安全AADC基因疗法的适度先进的帕金森病
三年从pd - 1101试验结果
做出评论
看到评论
文摘
背景和目标报告最后,提供安全与PD - 1101试验的临床结果nbib - 1817 (VY-AADC01)参与者与适度先进的帕金森病(PD)和汽车的波动。
方法pd - 1101是一个阶段1 b,非盲、剂量递增试验VY-AADC01,基因治疗实验AAV2编码人的芳香l胺基酸脱羧酶(AADC)酶。VY-AADC01是通过双边、术中mri引导下putaminal注入到3组每组参与者(n = 5):组1≤7.5×1011向量基因组(vg);组2,≤1.5×1012vg;组3≤4.7×1012vg。
结果没有严重不良事件(节约)归因于VY-AADC01被报道。所有4 non-vector-related节约(房颤和肺栓塞1例小肠阻塞的参与者和2事件另一个参与者)解决。要求PD药物降低21% -30% 2最高剂量组在36个月。标准的运动机能指标(PD日记,统一帕金森病评定量表三世“关闭”药物和“on”药物的分数),改善全球印象(临床改善的全球印象,病人全球改善的印象),和生活质量(39-item帕金森病问卷)稳定或改善与基线相比在12日,24日,并在军团VY-AADC01政府后36个月。
讨论VY-AADC01和手术管理过程是同时和导致稳定或改善运动功能和生活质量在军团,以及减少PD药物需求组2和3在3年。
试验注册信息NCT01973543。
证据的分类这项研究提供了四级的证据,在适度先进的PD患者和运动波动,putaminal注入VY-AADC01耐受性良好,可以提高运动机能。
术语表
- AADC=
- L-amino酸脱羧酶;
- AAV2=
- 腺相关病毒血清型2;
- AE=
- 不良事件;
- 清洁能源=
- convection-enhanced交付;
- CGI-I=
- 临床全球Impression-Improvement;
- 星展银行=
- 脑深部电刺激;
- 深静脉血栓形成=
- 深静脉血栓形成;
- 18F-DOPA=
- (18)F-fluoro-l-dihydroxyphenylalanine;
- 食品及药物管理局=
- 食品和药物管理局;
- 谷歌价格指数=
- 苍白球interna;
- hAADC=
- 人类氨基酸脱羧酶;
- ITT公司=
- intent-to-treat;
- 领导=
- 等效剂量左旋多巴;
- mH&Y=
- 修改Hoehn & Yahr;
- 先生=
- 核磁共振;
- 额定马力=
- 非人灵长类动物;
- PD=
- 帕金森病;
- PDQ-39=
- 39-item帕金森病问卷;
- PGI-I=
- 病人对改善全球的印象;
- SAE=
- 严重不良事件;
- 扫描电镜=
- 平均数标准误差;
- TEAE=
- 治疗诱发的不良事件;
- 加州大学旧金山分校=
- 加州大学旧金山;
- UDysRS=
- 统一的运动障碍评定量表;
- UPDRS=
- 统一帕金森病评定量表;
- UPMC=
- 匹兹堡大学医疗中心;
- vg=
- 向量的基因组
帕金森病(PD),进行性神经退行性疾病,导致重大的电动机和nonmotor障碍。1左旋多巴,转化为多巴胺l胺基酸脱羧酶(AADC),是最有效的治疗帕金森病的运动症状。1,2多巴胺黑质纹状体神经元表达PD, AADC退化,导致在黑AADC终端逐步丧失的壳从左旋多巴和多巴胺的合成减少。3,4随着PD的发展,不断升级的左旋多巴剂量和辅助药物管理越来越需要禁用症状,包括电机波动和运动困难。2,5
基因治疗可以提供耐用,可能终生,PD的临床好处后一个政府。6先前的研究的基因疗法针对基底神经节在PD早期临床前和临床研究,但疗效结果喜忧参半。6,- - - - - -,12nbib - 1817 (VY-AADC01)是一个实验性的腺相关病毒血清型2 (AAV2)编码人类AADC基因疗法(hAADC)旨在增加多巴胺酶生产交付AADC基因直接硬膜,2,预计转导细胞表达AADC,允许局部多巴胺前体药物左旋多巴的生产。预计产生的多巴胺的水平取决于剂量左旋多巴。13另一种基因治疗方法使用慢病毒向量编码内源性多巴胺合成所需的酶3(酪氨酸羟化酶,cyclohydrolase 1和AADC)也正在研发中。14
PD - 1101是一个阶段1 b,非盲、剂量递增试验VY-AADC01交付双边核的参与者与适度先进PD和运动波动。2我们报告最终将数据从pd - 1101;临时安全性和有效性结果已经出版。2
方法
标准协议的审批、登记和病人同意
详细描述的方法用于pd - 1101已经发表。2试验协议和参与者的知情同意形式的机构审查委员会批准的加州大学旧金山加州大学旧金山分校,匹兹堡大学和美国食品和药物管理局(FDA)。协议也进行审核和批准了美国国立卫生研究院的DNA重组咨询委员会;所有参与者提供书面知情同意在审判前参与。数据安全监测委员会回顾了整个试验的安全数据。的clinicaltrials.gov标识符是NCT01973543。
试验设计和参与者
PD - 1101是一个阶段1 b,非盲、剂量递增试验旨在提供四级证据表明,适度先进的PD患者和运动波动,putaminal注入VY-AADC01耐受性良好,可以提高运动机能。参与者进入2临床基地(加州大学和匹兹堡大学医学中心(UPMC))和接收手术在5月7日,2014年,和2016年12月9日。合格的参与者40 - 70岁的适度先进多巴胺能治疗PD和响应性的历史,禁用电机波动尽管最佳药物治疗,病程≥5年,修改Hoehn & Yahr (mH&Y)阶段≥2.5“关闭”药物,和一个稳定的PD≥4星期前筛选药物治疗方案。详细完整的纳入和排除标准ClinicalTrials.gov。队列,队列1,5/5的参与者对待,加州大学旧金山分校;组2,4参与者在UPMC治疗和加州大学旧金山分校和1;2组3,参与者在UPMC治疗和加州大学旧金山分校和3。
VY-AADC01准备、计量和管理
VY-AADC01,重组AAV2向量携带互补DNA编码人类AADC酶巨细胞病毒启动子的控制下,准备如前所述2按照FDA的良好生产规范。VY-AADC01是在不断升级的最大总剂量在试验3组:组1收到VY-AADC01浓度为8.3×1011向量基因组(vg) /毫升和450µL /壳的最大总剂量7.5×1011vg;组2收到相同的浓度组1和900µL /壳的总剂量1.5×1012vg;在队列3中,浓度增加到2.6×1012vg /毫升和体积(每核900µL)保持相同的队列2的最大总剂量4.7×1012vg。全部细节的外科管理VY-AADC01已经出版。2,12总之,参与者被放置在全身麻醉下,定位孔内的仰卧位MRI扫描仪。ClearPoint系统(ClearPoint神经,Inc .),它包含一个MRI-compatible skull-mounted瞄准装置(SmartFrame)和MRI-integrated软件,用于计划和引导插管。VY-AADC01是通过2 - 3轨迹管理核使用SmartFlow走提示插管(ClearPoint神经,Inc .)和convection-enhanced交付(CED),主要目的是实现最大可能的报道postcommissural硬膜,因为它是核的运动区域和显示多巴胺能终端损失大于PD的前壳。12,15套管被选出的轨迹中心核内的套管,与任何的提示至少3毫米putaminal边界,并避免直接接触血管周的空间。政府之前,VY-AADC01与对比剂混gadoteridol允许实时MRI infusate分布的监测和评估的硬膜覆盖。Gadoteridol分布已被证明是一个可靠的预测向量分布CED AAV2-AADC的灵长类动物。16注入技术精制的审判最大化硬膜覆盖和减轻“脱靶”分布。12参与者在医院监测术后至少1晚。
硬膜覆盖分析
VY-AADC01体积的报道核决心使用iPlan流软件(Brainlab AG)如前所述。2Gadoteridol-enhanced磁共振(MR)图像获得的注入与preinfusion MR图像进行比较,以确定核总量的比例,药物管理。预处理和postinfusion之间的重叠图像先生是用来计算每个硬膜的覆盖率百分比,总硬膜覆盖表示为一个值代表平均水平左右壳。
18F-DOPA宠物AADC评估活动
AADC活动在6个月的分布和变化postadministration是次要的结果。(18)F-fluoro -l苯丙氨酸(18F-DOPA) PET扫描获得的基线VY-AADC01和前5 - 6个月postadministration如前所述。2每一次,参加者被要求口服卡比多巴(2.5毫克/公斤;最大剂量200毫克)60 - 90分钟前18F-DOPA管理和采集帧捕获65 - 75分钟后进行后续分析。纹状体(核)枕叶皮质区标准化吸收比率(SOR-1)计算左眼和右眼的壳,用2值平均提供一个值。5 - 6个月postadministration值表示为从基线变化百分比。
安全性和临床结果
主要结果测量的安全性和耐受性AADC基因转移(第四类证据)作为评估的频率严重不良事件(AEs)和AEs(节约)和他们的关系VY-AADC01或审判程序。次要结果措施包括从基线在PD药物测量每日等效剂量左旋多巴(LED)17,18和运动功能评估PD的日记19好”“时间(定义为“on”的总和时间没有运动障碍,“on”nontroublesome运动障碍)和“关闭”时间,统一运动障碍评定量表(UDysRS)总分,第三部分统一帕金森病评定量表(UPDRS III)“关闭”药物和“on”药物分数,分数和mH&Y规模“关闭”药物。发生帕金森病药物的调查员的自由裁量权。病人的全球印象改进(PGI-I)和临床改善的全球印象(CGI-I)在后续评估。变化的生活质量评估使用39-item帕金森病问卷(PDQ-39)。“关闭”药物状态被定义为≥12小时后停止帕金森病药物;“on”药物状态被定义为30 - 120分钟后服用PD的第一日剂量药物当参与者和研究者都同意PD药物发生的好处。如果参与者没有完全“on”根据参与者和研究者,额外½1左旋多巴/卡比多巴25/100毫克平板电脑管理。
统计分析
样本大小的20个参与者选择提供安全性和潜在疗效的初步证据;这个估计不是基于统计计算。主要和次要结果使用描述性的方法措施进行了分析。手术后的平均绝对百分比从基线或变化由人群基线进行了综述。安全分析是基于人口安全,其中包括所有参与者启动审判程序,从preinfusion麻醉的开始。intent-to-treat (ITT)人口包括所有报名参与者在基线和≥1手术后的疗效评估数据的访问。ITT的人口被用于分析向量覆盖硬膜,AADC表达和临床疗效。PD日记数据规范化16小时醒的一天。从基线向量覆盖硬膜和改变AADC表达和临床结果报告为±SEM。一位与会者在队列1中接受双边苍白球interna (GPi)脑深部电刺激(DBS)放置VY-AADC01 34个月后。 The indication for DBS was gradual worsening of PD motor symptoms including rest tremor, dyskinesias, and wearing off. All these features preceded participation in this trial and were considered consistent with typical PD progression. In this participant, 36-month assessments were performed with DBS stimulation “on.” A sensitivity analysis of 36-month outcomes in cohort 1 excluding this participant's data was conducted.
数据可用性
nbib - 1817 (VY-AADC01)是一种临床实验的产品尚未批准任何指示;我们不打算分享研究数据或相关文档。
结果
基线特征
ITT公司和安全人群包括15个参与者(5参与者在每个队列;图1)。人口和基线特征通常是类似的跨组和符合适度先进PD (表1)。在基线,UPDRS III”“药物队列1中得分较低;组3,UDysRS总分和PDQ-39总结指数高于其他人群。组3包括2参与者mH&Y第四阶段“关闭”药物和3参与者mH&Y第三阶段“关闭”药物,而所有的参与者在组1和2是第三阶段。
pd - 1101是一个阶段1 b,非盲、剂量递增试验参与者VY-AADC01的适度先进的帕金森病。2参与者排除在入学1参与者有高架anti-AAV2抗体效价和其他参与者修改Hoehn & Yahr得分低于入选标准。参与者被筛查合格后60天内VY-AADC01管理和随访管理后36个月。所有与会者都包括在分析中。
安全的结果
VY-AADC01和外科手术耐受超过三年的试验。总共4节约被报道在2参与者,所有这些解决和被调查者评估VY-AADC01无关。正如之前报道的,21参与者经历了肺栓塞和随后的心房纤维性颤动由于深静脉血栓形成(DVT)。研究人员评估了深静脉血栓形成与VY-AADC01无关。深静脉血栓形成被认为是可能归因于固定在手术。术中连续的腿压缩为DVT预防后续手术期间使用,和任何其他AEs的血栓栓塞事件发生在审判。另一个参与者经历2节约的小肠阻塞,发生6天,29个月后VY-AADC01管理。摘要节约和治疗诱发的AEs(流泪)发生在> 2参与者报告表2。大多数事件都是1级或2级(97%),严重程度和考虑无关VY-AADC01 (91%)。最常见的TEAE立即术后头痛,影响整体11参与者(73%)。据报道在4参与者(27%)和运动障碍被认为是在所有4参与者可能相关治疗。每个参与者都仔细监控的发展恶化动作障碍(包括失控的动作障碍),但是在所有情况下,运动困难与剂量减少PD瞬时和解决药物或金刚烷胺的加入。没有参与者由于AEs VY-AADC01后停止评估管理。
VY-AADC01覆盖硬膜和AADC活动的变化
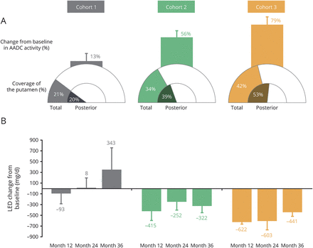
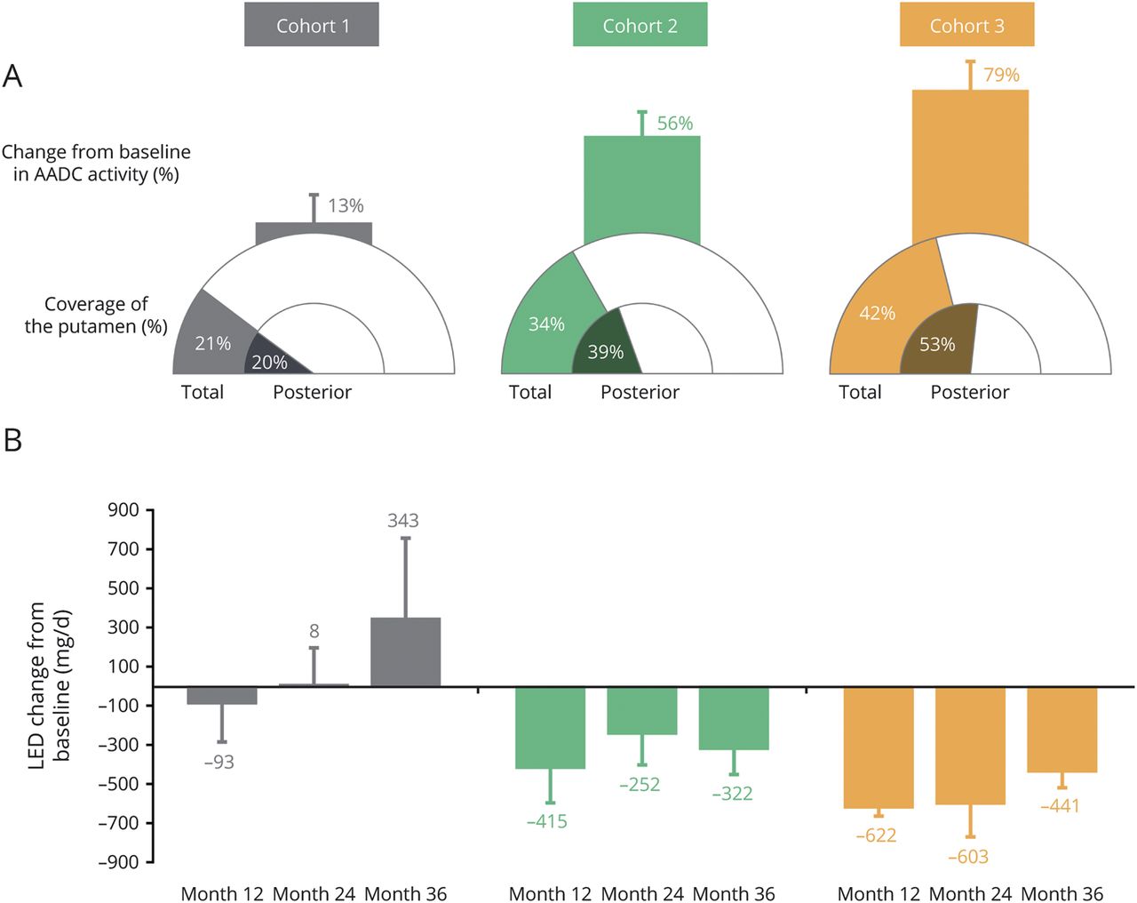
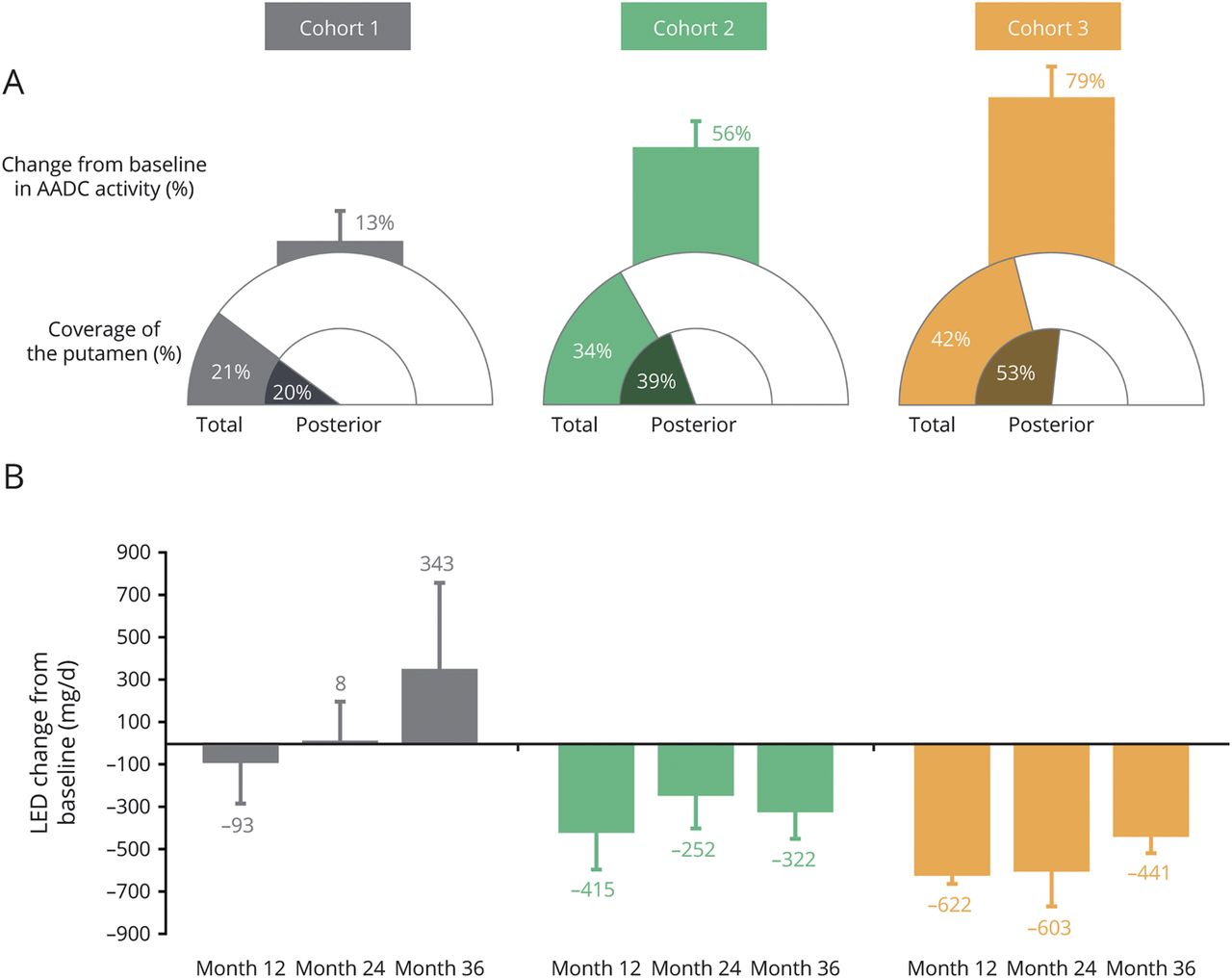
正如之前报道的,2VY-AADC01总硬膜的覆盖率21%±1%,34%±2%和42%±3%组1、2和3,分别。报道preferentially-targeted postcommissural壳为20%±6%,39%±5%和53%±5%,分别为(图2一个)。AADC酶活性的变化18VY-AADC01 F-DOPA宠物5 - 6个月后管理模式存在剂量依赖的相关性,增加为13%±7%,56%±13%和79%±15%组1、2和3,分别为(图2一个)。从基线增加AADC酶活性作为衡量18F-DOPA宠物和总硬膜覆盖率呈正相关。2
(一)覆盖和l胺基酸脱羧酶(AADC)酶活性数据显示平均覆盖率百分比(总硬膜覆盖和后壳覆盖),从基线AADC百分比增加。误差线代表SEM。改变从基线AADC酶活性测定18VY-AADC01 F-DOPA宠物5 - 6个月后管理。作为衡量AADC酶活性的变化18F-DOPA宠物与总硬膜覆盖。(B)等效剂量左旋多巴(LED)从基线在12个月,24和36所示的意思是改变±SEM毫克/天。每日PD药物需求基线的减少军团2和3在整个审判。敏感性分析,排除了参与者在队列1接受脑深部电刺激导致意味着±SEM改变从基线531±465毫克/天月36。
帕金森病药物需求的变化
每日PD药物需求以减少从基线组2和3在整个试验(图2 b)。VY-AADC01后结束试验(36个月),意味着改变了基线的−322±124毫克/天(下降21%)和−441±73毫克/天(下降30%)记录在军团2和3,分别。在队列1中,领导保持稳定在12和24个月,但后来增加了343±406毫克/天(增加23%)高于基线在36个月;不包括数据的参与者接受了DBS导致增加531±465毫克/天从基线。
运动功能的变化,全球的印象,和生活质量
所有其他临床结果稳定或改善的“on”与基线相比,药物和“关闭”药物在所有3军团在这将审判。不包括参与者的数据进行了DBS对报告结果的影响很小。
PD的日记数据所示图3。改善PD日记好”“时间被报道在组1和2年的随访评估,提供3年从基线增加在最后随访2.1±0.6,2.2±1.7小时,分别。群3中有一个改善好”“时间在12个月(1.5±0.5小时),回到基线在24个月(0.3±1.2小时),36个月(0.3±0.7小时)。PD日记”“时间和麻烦的运动障碍和UDysRS总分保持相对稳定,与基线在每个提供试验3组。在36个月,从基线变化PD日记”“时间和麻烦的运动障碍和UDysRS总分在组1中,2和3,分别是−0.4±0.3小时−2.4±3.7点,−0.3±1.3小时和4.4±2.5点,和−0.1±0.6小时和4.0±5.0分。改善PD日记“关闭”时间是所观察到的类似好”“在整个试验时间。具体来说,改善“关闭”被报道在组1和2在12个月(−1.4±0.9小时−2.3±0.6小时,分别),最终通过提供后续维护(−1.7±0.8小时−1.9±0.5小时,分别)。“关闭”的改善时间在群3到12个月(−0.5±0.8小时)是维持在24个月(−0.4±0.7小时)但在36个月回到基线(−0.2±0.9小时)。
归一化数据显示平均小时16小时醒的一天。从基线(CFB)据报道,36个月每个面板的权利。PD日记“关闭”时间和好的”“时间(的总和”“时间没有运动障碍,”“时间与nontroublesome运动障碍(元))从基线稳定或提高整个审判。敏感性分析,排除了参与者在队列1中接受了脑深部电刺激,“关闭”时间和好的”“时间在36个月(平均±SEM) 3.4±1.5小时和12.3±1.6小时,分别。TD =麻烦的运动障碍。
UPDRS三世“关闭”药物分数从基线改善所有军团年度后续评估(图4一)。改善组1、2和3在12个月内保持通过36个月,基线的变化−19.0±3.9点,−12.2±3.3点,和−10.2±4.6点,分别在最后将后续。改进UPDRS III”“药物得分观察组2和3在12个月,提供3年坚持在最后的随访(−7.8±1.6分和−3.8±1.5点,分别;图4 b)。UPDRS III”“药物分数在队列1中仍低,与基准年的随访评估。
(一)“关闭”药物。(B)”在“药物。数据显示±SEM意味着变化点。统一帕金森病评定量表(UPDRS)三世“关”在所有军团在整个试验药物的分数提高,和“on”药物评分改善组2和3在整个审判。敏感性分析,排除了参与者在队列1接受脑深部电刺激导致平均±SEM改变基线−17.3±4.5分(“关闭”药物)和0.8±2.4分(“on”药物)月36。
改善mH&Y阶段(“关闭”药物)在最后提供后续评估14/15的参与者,参与者和1组3没有变化。5在队列1中,参与者与mH&Y第三阶段基线,4参与者改善阶段2和1的参与者在36个月提高至2.5阶段。队列2中所有5参与者改善从mH&Y第三阶段基线在36个月的第二阶段。组3,3参与者mH&Y阶段3和2参与者与第四阶段基线,3参与者改善阶段2和1的参与者提高至2.5阶段。
CGI-I量表分数表示从基线改善所有15个参与者。在36个月,临床医生评价1参与者”很大程度上改善,“11参与者和3参与者“改进,改进最小。“PGI-I量表得分结果类似,表示从基线改进12 15参与者在36个月,1的参与者”很大程度上改善,“10个参与者”大大改善,”和1的参与者“最低限度提高。“三15参与者报告“最低限度糟。”
在队列1中,生活质量评估的PDQ-39总结指数保持稳定,与基准年随访评估(图5)。PDQ-39摘要索引队列2中分数提高整个试验,组3,改善在12和24个月,但在36个月回到基线。
证据的分类
这个试验四级提供证据证明VY-AADC01和相关手术分娩过程是良好的人口40 - 70岁的适度先进PD,并且在2高剂量组(总剂量的1.5×1012vg和4.7×1012vg),稳定或改善临床结果观察以及减少PD药物要求至少3年。
讨论
最后三年的pd - 1101试验的结果表明,VY-AADC01和手术分娩过程是很没有vector-related节约报道。的安全性和耐受性VY-AADC01观察输液量,比之前高出数倍的PD AADC基因治疗试验。5,20.最常见的流泪大多是瞬态的,包括运动困难,解决PD药物剂量减少或增加金刚烷胺。
所有军团显示稳定或改善运动机能,全球变化的印象,整个三年的生活质量。组2和3,稳定或改善与减少领导的观察结果,这可能表明一个响应增加治疗左旋多巴治疗后与VY-AADC01之前报道的左旋多巴注入substudy的审判。21改善运动机能的迹象后VY-AADC01观察跨多个端点。具体来说,PD日记好“上”和“关闭”在组1和2倍提高整个审判,而群3改善在12月之前回到基线在月36。UPDRS三世“关闭”药物和“上”药物得分也从基线在所有军团年度改进后续评估,除了“on”药物得分在队列1中,在整个审判过程中都保持在低位,与基线(注意,UPDRS III的意思是“在”药物队列1中得分为7.6±2.3在基线)。同样,改善mH&Y阶段(“关闭”药物)14/15的最后3年随访观察评估参与者,参与者和1组3保持稳定。重要的是,PD日记”“时间麻烦的运动障碍和UDysRS总分保持相对稳定,与基线的3组,表明缺乏运动障碍增加了3年的审判。临床医生和participant-rated全球变化的印象(CGI-I和PGI-I)分数表示改善100%和80%的参与者,分别和生活质量评估的PDQ-39总结指数表示队列2中改善和稳定在队列1在整个试验中,与一个瞬变的利益群体对基线3返回最终的评估。总的来说,这些结果表明,VY-AADC01可能在适度先进PD提供临床和功能效益。潜在的临床和功能效益应该考虑在研究设计的背景下,这是第1阶段b,打开标签,旨在提供四级证明putaminal注入VY-AADC01适度先进的PD患者的耐受性良好,电机波动和可以提高运动机能,不包括对照组。虚假的surgery-controlled试验需要演示VY-AADC01的强大功效。
的耐久性运动机能稳定或改善整个三年的试验中,与并发导致减少军团2和3,表明一个注入VY-AADC01可能是伴随着增加putaminal AADC酶活性。22符合pd - 1101,持续增加AADC酶活性被描述在之前的1期临床试验报告的增加存在剂量依赖的相关性的AAV2-hAADC AADC核活动,通过4年的随访中,保持22和在临床前非人灵长类动物(额定马力)的一项研究中,这表明治疗AAV2-hAADC酶活性恢复到正常水平和增强行为反应通过8年的随访左旋多巴。23持续增加的主要细胞来源AADC活动额定马力壳被发现中带刺的神经元,23在PD不退化。13AADC表达这些细胞可能为多巴胺生产提供备用路径补充损失在PD黑神经元退化。
硬膜覆盖的水平实现组2和3的pd - 1101(分别为34%和42%)超过硬膜覆盖在队列1中(21%)。类似的模式是AADC活动以观察18F-DOPA宠物(增加56%和79%组2和3,分别对在队列1)增长了13%。与pd - 1101,之前AAV2-hAADC临床试验可能没有实现硬膜覆盖率高于10%∼。12AAV2-hAADC 1期临床试验之前,尽管谦虚AADC的早期临床效益和持续改进活动,持久的临床疗效(> 12个月)没有观察到。5,22的潜在好处实现足够的覆盖率和pd - 1101年AADC活动增强明显在多个临床评估,结果表明改进的基线一般大军团2和3与队列1相比,包括减少领导UPDRS III”“药物得分,和PDQ-39摘要索引。但是,我们之间没有观察到明显的剂量反应组2和3。缺少2高剂量组之间的明显剂量反应可能是由于小数量的参与者,可变性的基线特征(即,cohort 3 had higher baseline mH&Y, UDysRS, and PDQ-39 scale scores, indicating greater overall PD severity than cohort 2), or the possibility of a “ceiling effect,” whereby exceeding the dose required for response does not provide a greater magnitude of benefit.
PD - 1101年之前,上述非盲、1期临床试验研究的影响AAV2-hAADC基因治疗管理的核PD和为期4年的研究。5,22试验证实的安全性和耐受性AAV2-hAADC向量交付给硬膜使用清洁能源,和报道,治疗持续增加AADC整个随访期酶活性。22然而,没有观察,减少了运动功能和好处(总UPDRS”“药物和“关闭”药物分数)出席第一12个月之前恶化。22另一项试验的6个月时间,包括参与者与PD在日本调查AAV2-hAADC管理硬膜和报道的影响良好的安全/耐受性,增加AADC酶活动,适度的运动功能的改善,没有减少。20.尽管这些试验使用不同的手术方法比pd - 1101,低注入量(100µL /壳),总剂量向量(3×1011vg)和目标覆盖率(< 10%)可能扮演了一个角色在有限的功效。12无论是试验装备监控infusate分布在注入评估目标覆盖率和不相干的传播。相比之下,pd - 1101采用创新技术,具体来说,实时MRI-monitored注入,加强套管设计,和进步插管进步注入期间,实现更大的注入量和目标组织覆盖率比先前AAV2-hAADC试验。12其他帕金森病基因治疗试验评估神经营养因子的影响或其他酶(全面审查,看到理查森et al。12)。尽管这些之前试验方法学差异和pd - 1101排除直接比较,之前的一些试验报告长期(> 12个月)临床效益降低了。
DBS是标准疗法用于提高电动机先进PD症状当这些不再充分管理药物。24长期随访的参与者与PD接受GPi或丘脑核DBS报道稳定的改善主要结果的第三UPDRS分数“on”/“关闭”刺激药物相关国家削减了超过36个月。24这些结果似乎类似于有利的pd - 1101运动机能观察并发与减少领导通过3年的随访。
pd - 1101不包括一个对照组,其主要目标是评估的安全性和耐受性AADC基因治疗。虽然有有限的数据对运动损伤的自然进展在适度先进PD帮助说明观察VY-AADC01对运动机能的影响在当前试验,长期扩展疗法的研究设计用于在适度先进PD可以提供洞察在这样的参与者在医疗管理预期的进展。例如,长期扩展levodopa-carbidopa肠凝胶的研究报道初步改进治疗PD的第一年日记“关闭”时间和好的”“时间(∼4小时),维护/∼3年的随访。25然而,UPDRS(总和第三部分药物)和PDQ-39得分恶化甚至导致在后续保持不变或增加。同样,长期研究(罗替戈汀CLEOPATRA-PD和喜欢),通过经皮的多巴胺受体激动剂管理交付系统,报告初步改善第二和第三UPDRS分数5 -七周剂量滴定期间参与者拥有先进PD,然后在随后的三年稳步下降保养周期,增加∼40% - -100%。26这些发现,再加上mH&Y恶化阶段成绩,建议继续疾病进展的两项研究尽管继续药物治疗。在pd - 1101,稳定或改善临床医生participant-reported结果观察,以及减少领导2高剂量组,在类似的3年期间。虽然这些PD - 1101结果表明潜在的长期临床效益VY-AADC01单一管理后,一个虚假的手术对照试验需要提供一个健壮的治疗的有效性的评估考虑到前面药物和手术试验中观察到的安慰剂效应在PD。7,27
pd - 1101试验支持VY-AADC01临床的长期安全性和潜在的持久性影响后一个政府。没有报道和临床结果vector-related节约运动功能和生活质量的稳定或改善整个3年试验持续时间在PD人口在这个时期会下降。pd - 1101以及同伴substudy静脉注射左旋多巴反应21第二,持续开放1 b阶段试验(pd - 1102,NCT03065192),28表明AAV2-hAADC基因治疗PD患者可能带来有意义的好处。
研究资金
金融支持这项试验和试验材料提供的迈克尔·j·福克斯基金会,旅行者疗法,Inc .)和神经内分泌的生物科学有限公司
信息披露
漫画克里斯汀已经收到机构研究旅行者的支持疗法,神经内分泌的生物科学,迈克尔·j·福克斯基金会和大脑神经病治疗生物。.理查德森已收到机构研究旅行者的支持疗法和咨询费或酬金旅行者治疗和神经内分泌的生物科学。公元Laar货车已收到机构研究支持和旅游“航行者”号的支持疗法。她是一个员工大脑神经病治疗生物和已收到咨询费和旅行的支持大脑神经病治疗生物。主机汤普森已经收到了来自旅行者机构研究支持疗法,大脑神经病治疗生物,和UniQure旅游“航行者”号的支持疗法。Drs哈、李和迈耶是全职员工旅行者疗法在旅行者疗法并持有股票或股票期权。E.M.好是旅行者的前雇员疗法。她身上哈瓦是一个董事会成员Korro生物和Pureos Bioventures和已收到咨询费维科疗法作为科学顾问委员会成员。9梁和罗伯茨已经全职员工的神经内分泌的生物科学和神经内分泌的生物科学持有股票或股票期权。马丁Pfau和jr罗德曼ApotheCom的员工,提供编辑和写作发表支持这个功能,它是由神经内分泌的生物科学。 K.S. Bankiewicz has received institutional research support from the National Institute of Neurologic Disorders and Stroke and the Michael J. Fox Foundation and receives consulting fees from AskBio. P.S. Larson has received institutional research support from the Michael J. Fox Foundation, Voyager Therapeutics, Neurocrine Biosciences, and Brain Neurotherapy Bio and consulting fees or honoraria from Sio Gene Therapies, Aspen Neuroscience, and Cellular Dynamics. Go to首页Neurology.org/N为充分披露。
承认
作者感谢帕金森患者及其家属参与这个试验,以及试验支持团队,凯尔·b·赫伯特和帕特里夏·波特研究支持和协调。
附录的作者
脚注
去首页Neurology.org/N为充分披露。资金信息和披露认为作者相关的,如果有的话,年底提供这篇文章。
这篇文章加工费由ApotheCom资助。
类的证据:NPub.org/coe
- 收到了2021年3月5日。
- 接受的最终形式2021年10月4日。
- 版权©2021年作者(年代)。发表的Wolters Kluwer健康,公司代表美国神经病学学会。首页
这是一个开放的分布式根据文章Creative Commons Attribution-NonCommercial-NoDerivatives许可证4.0 (CC BY-NC-ND),它允许下载和共享工作提供适当的引用。不能改变的工作以任何方式或使用未经许可的商业杂志。
引用
- 1。↵
- 2。↵
- 3所示。↵
- 4所示。↵
- 5。↵
- 6。↵
- SudhakarV,
- 理查森RM
- 7所示。↵
- 8。↵
- 9。↵
- 10。↵
- 11。↵
- 12。↵
- 13。↵
- 14。↵
- 斯图尔特沪江,
- 拉尔夫GS,
- Fong-Wongl,等
- 15。↵
- 16。↵
- 17所示。↵
- 18岁。↵
- 19所示。↵
- 20.↵
- 21。↵
- 纳特詹,
- CurtzeC,
- 希勒一个,等
- 22。↵
- 23。↵
- 24。↵
- 25。↵
- 费尔南德斯HH,
- 博伊德JT,
- 冯VSC,等
- 26岁。↵
- LeWitt巴勒斯坦权力机构,
- BoroojerdiB,
- SurmannE,
- PoeweW
- 27。↵
- 28。↵
- 因素年代,
- Laar范一个,
- 理查森R,et al。
信:快速的网络通信
-
作者回复:安全适度先进AADC基因治疗的帕金森病:三年的结果
- 查德威克W克里斯汀,神经学家,加州大学旧金山分校
- r标志理查森,神经外科医生,马萨诸塞州总医院和哈佛医学院
- 琥珀色的Laar范,神经学家,AskBio
- 伊丽莎白米细,科学家,Affinia疗法。
- 奥马尔年代在哈,首席医疗官,VectivBio
- 优雅的年代梁,神经学家,神经内分泌的生物科学
- KrystofBankiewicz,Scientiest,加州大学旧金山分校
- 保罗年代拉森,神经外科医生,亚利桑那大学和亚利桑那南部弗吉尼亚州医疗保健系统
2022年3月14日提交 -
作者回复:安全适度先进AADC基因治疗的帕金森病:三年从pd - 1101试验结果
- 查德威克W克里斯汀,神经学家,加州大学旧金山分校
- r标志理查森,神经外科医生,马萨诸塞州总医院和哈佛医学院
- 伊丽莎白米细,科学家,高级主管、医疗通讯和外联Affinia疗法
- 奥马尔。哈瓦医学博士,神经学家,首席医疗官VectivBio
- 格蕾丝。梁,神经学家,神经内分泌的临床开发副总裁生物科学
- 安德烈亚斯迈耶,神经学家,“航行者”号疗法临床开发副总裁
- Eiry W。罗伯茨,首席医疗官,神经内分泌的生物科学的首席医疗官
- Krystof马里兰州Bankiewicz博士,科学家,加州大学旧金山分校的神经外科教授
- 保罗年代拉尔森博士,神经外科医生,亚利桑那大学神经外科教授和临床神经外科主任亚利桑那州南部弗吉尼亚州健康C
2022年3月2日提交 -
读者反应:安全AADC基因治疗中度高级帕金森病:三年从pd - 1101试验结果
- Jose-Alberto帕尔马,神经学副教授首页,纽约大学的格罗斯曼医学院
2022年1月29日提交 -
读者反应:安全AADC基因治疗中度高级帕金森病:三年从pd - 1101试验结果
- 联合国荣格康,教授,纽约大学格罗斯曼医学院
- 肯中村,副教授,加州大学旧金山分校和格莱斯顿学院
- 小希壮族,教授,芝加哥大学
2022年1月19日提交


