协会的体重的下降与颅内压减肥手术后女性特发性颅内高血压
做出评论
看到评论
文摘
背景和目标特发性颅内高血压体重随机对照试验(颅内高压症:WT)建立了,减肥减肥手术显著降低颅内压与社区相比体重管理干预。这substudy旨在评估所需的减肥降低颅内压和探索不同的减肥手术方法的效果。
方法颅内高压症:WT是一个多中心随机对照试验。成年女性与活跃的特发性颅内高血压和体重指数≥35公斤/ m2被随机分配减肥手术或社区体重管理干预(1:1)。按方案分析评价颅内压力之间的关系,减肥,减肥方法。线性分层回归模型被用来适应审判结果,调整时间,治疗的手臂,和体重。
结果六十六妇女被包括,其中23日收到由12个月减肥手术;8.7的平均年龄是31 (SD)年减肥手术小组和33.2(标准差7.4)年饮食组。两组基线体重和颅内压相似的平均体重119.5(标准差24.1)和117.9 (SD) 19.5公斤,腰椎穿刺的开启压力34.4(标准差6.3)和34.9(标准差5.3)cmCSF减肥手术和饮食组,分别。减肥能显著降低颅内压(R2= 0.4734,p≤0.0001)。24的百分比减肥(减肥13.3公斤(标准差1.76))与疾病缓解(颅内压(ICP)≤25 cmCSF)。roux - en - y胃旁路手术取得了更大、更迅速和持续的降低ICP与其他方法相比。
讨论体重越大,越大降低ICP记录。二十四个减肥的百分比与疾病缓解。这样的减肥不太可能实现没有减肥手术,因此,考虑推荐减肥手术项目早期那些活跃的特发性颅内高血压可能是合适的。
试验注册ClinicalTrials.gov标识符:NCT02124486;ISRCTN注册号码ISRCTN40152829;doi.org/10.1186/ISRCTN40152829。
证据的分类本研究二类提供证据证明减肥减肥手术后结果在降低颅内压成年女性特发性颅内高血压。本研究II级,因为使用按方案分析。
术语表
- 身体质量指数=
- 身体质量指数;
- 证照=
- 社区体重管理干预;
- HIT-6=
- 头痛影响测试6;
- ICP=
- 颅内压;
- 颅内高压症=
- 特发性颅内高血压;
- RYGB=
- roux - en - y胃旁路手术;
- WT=
- 重试验
特发性颅内高血压(IIH)的特点是提高了颅内压(ICP)导致慢性头痛和视神经乳头水肿与永久性视力丧失的风险。1,- - - - - -,3颅内高压症前几十年的发病率和患病率增加了,4,- - - - - -,6与全球肥胖流行病。7
适度的体重增加(大约5%的人患有肥胖)与风险增加发展中颅内高压症有关,和那些没有肥胖,最近体重增加的风险。8,9在身体质量指数(BMI) 30公斤/ m的阈值2,这种疾病的发病率呈指数级增加随着BMI的增加。5增加体重,特别是内脏肥胖,驱动的疾病。10,11最近的研究表明,颅内高压症代谢基础,与颅内高压症和专利已被证明具有独特的雄激素签名相同性别的人相比,年龄和体重。12,- - - - - -,14颅内高压症患者更有可能有胰岛素抵抗和hyperleptinemia与匹配控制。15颅内高压症脂肪有不同的转录概况与匹配控制相比,这容易使他们脂解作用和体重增加。此外,在颅内高压症患者脂肪组织代谢差基质利用符合组织准备脂解作用和体重增加。15
减肥是一个有效的治疗颅内高压症,减少体重的3%和15%之间诱导疾病缓解,定义为ICP正常化和视神经乳头水肿决议。16,17然而,保持减肥是具有挑战性的,一般来说,体重将恢复在2 - 5年时间。18对于那些颅内高压症,这可能导致多个复发,视力丧失和慢性头痛的风险。8,15,19持续减肥颅内高压症因此有必要修改疾病和预防复发。1,19然而,所需的减肥降低ICP尚未建立,一直强调知识差距与直接的临床意义。20.
IIH:体重试验(颅内高压症:WT)是第一个随机临床试验来评估减肥手术的疗效与体重管理社区干预颅内高压症患者活跃。21降低ICP、疾病缓解和优质生活的结果在2年被报道与社区相比体重管理干预(地板)。22颅内高压症的目的按方案分析:WT是评估所需的减肥降低ICP,调查是否有减肥手术方法之间的区别。
方法
颅内高压症:WT是一个5年随机控制,与这些相应平行的组织多中心试验。20.颅内高压症:WT招募参与者在5英国国民健康服务(NHS)医院2014年7月25日至2017年5月25日。试验协议详细的纳入和排除标准,那些怀孕或计划怀孕过程中试验被排除在外。21样本大小的计算和注意事项、随机化方法和结果已经公布的措施。21,22书面知情同意了所有的参与者(或监护人的参与者)的研究。女性年龄在18岁到55岁,体重指数≥35公斤/ m2,他没有失去或维持体重,和活跃的颅内高压症的临床诊断23被随机分配到一个1:1比例WeightWatchers,所选的地板,或减肥手术途径,使用或不使用分层的乙酰唑胺。然而,并不是每个人都接受了他们的治疗分配。这个按方案进行分析主要结果作为计划的一部分,二次分析。6参与手术的手臂没有接受减肥手术基于个人的选择,在医学上,没有参与者拒绝手术。按方案分析人口被定义为参与者的减肥手术的胳膊做了手术随机化后的12个月内体重和饮食管理部门参与者并没有接受减肥手术的12个月。
通过腰椎穿刺结果衡量措施包括ICP开启压力;人体测量学;和周长的平均偏差使用汉弗莱24-2瑞典中央阈值自动视野测量交互式阈值算法。视神经肿胀是评估使用光谱域光学相干断层扫描(Spectralis,海德堡工程)使用全球视神经盘旁视网膜神经纤维层厚度和盘卷中央厚度测量。头痛是评估使用头痛影响测试6障碍问卷(HIT-6),严重程度评分(数字评定量表0到10最大)和频率(天/月)。分析完成对接收的数据只有当是尽一切努力追踪参与者,即使违反协议,以减少潜在的偏见。评估包括基线,2周(仅对那些在减肥手术的手臂),12个月和24个月。这项研究出版协议和统计分析计划。21
统计分析
统计分析了在R v3.6.3 (R统计计算的基础,奥地利)。数据被报道与平均值和SD(非正态数据的中间值和范围)和95%的CIs在适当的地方。缺失的数据没有估算。统计学意义是由普通1路的方差分析与图基多个对比测试(均值和SEM)。分层线性回归模型来分析重复测量的主要和次要结果和预测的差异调整基线值。在这些模型中,群体效应(也称为固定作用)组成拦截,时间作为一个因素变量和治疗的双向互动的手臂和时间作为因素变量模型随时间变化的治疗效果。组级别的影响(也称为随机效应)由患者的立场调整拦截。统计学意义的阈值判断p= 0.05。
数据可用性
个人参与者的数据匿名化后,可以使用,随着研究协议,统计分析计划,同意表格。合理的请求,数据开始在12个月结束后3年出版这篇文章将提供给研究人员提出的使用批准的数据是原始研究的首席研究员。建议应该相应的作者和请求者将需要签署一份数据访问协议。
标准协议的审批、登记和病人同意
伦理许可IIH: WT获得国家研究伦理委员会西米德兰兹郡(14 / WM / 0011)。这次审判是注册ClinicalTrials.gov(标识符:NCT02124486)和ISRCTN(注册号码ISRCTN40152829;doi.org/10.1186/ISRCTN40152829)。从所有参与者获得书面知情同意。所有必要的病人/参与者取得同意,和适当的机构形式存档。
结果
六十六妇女被招募。研究人口经历了活动性疾病,意味着ICP的32.5(标准差7.8)cmCSF (表1)。在这个计划按方案分析,20做过减肥手术的妇女相比,在12个月内收到43人生活方式的体重管理的建议(通过WeightWatchers或作为减肥手术通路的一部分)。在基线,18 66人服用乙酰唑胺;12个月,1例在减肥手术的手臂仍每日服用500毫克和8的43岁仍在乙酰唑胺(平均剂量844毫克(标准差498.9))。在12和24个月,体重和体重指数降低减肥手术组大于在饮食体重管理集团(eTables 1和2,links.lww.com/WNL/C169)。重量百分比的变化和过度减肥的百分比,均值之间的差异(SEM) (95% CI)那些接受手术和那些没有接受手术在12个月内−18.3% (1.9);(−22.1−14.6),p< 0.001 (图1)和−46.4% (4.9);(−56.1−36.7),p分别为< 0.001。24个月的结果相似:−23.6% (2.1);(−27.8−19.4),p< 0.001−61.6% (5.5);(−72.3−50.8),p分别为< 0.001,最大的变化在那些接受减肥手术(图1)。
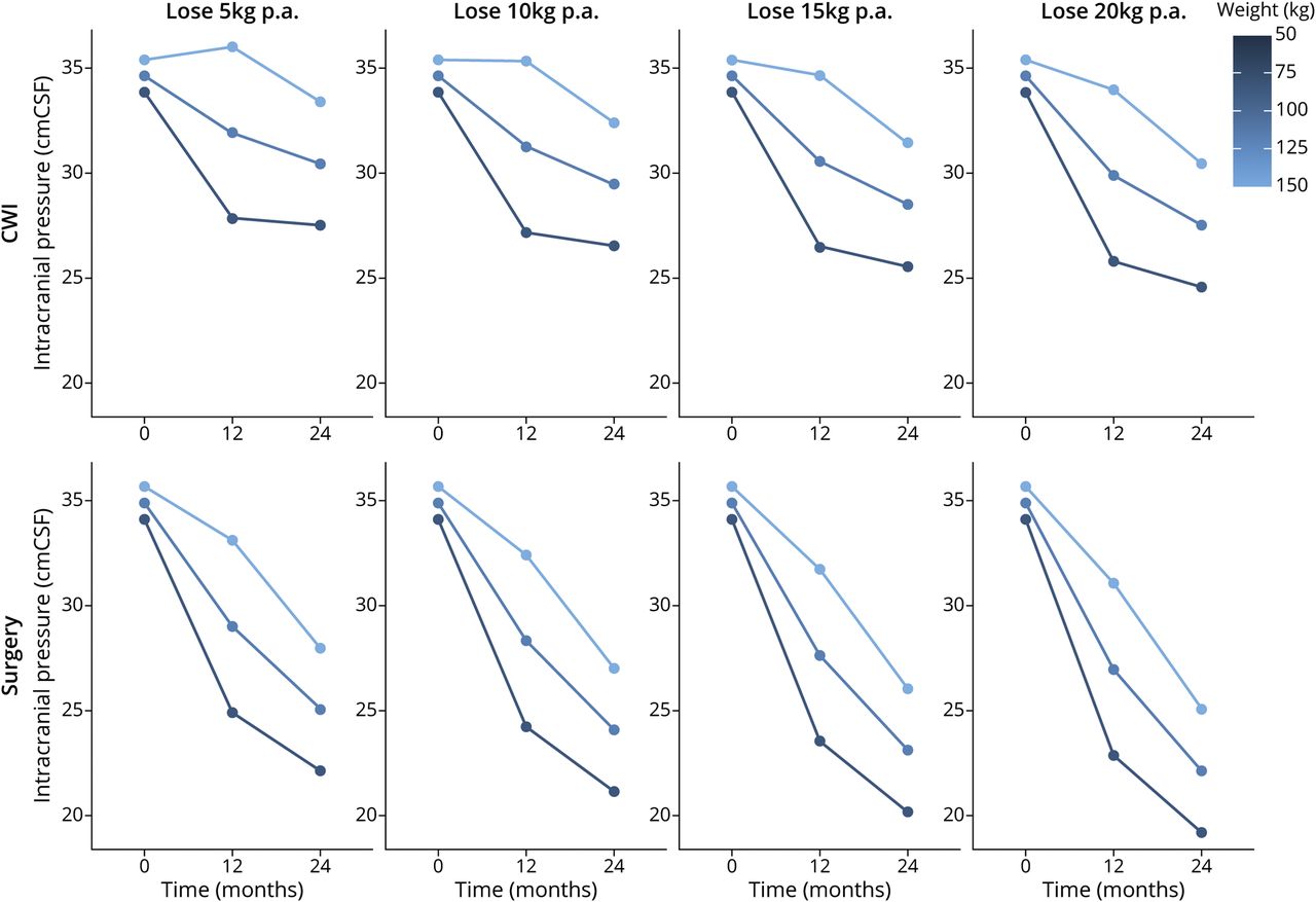
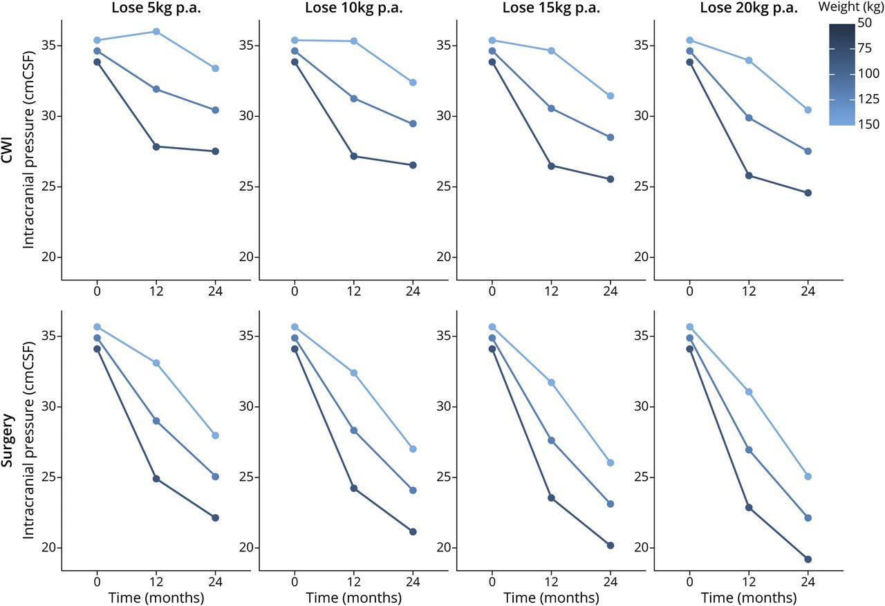
(A, B)线性回归分析策划改变体重对ICP postbaseline 12和24个月的变化。(C, D) ICP患者水平的分类根据百分比和绝对减肥基线测量以来的12个月。红色虚线表示特发性颅内高血压诊断阈值的ICP > 25 cmCSF。数据意味着±SEM。统计学意义是由普通方法与图基多个方差分析比较测试。证照=社区体重管理干预;ICP =颅内压。
相关分析表明,在总研究人口,减少体重显著相关,降低ICP 12和24个月(R2= 0.47,p< 0.0001和R2= 0.45,p分别为< 0.0001)(图2中,A和B)。进一步了解这种关系的体重变化和ICP水平,减肥的结果总结了ICP类别(表2),ICP结果综述了减肥类(表3)。只有那些在减肥手术的手臂设法实现足够的体重(公斤),导致下降的ICP IIH诊断阈值以下的ICP≤25 cmCSF (图2中,C和D;表3)。平均体重所需的ICP≤25 cmCSF 12个月是−13.3公斤(1.76)(体重下降了24%)(表2)。对ICP≤30 cmCSF,意思是减肥−9.94公斤(1.34)(重量减少18%)(图2;表2)。增加减肥授予ICP比例更大的下降(5%减肥导致ICP (−4.1 cmCSF)减少10%,10%减肥导致ICP (−4.4 cmCSF)减少14%,26%和20%的减肥导致(−10.2 cmCSF)降低ICP) (表3)。
饮食和手术的百分比变化组在基线,12个月,体重(A)和24个月的时间点;(B)颅内压;(C)视神经乳头水肿体积以10月中央厚度;(D)每月头痛天;(E)头痛严重程度;和(F) HIT-6分数;数据意味着±SEM。统计学意义是由按照按方案层次回归建模分析。* * *p< 0.001。证照=社区体重管理干预;HIT-6 =头痛影响测试6;ICP =颅内压;10月=光学相干断层扫描。
ICP和体重之间的关系变化层次模型来进一步探索符合试验结果,调整时间,干预,同时从减肥体重预测预期ICP值。这个建模表明,更大的降低ICP与更大的减肥(预测图3)。对ICP的影响进一步提高12到24个月当参与者继续减肥。预期ICP值达到或越过阈值正常,2年内25 cmcsf,模型预测患者基线体重150公斤必须被分配到手术的胳膊,取得了110公斤的重量。这个预测建模表明,那些有更高的体重开始需要减去更多的体重显著降低ICP。这个模型还表明,在饮食的手臂,如果没有达到减肥或少在那些高基线体重,ICP预计将增加(图3)。
预期的ICP值预测的一个层次模型适合审判结果,调整时间,干预,同时代的重量。证照=社区体重管理干预;ICP =颅内压;每年年利。=。
roux - en - y胃旁路手术(RYGB)是最常见的手术(n = 13)执行,被证明是最成功的减肥方法,与胃带相比,胃袖,和饮食干预,在12个月的记录减少−34.9公斤从基线(调整后的平均差[95%可信区间]:−34.9 (−40.0−29.8);p< 0.001)(eTable 3,links.lww.com/WNL/C169)。效果增加意味着−42.5公斤的体重之间的基线和24个月(平均差调整[95%可信区间]:−42.5 (−47.9−37.1);p< 0.001)。(eTable 4) 12和24个月,ICP的减少饮食中的减肥手术组大于体重管理集团(p< 0.001)(eTable 5;图1)。ICP的手臂减肥手术2周时间均表明,意味着ICP (SD)从34.7下降(5.7)cmCSF从基线值的26.9 (8.1)cmCSF (p< 0.001)。22RYGB记录最大的降低ICP的调整差异ICP−14.4 cmCSF之间基线和12个月(平均差调整[95%可信区间]:−14.4 (−18.1−10.7);p< 0.001)(eTable 3)。在24个月ICP记录进一步下降(图1 b)与基线之间的区别和24个月17.5−2.0 (SD) cmCSF RYGB-adjusted差异;(调整后的平均差[95%可信区间]:−21.4−13.6;p< 0.001)(eTable 3)。
视神经乳头水肿和显著减少头痛的结果观察手术方法,受益最大的RYGB (eTable 3,links.lww.com/WNL/C169)。RYGB优于饮食体重管理与视神经乳头水肿显著减少12和24个月,以视神经头体积中心厚度,p< 0.01和p< 0.04分别(eTable 5;图1)。每月有显著减少头痛的日子在12个月(p< 0.05)(eTable 5;图1),但是没有差别在12或24个月头痛严重程度评分(eTable 5;图1)。头痛的百分比变化冲击试验(打击)6分在12(2之间的重要武器p= 0.019)和24个月(p= 0.003)(eTable 5;图1)。
本研究工业联合会提供的证据表明,减肥减肥手术后结果在降低颅内压成年女性特发性颅内高血压。本研究II级,因为使用按方案分析。
讨论
在这个颅内高压症按方案分析:WT,我们演示了减肥的程度是直接相关的,并预测,降低ICP。在女性主动颅内高压症和体重指数> 35公斤/米2所需的减肥,规范化水平的ICP≤25 cmCSF基线体重的24%。为了实现这一点,一般都要求病人分配到减肥手术的手臂。RYGB优越的减肥过程,降低ICP,在视神经乳头水肿和改进措施和头痛与其他手术结果相比。
这一分析表明,更大的减肥会导致更多的降低ICP,这可能并不奇怪,考虑到以前的医学文献链接肥胖和颅内高压症。5,8,9在先前的研究中,一个低能量饮食(≤425千卡/ d) 3个月诱导15%显著减肥和降低ICP (CSF平均8.0(标准差4.2)厘米,p< 0.001)。在这项研究中,视神经乳头水肿和视觉功能的改善和减少头痛频率和严重程度与相应的止痛剂使用。17然而,所需的减肥正常化ICP(即。,来a level of or less than 25 cmCSF) had not previously been established. In the IIH:WT, there was a significant difference in the primary outcome of ICP at 12 months in those who underwent bariatric surgery, when compared with the dietary intervention, with an enduring effect at 24 months.22当试验结果从所有参与者建模研究(图3),这表明更大的降低ICP预测更多的减肥。那些拥有更高的体重开始需要减去更多的体重显著降低ICP。模型表明,饮食组,如果没有达到减肥或少在那些高基线体重,ICP预计将增加。因此,当暴露的女性应该谨慎的颅内高压症重复生活方式干预,鉴于复发的疾病的风险和潜在的复合作用对视神经健康反复急性视神经乳头水肿。穿过ICP腰椎穿刺开启压力阈值≤25 cmCSF减肥方案,模型预测,分配到需要减肥手术途径。因此,临床医生应该低阈值对减肥手术服务的引用,而不是延迟减肥治疗强化那些无法获得足够的减肥之前或体重反弹。此外,重要的是要考虑减肥的效果超出了直接颅内高压症的结果。我们先前已经显示颅内高压症患者有增加心血管疾病的风险比女性BMI相似。5先前的研究表明,减肥手术与心血管疾病和死亡率减少肥胖患者。24这进一步强调的重要性不是推迟不必要的减肥手术与颅内高压症女性。
值得注意的是,在术后2周,显著减少ICP。这是符合其他研究显示,快速改善肥胖并发症减肥手术后3 - 4周内,特别是2型糖尿病。25有多种可能的机制支撑这样的快速改善ICP包括手术前肝脏收缩低卡路里饮食,减肥,胃旁路手术后发生的肠道激素的变化和套筒胃切除术。我们组曾表明glp - 1在降低ICP受体激动剂的潜在作用;因此,这可能是一个可能的机制在病人RYGB或套筒胃切除术,考虑影响GLP-1水平。24,26,27减少的机制可能是争论的影响体重的下降在围手术期处理,直接从肠道代谢效应神经肽在脉络丛和他们的行动,或两者的结合。明确的是,对于那些需要一个更有利的降低ICP,减肥手术可能是一种急性的治疗选择与颅内高压症一些医疗保健设置。11
有几个局限性的分析,包括少量的减肥手术类型,虽然我们与RYGB提出了有利的结果,不应推荐了另一个特定类型的手术,因为这需要进一步调查。可能是重要的,那些没有接受手术有两种类型的体重管理项目,一个是慧俪轻体在减肥手术和其他项目,这可能影响研究结果在这个组,与医院更结构化的体重管理计划。另外,当考虑减肥手术作为颅内高压症的治疗选择,它可能不是适合每个人。我们建议谨慎咨询专家讨论的副作用,一生的改变,永久的手术。
虽然减肥手术在颅内高压症:WT前期成本高,28这是更具成本效益的随着时间的推移,省钱和提高生活质量,5 - 10 - 15年时间范围考虑。29日这种分析提供了进一步的证据,考虑不同类型的减肥方法,减肥手术支持作为一个管理选项在活跃的女性被认为是颅内高压症。减肥手术过程不同他们的减肥结果影响肥胖并发症和减肥。不幸的是,我们的研究由于过于小,以确定哪些过程对颅内高压症的女性是最好的。然而,我们发现RYGB导致更大的体重与文献一致。30.哪个过程执行的选择应该基于一个共享病人和医生之间的决策过程,考虑到潜在的利益,危害,如果存在任何并发症。
在女性主动颅内高压症和体重指数> 35公斤/米2所需的减肥,规范化水平的ICP≤25 cmCSF基线体重的24%。这是不太可能仅通过饮食干预,并尽早安排应考虑减肥手术途径。
研究资金
A.J.辛克莱是由国家卫生研究所(NIHR)临床科学家奖学金(NIHR - cs - 011 - 028)和医学研究委员会,英国(先生/ K015184/1)持续时间的研究。
信息披露
……Mollan报告来自海德堡Invex疗法和其他工程在进行研究的;其他从Chugai-Roche有限公司,詹森,Santhera,爱力根,Santen,罗氏,Neurodiem,外提交工作;嗜Tahrani报告拨款,个人费用,和旅行赛诺菲的支持,资助,个人费用,和教育活动从诺和诺德公司拨款,支持默克夏普和Dohme旅行,个人费用和旅行勃林格殷格翰集团的支持,个人费用从礼来公司,阿斯利康,百时美施贵宝,詹森,设备和旅游ResMed的支持,设备从飞利浦Resporinics Impeto医疗、和二甲胂酸医疗技术,从Napp赠款和非金融支持,设备和支持人员BHR制药有限公司,目前是诺和诺德公司的员工。这项工作之前执行嗜Tahrani成为诺和诺德公司员工和诺和诺德公司没有参与这项研究。k·布洛克报告其他Invex疗法进行研究;其他来自阿斯利康、葛兰素史克、礼来和默克公司在提交工作;大肠Frew资助勇宁制药报告;A.J.辛克莱报告个人费用Invex疗法在研究行为和股票期权和股份。所有其他作者报告没有相关的信息披露。 Go to首页Neurology.org/N为充分披露。
承认
作者承认NIHR临床研究的支持网络和威康信托基金会临床研究设施、颅内高压症:WT,执行的其他成员减肥手术通路保罗先生超级FRCS和马科斯Daskalakis先生。博士FRCS减肥外科医生(顾问),助理教授莎莉阿伯特研究硕士(专业减肥营养师),和娜塔莎·罗宾逊女士(减肥途径协调)。
附录的作者
脚注
去首页Neurology.org/N为充分披露。资金信息和披露认为作者相关的,如果有的话,年底提供这篇文章。
这篇文章加工费由NIHR(英国)。
↵*这些作者co-first作者。
提交和外部同行评议。处理编辑丽贝卡·伯奇,MD。
编辑、页面451年
类的证据:NPub.org/coe
CME过程:NPub.org/cmelist
188bet官网app网址播客:NPub.org/188bet官网app网址Podcast9835
- 收到了2021年9月10日。
- 接受的最终形式2022年4月22日。
- 版权©2022年作者(年代)。发表的Wolters Kluwer健康,公司代表美国神经病学学会。首页
这是一个开放的分布式根据文章知识共享归属许可4.0 (CC),它允许无限制的使用、分配和复制在任何媒介,提供最初的工作是正确引用。
引用
- 1。↵
- 2。↵
- 3所示。↵
- 4所示。↵
- 5。↵
- Adderley新泽西,
- 萨勃拉曼尼亚一个,
- NirantharakumarK,等
- 6。↵
- 7所示。↵
- 8。↵
- 9。↵
- 10。↵
- 11。↵
- 12。↵
- 13。↵
- 14。↵
- O ' reilly兆瓦,
- 韦斯特盖特CS,
- 霍恩比C,等
- 15。↵
- 韦斯特盖特CS,
- Botfield高频,
- AlimajstorovicZ,等
- 16。↵
- 17所示。↵
- 18岁。↵
- 19所示。↵
- 霍夫曼J,
- MollanSP,
- PaemeleireK,
- 你说C,
- 詹森RH,
- 辛克莱AJ
- 20.↵
- 21。↵
- 22。↵
- 23。↵
- 24。↵
- 威尔逊R,
- Aminian一个,
- TahraniAA
- 25。↵
- 26岁。↵
- 27。↵
- 米切尔J,
- 沃克J,
- 里昂H,等
- 28。↵
- •阿吉亚尔米,
- FrewE,
- MollanSP,等
- 29。↵
- 艾略特l,
- FrewE,
- MollanSP,等
- 30.↵
- 常上海,
- 斯托尔阴极射线管,
- 首歌J,
- 万利拉我,
- EagonCJ,
- 科迪兹遗传算法
信:快速的网络通信
-
作者回复:协会的体重的下降与颅内压减肥手术后女性特发性颅内高血压
- 苏珊PMollan,顾问Neuro-Ophthalmologist,英国伯明翰大学医院NHS信托基金会
- 亚历克斯·J辛克莱,临床医师科学家,伯明翰大学
2022年12月03,提交 -
作者回复:协会的体重的下降与颅内压减肥手术后女性特发性颅内高血压
- 苏珊PMollan,顾问Neuro-Ophthalmologist,伯明翰大学医院NHS信托
- 亚历克斯·J辛克莱,临床医师科学家,伯明翰大学
2022年11月30日提交 -
读者反应:协会的体重的下降与颅内压减肥手术后女性特发性颅内高血压
- 史蒂芬·R。布伦纳,退休的神经学家,圣路易斯大学神经学退休首页
2022年10月26日提交 -
读者反应:协会的体重的下降与颅内压减肥手术后女性特发性颅内高血压
- 谢尔比Ramsamy,首页神经病学注册,女王医疗中心
- 苏密特Singhal,首页神经病学顾问,女王医疗中心
- Rupa帕特尔,眼科学顾问,女王医疗中心
- 安娜米格伦,眼科学顾问,女王医疗中心
2022年10月14日提交


