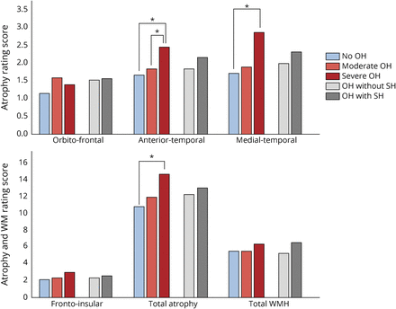
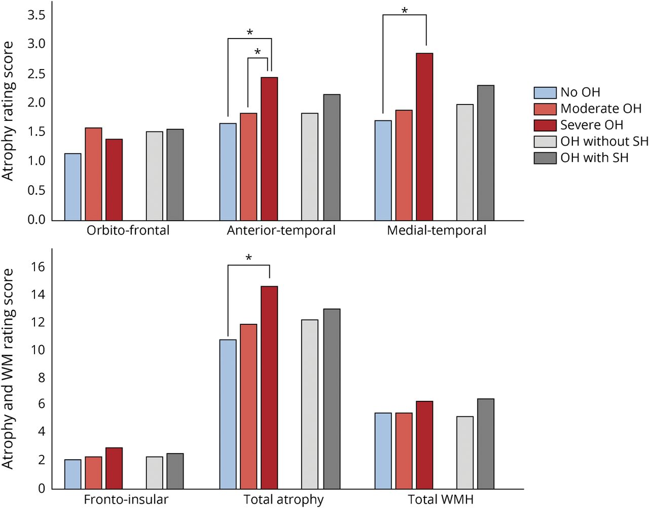
年龄、性别、诊断、教育、和疾病duration-adjusted数据显示一个协会与全球脑萎缩(哦p涉及前颞(= 0.004)和区域萎缩p= 0.001)和mediotemporal (p= 0.001)地区(表3和图2)。事后分析显示更大的全球萎缩患者严重哦对病人没有哦(p= 0.006);严重哦,显示更大的患者相比,前颞萎缩患者哦(p< 0.001)和病人没有哦p< 0.001)和内侧颞萎缩患者相比没有哦p= 0.002)(表4)。没有观察到在全球和地区差异之间的研究负责人评分哦患者和那些没有哦(表3和图2)。
哦=直立性低血压;SH =仰卧的高血压;WM =白质;研究负责人=白质hyperintensities。事后分析(*意义与Bonferroni调整设置α= 0.016)。
讨论
患者临床和神经影像数据从384年路易身体疾病证明哦与全球和区域涉及前颞脑萎缩和mediotemporal地区,在那些有严重的哦。患者未发现负责人负担的差异和没有哦或SH。此外,SH并不是与全球或地区脑萎缩有关。
越来越多的研究已经报道哦认知结果最重要的预测因子之一PD和下文。3,28小单中心研究记录增加α-synuclein皮层和皮层下患者的病理哦,29日暗示与恶性疾病表型可能恶化的急性和慢性脑灌注不足。4,9其他人提出,血流动力学压力由于哦和SH可能造成慢性损害大脑小血管,导致研究负责人,这有助于在路易体痴呆疾病。10,30.然而,到目前为止,没有研究充分解决哦,SH对大脑结构变化的影响。
是否重复低血压患者发作导致这些不良结果通过直接缺氧损害脆弱的地区或仅仅是更积极的临床亚型路易体病理仍不清楚。的可能性存在慢性缺氧可能引发或加速神经退行性的发展机制。从衰老的动物实验研究表明,慢性脑低灌注收益率突触变化,代谢失调,胆碱能受体损失,蛋白质合成异常,和视觉空间的赤字。31日,32此外,老化动物慢性脑低灌注后保存的时间太长,显示趋势发展和颞顶皮层海马神经元损伤区域。33在阿尔茨海默病鼠模型、慢性缺氧的沉积与增加β-amyloid在额叶皮层和海马和颞叶皮层过度磷酸化τ。34总的来说,这些发现支持了假设慢性缺氧可能会干扰细胞已经受损的代谢途径的神经退化过程,最终导致神经退行性损伤快速的进展。然而,在多大程度上这些致病机制适用于PD和下文仍有待澄清。
我们的研究的结果,调整年龄、性别、疾病持续时间、教育、和血管共病情况,表明哦是独立与全球脑萎缩,在颞地区更加突出。mediotemporal和前颞叶的参与是至关重要的,因为这些地区直接相关,在路易体痴呆疾病的进展。35,36我们还发现,哦对皮层下负责人没有影响的负担。这一发现了一个颇有争议的点文学。44 PD患者的研究评估心血管自主测试和脑成像发现了相似的研究负责人患者负担,没有哦,这表明OH-associated认知缺陷不能被解释为皮层下血管疾病。37然而,3其他研究基于简单的床边BP测量产生了相反的结果。27,38,39这些相互矛盾的结果可能相关部分的患者nonneurogenic哦,在血管危险因素可能有更大的作用。18在这项研究中,我们只包括神经性哦和分层严重程度和患者伴随的SH分析子类微血管损伤的病人潜在的风险更高。我们发现无论是哦还是SH与明显高于相关负责人的负担,可以解释为这一事实研究负责人需要多年的慢性血管剪切应力,而哦和SH被定义,阵发性急性情景下降等并发症20.,40,41和认知的波动。42
利用我们的大型数据集,我们也SH的影响进行了探讨,在之前的小群体是不可能的。慢性原发性高血压患者的数据表明,SH并存状况会增加心血管疾病的风险,43和最近的一项研究发现SH与multiorgan损害患者的纯自主失败,那些多系统萎缩,某些情况下PD。44然而,在170年我们的分析路易身体障碍患者哦,其中71名伴有SH,我们没有发现SH与脑萎缩或皮层下负责人负担。虽然我们不能排除患者的长期随访分析SH可能揭示脑血管器官损伤的迹象,我们的研究结果表明,上海可能产生较小的影响比原发性高血压脑实质,可能是因为阵发性而不是慢性的性质。43这一结果可以通知治疗协议管理血流动力学PD患者的自主神经功能障碍和下文因为哦的成功治疗通常需要接受更高频率的SH。我们的数据似乎表明,这可以以最小的对脆弱的大脑皮层和皮层下结构的影响。
应该承认一些局限性。首先,我们使用半定量的尺度评估脑萎缩。尽管广泛验证,这些敏感尺度仍然低于分布形态测量学的分析或完全定量的分析,尤其是对后皮质区域。然而,这不会为回顾性研究是可行的,因为大多数临床大脑核磁共振成像不包括体积T1序列等目的。系统和潜在收购临床、血流动力学和成像数据已经开始在选定的中心和证实这些结果至关重要。同样,生物样本的收集脑脊液等将使生物标记的评估,可以确定潜在的病理过程与观察到的神经影像学研究和评估与阿尔茨海默病copathology之间的关系。45第二,我们的观察性研究设计必然会倾向于选择偏见,可能扮演了一个角色在观察到的结果。可能包含可用标准的英国石油(BP)评估患者仰卧位和站立位置可能引入了一个倾向的选择报告直立性症状。事实上,哦普遍观察到在我们的研究中(44%)略高于平均水平在文献中报道(≈30%)。46第三,缺乏广泛的认知评估全球认知的限制我们的分析措施。更全面的认知测试和前瞻性随访评估需要评估的影响哦/ SH在特定的神经缺陷。第四,心血管自主评估仅限于研究BP和心率。更广泛的电池cardiovagal,肾上腺素和催汗的测试将允许区分致病机制涉及自主神经系统的不同组件。最后,缺乏纵向评估研究排除这种可能性的影响血管加压的治疗脑萎缩的速度发展。47澄清这一点都将对确定脑萎缩的程度至关重要的是结果,而非原因哦,至关重要的问题告知治疗管理协议的发展哦,SH。
尽管与一项观察性研究相关的限制,我们的研究结果支持之间的关系哦,而不是SH与脑萎缩,与对前颞和mediotemporal地区更加明显的影响。这些结果符合已知的漏洞mediotemporal叶和海马的急性和慢性缺氧导致脑灌注不足48和建议可能会有直接对这些选择皮质血流动力学的影响哦。3,29日,49另外,观察到的萎缩可能代表一个特定表型的患者哦,特点是广泛的路易身体的病理过程。未来的研究将需要努力澄清是否积极治疗血管加压的代理人,甚至不惜牺牲更大的SH患病率,可以减少脑萎缩的程度,导致更好的短期和长期的结果。
研究资金
没有要申报的东西。
信息披露
安德里亚Pilotto收到AbbVie议长酬金和差旅补助制药BioMarin制药、基耶西医药、纽迪希亚制药、UCB制药,Zambon药品。阿尔贝托Romagnolo收到AbbVie给予支持和议长谢礼,议长谢礼从基耶西Farmaceutici,从Lusofarmaco和差旅补助,基耶西Farmaceutici,美敦力公司和联合制药。安德里亚Scalvini没有披露财务冲突。马里奥Masellis收到薪水支持新宁保健科学中心的医学和多伦多大学,以及新宁研究所。他已经收到了津贴/研究支持帕金森加拿大,加拿大卫生研究院的研究,Teva,经济发展和创新的早期研究者Award-Ministry, C5R,韦斯顿脑研究所,安大略省脑研究所,新宁法新社创新基金、诺华、华盛顿大学、罗氏、阿兹海默症药物发现基金会加拿大的大脑,心脏和中风恢复基金会中心。他收到Ionis咨询费,生命科学,Alector, Arkuda疗法,以及版税从亨利•斯图尔特会谈。靖Shimo资助从日本社会科学,促进科研补助金和收到了来自美敦力公司发言人谢礼,波士顿科学,大冢制药、武田制药有限公司、日本住友制药公司,诺华制药,默沙东,FP制药集团Kyowa白光麒麟,AbbVie, Inc .劳拉Bonanni没有披露财务冲突。理查德Camicioli承认加拿大卫生研究院资助的研究,大脑加拿大、迈克尔·j·福克斯基金会加拿大阿尔伯塔大学的医院基金会和帕金森。数据包含在当前的研究中通过加拿大卫生研究院研究操作授权。他是由加拿大财团在神经退化衰老作为路易体团队的领导。莉莉王没有披露财务冲突。 Alok K. Dwivedi is supported as a coinvestigator by the NIH grants 1R01HL125016-01, 1 R21 HL143030-01, and 1R21 AI133207 and as a collaborator in NIH R21 AI118228 grant. He has been also serving as a statistician in Cancer Prevention and Research Institute of Texas grants (PP180003, PP170068, PP170004, PP140164, 140211, PP110156, PP150031, and PP130083),临床与转化科学中心和培训K12(顾问)奖,科(coinvestigator)和TMF (coinvestigator)。他是一个生物统计学和流行病学咨询实验室主任德州理工大学健康科学中心的埃尔帕索。凯瑟琳·Longardner费德里科•Rodriguez-Porcel马克•DiFrancesco华金a . Vizcarra Elisa蒙塔纳罗,西蒙娜莫尔,亚历山德罗Lupini,卡门Ojeda-Lopez,桑德拉·e·黑,斯特凡诺Delli Pizzi,和Myrlene哎呀没有财务利益冲突披露。某某的田中收到酬金武田制药有限公司,日本百灵达殷格翰集团有限公司有限公司Dai-Nippon住友制药有限公司和大冢制药有限公司Kazuo Yamashiro没有披露财务冲突。塔波多野收到授予医学研究与发展机构的支持下授予19 dm0107156和藤井Setsuro纪念大阪促进基础医学研究的基础;演讲者谢礼武田制药有限公司盖Dai-Nippon住友制药有限公司,有限公司,大冢制药有限公司,有限公司,卫材有限公司有限公司Abbvie公司,和小野制药有限公司,有限公司;并从Nankodo出版版税。芭芭拉Borroni罗伯托•Gasparotti和玛丽亚克里斯蒂娜Rizzetti没有财务利益冲突披露。町村服部年宏收到Dai-Nippon住友议长谢礼,大冢,武田,Kyowa-Kirin,葛兰素史克,日本,勃林格殷格翰的发言,FP,卫材、Kissei,日本Medi-physics,诺华、Idec日本,AbbVie,阿斯特拉,波士顿科技公司日本,赛诺菲,辉瑞日本Alexion Mylan N。V,默沙东,第一三共制药和医学。他已经收到了咨询公司和分包Dai-Nippon住友、Idec,大冢,武田,Kyowa-Kirin,明治精华,Hisamitsu,花王。 Leonardo Lopiano has received honoraria for lecturing and travel grants from Medtronic, UCB Pharma, and AbbVie. Irene Litvan’s research is supported by the NIH grants 2R01AG038791-06A, U01NS090259, U01NS100610, U01NS80818, R25NS098999, P20GM109025, U19 AG063911-1, and1R21NS114764-01A1; Parkinson Study Group, Michael J. Fox Foundation, Parkinson Foundation, Lewy Body Association, Roche, Abbvie, Biogen, EIP-Pharma, and Biohaven Pharmaceuticals. She was a member of the Scientific Advisory Board of Lundbeck and Corticobasal Degeneration Solutions. She receives her salary from the University of California San Diego and as chief editor of神经学前沿首页。阿尔贝托Espay已收到授予迈克尔·j·福克斯基金会和美国国立卫生研究院的支持;个人薪酬作为Abbvie顾问/顾问委员会成员,Neuroderm,神经内分泌的,Amneal,阿卡迪亚,Acorda, Kyowa麒麟,Sunovion, Lundbeck公司,它是一家USWorldMeds;从Lippincott Williams &威尔金斯出版版税,剑桥大学出版社,施普林格;并从USWorldMeds谢礼,阿卡迪亚,Sunovion。亚历山德罗Padovani收到格兰特卫生部和教育部的支持,研究和大学和CARIPLO基金会,以及个人薪酬作为Avanir顾问/顾问委员会成员,Lundbeck公司,它是一家礼来,生原体,Neuraxpharma, GE的健康。阿里斯蒂德Merola是由美国国立卫生研究院(KL2 TR001426)从治疗先锋生物制药和已经收到了议长谢礼,美敦力公司,CSL贝林,Cynapsus疗法,Lundbeck公司,它是一家AbbVie,艾伯特。他已经收到了格兰特Lundbeck公司,它是一家雅培的支持。去首页Neurology.org/N为充分披露。
附录的作者
脚注
去首页Neurology.org/N为充分披露。资金信息和披露认为作者相关的,如果有的话,年底提供这篇文章。
- 收到了2020年11月4日。
- 接受的最终形式2021年5月19日。
- 版权©2021年作者(年代)。发表的Wolters Kluwer健康,公司代表美国神经病学学会。首页
这是一个开放的分布式下文章知识共享归属许可4.0(该校),它允许无限制的使用、分配和复制在任何媒介,提供最初的工作是正确引用。
引用
- 1。↵
- 2。↵
- 3所示。↵
- 4所示。↵
- 5。↵
- 6。↵
- Fereshtehnejadsm,,
- Romenets老,
- AnangJBM,
- 有V,
- 盖格农肯尼迪,
- PostumaRB
- 7所示。↵
- 8。↵
- 9。↵
- EspayAJ,
- LeWitt巴勒斯坦权力机构,
- 豪泽类风湿性关节炎,
- Merola一个,
- Masellis米,
- 朗AE
- 10。↵
- 11。↵
- 12。↵
- 13。↵
- 14。↵
- 15。↵
- 16。↵
- 17所示。↵
- DineenJ,
- 弗里曼R
- 18岁。↵
- 19所示。↵
- 20.↵
- 21。↵
- 22。↵
- 23。↵
- 劳顿米,
- 卡斯滕米,
- 可能太,et al。
- 24。↵
- 25。↵
- 26岁。↵
- 27。↵
- 28。↵
- 29。↵
- 浣熊EA,
- Cutsforth-GregoryJK,
- BenarrochEE
- 30.↵
- 31日。↵
- 32。↵
- 33。↵
- 34。↵
- 公园JH,
- 在香港JH,
- 李西南,et al。
- 35。↵
- LanskeyJH,
- McColganP,
- 施拉格AE,et al。
- 36。↵
- 37岁。↵
- 38。↵
- 39岁。↵
- 40。↵
- Merola一个,
- 索耶RP,
- ArtusiCA,et al。
- 41岁。↵
- Romagnolo一个,
- Zibetti米,
- Merola一个,et al。
- 42。↵
- 43。↵
- 44岁。↵
- 45岁。↵
- 度琪明C,
- 费雷拉D,
- OppedalK,et al。
- 46岁。↵
- 47岁。↵
- LongardnerK,
- BayramE,
- Litvan我
- 48。↵
- 49。↵
- Merola一个,
- 浣熊EA
信:快速的网络通信
你可能也会感兴趣
相关文章
-
没有找到相关文章。
提醒我
推荐的文章
- 文章
催汗的,皮肤血管舒缩性,和心血管反应3例临床形式的路易的身体疾病y Akaogi, m . Asahina y山中et al。
首页神经学,2009年6月29日 - 文章
认知功能障碍协会neurocirculatory异常早期帕金森病Joong-Seok Kim Yoon-Sang哦,Kwang-Soo李et al。
首页神经学,2012年9月12日 - 文章
APOEε4、白质hyperintensities和认知在老年痴呆症和路易体痴呆赛义德Mirza Saira,乌斯曼赛义德,乔骑士et al。
首页神经学,2019年10月1日 - 文章
减少心脏123 i-mibg吸收反映心脏交感神经功能障碍在路易身体疾病h .奥卡河,吉冈m . m .盛田昭夫等。
首页神经学,2007年10月1日


