帕金森病预测死亡率?
未来的以人群为基础的长期研究
文摘
摘要目的:识别死亡率的独立危险因素以社区为基础的帕金森病(PD)在未来的长期随访队列。
方法:以社区为基础的普遍的样本230 PD患者从挪威西南部又前瞻性与重复的评估汽车和nonmotor症状从1993年到2005年。信息至关重要的地位,直至2009年10月20日,来自挪威的国家人口登记。Cox比例风险模型被应用于确定后续期间死亡率的独立预测因子。实足年龄,统一帕金森病评定量表(UPDRS)电动机得分,左旋多巴等效剂量,可能REM睡眠行为障碍的精神病症状,老年痴呆症,和使用抗精神病药物包括时间变量,并且发病年龄(氧化铝)和性长期有效的变量。
结果:230患者中,211(92%)的人在研究期间去世。从电动机出现平均存活时间是15.8年(范围2.2 - -36.6)。死亡率的独立预测因子在随访中阳极氧化铝(风险比为1.40(人力资源)10年增加,p= 0.029),实足年龄(HR 1.51 10年增加,p= 0.043),男性(HR 1.63,p= 0.001),UPDRS运动评分(HR 1.18增加10分,p< 0.001)、精神病症状(HR 1.45,p= 0.039),和痴呆(HR 1.89,p= 0.001)。
结论:这以人群为基础的长期研究表明,除了氧化铝,实足年龄,电机严重程度,和痴呆,精神病症状独立预测PD的死亡率增加。相比之下,没有明显的抗精神病药物或抗帕金森病的药物对生存的影响是我们PD组中观察到。汽车发展和发展的早期预防精神病和痴呆可能是最有前途的策略在PD增加寿命。
预期寿命减少帕金森病(PD)与普通人群相比,1独立于并存病,2这表明疾病特性是那些在PD占死亡率增加。有一个相当大的过程中个人间异质性相关的电机和nonmotor症状和死亡。死亡率的风险因素的识别PD是宝贵的卫生保健计划,并注意功能的更好的治疗可能最重要的临床后果,包括长期生存。
大多数以前的研究对死亡率的危险因素在PD依靠选择而不是代表军团,有限范围的潜在的预测评估或包含在生存分析,临床观察或短时间限制在疾病早期阶段。长期的临床随访,然而,当评估死亡率预测PD很重要,由于其缓慢渐进性质和因为死亡率随疾病持续时间,3一样的诊断准确性。4此外,药物治疗,以及众多的存在和严重性电动机和nonmotor特性通过疾病过程可能有所不同。统计模型应该考虑这种差异,年龄的影响,随着老化与许多透析相关特性和死亡的风险。最后,目前尚不清楚是否nonmotor特性像精神病症状和REM睡眠行为障碍(RBD),或抗精神病药物,已与死亡率增加有关阿尔茨海默病(AD),5可能会影响在PD生存。
在此背景下,我们评估生存和相关危险因素临床特征明显,人口基数与PD未来的长期随访。
方法
研究人口。
斯塔万格帕金森项目于1993年启动的人群患病率研究PD和扩展与潜在的长期随访的病人同意参与。病人招聘细节已经公布。6总之,∼400受试者通过医院确定文件和所有可用的资源在社区和来筛选由经验丰富的运动障碍专家在1993年,245名患者被诊断出患有帕金森病诊断标准根据出版。7其中有6例拒绝参加研究或死亡在预定基准考试日期之前。进一步7受试者随访期间门诊和排除在外,作为PD前2者有精神病。因此,230例PD的诊断在整个研究期间都有资格保持不变。迄今为止,注册的子组(n = 27)患者进行尸体解剖。在所有这些,PD的临床诊断神经病理证实。
标准协议的审批、登记和病人同意。
批准的斯塔万格帕金森项目区域委员会医学研究伦理,西方挪威。从所有参与者获得知情同意。单独的书面知情同意签署受试者进行了尸检。
研究设计和检查程序。
从1993年队列和前瞻性。进行了标准化的评估后,幸存者4和8年。在这些研究之间的互访,病人常规神经每年至少检查一次。从2001年开始,每年考试进行标准化研究,直到2005年。细微精神状态检查评估电机和nonmotor症状((MMSE), REM睡眠行为障碍(RBD)的精神病症状)进行了运动障碍神经学家的研究小组使用半结构化访谈和临床检查在每个访问学习。神经和心理评估进行分别研究精神病或精神科护士培训的人知道汽车的正式评级的症状。在受试者无法运送到门诊,检查在家中或疗养院。
汽车考试。
在每个研究访问,疾病阶段由Hoehn & Yahr评定量表。8统一帕金森病评定量表(UPDRS)“电机”的得分(第三部分)9被用来评估整体帕金森症的严重程度(18 - 30项;范围0 - 108分)和基本特征地震(20和21项;范围0-28点),刚度(22项;范围0-20点)和运动徐缓(项目23日和31日;范围0-36点),以及轴向缺陷(项目研究;范围约点)。
Nonmotor特性。
除了认知由MMSE筛查,10痴呆的诊断是根据每个研究访问结合标准,根据采访病人和照顾者,临床检查,神经心理学测试,描述了其他地方。11、12RBD的临床评价,病人和他们的照顾者或近亲额定的严重性电动机和声乐活动在睡眠中规模四点(0 - 3),这是斯塔万格睡眠问卷调查的一部分。13被诊断为疑似RBD当比分是2(在睡眠中非常活跃,醒来的配偶)或3(非常活跃的身体和语言上,打击或伤害自己或睡觉时照顾者)。信息的存在和严重性的精神病症状来源于“UPDRS我”的得分,2项(思想障碍)。这个项目分配阶段从0到4,0表示没有症状的阶段,第一阶段生动的梦想,第二阶段(良性)幻觉与洞察力留存,第三阶段偶尔没有洞察力,频繁的幻觉或妄想和第四阶段持续的幻觉,错觉,或绚丽的精神病。患者得分≥2被认为有精神病症状。
药物治疗。
电机和nonmotor症状治疗后最好的临床判断。多巴胺和抗精神病药物的信息记录在每个访问学习。左旋多巴等效剂量(LED)计算根据以前公布的建议。14、15
至关重要的地位。
重要地位和死亡日期信息研究开始10月20日,2009年,获得国家人口注册在挪威,它提供了完全覆盖的死亡作为死亡登记是强制性的居民在挪威。
统计分析。
我们进行kaplan meier分析检查电动机发病后未经调整的生存和Cox比例风险模型调整年龄评估基线变量与死亡的联系。进一步探索可能的预测因素和死亡率的独立协会在整个研究期间,我们使用Cox比例风险模型协变量随时间变化。在这些模型中,实足年龄,UPDRS运动得分,领导,和出现精神病症状,痴呆,RBD,在每个研究访问和使用抗精神病药物作为协变量时间输入,而长期有效的变量包括发病年龄电动机(氧化铝)和性。补充Cox比例风险回归模型进行如下表示。
Cox模型,患者从基线到死亡,10月20日,2009年,对于那些还活着。一个病人随访期间移民和当时审查。
统计分析使用统计软件R 2.9.2 (R统计计算的基础,维也纳,奥地利)。双尾p值< 0.05被认为是重要的。
结果
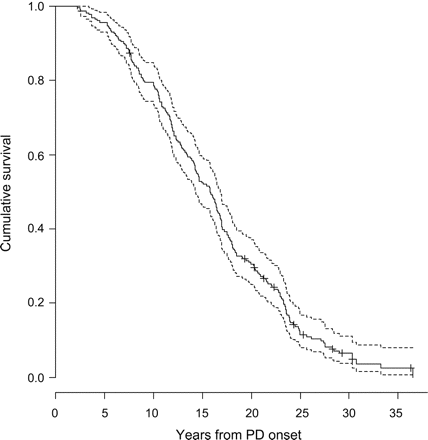
人口统计学和临床基线特征给出了表1。包括230名患者的基线,81人(35.2%)死于4年的随访中,135(58.7%)在8年,153名(66.5%)9年,171名(74.3%)十年,180名(78.3%)11年,在12年192(83.5%),211例(91.7%)在研究结束。因其他原因辍学比死亡还很少(3.0% - -5.7%,平均4.3%)。中位数从PD运动开始到死亡时间15.8年(kaplan meier,图1),在2.2 - -36.6范围内。平均死亡年龄为79.8(标准差6.1)年男性,女性82.4(标准差6.3)年,81.1(标准差6.3)年。
基线死亡率的危险因素。
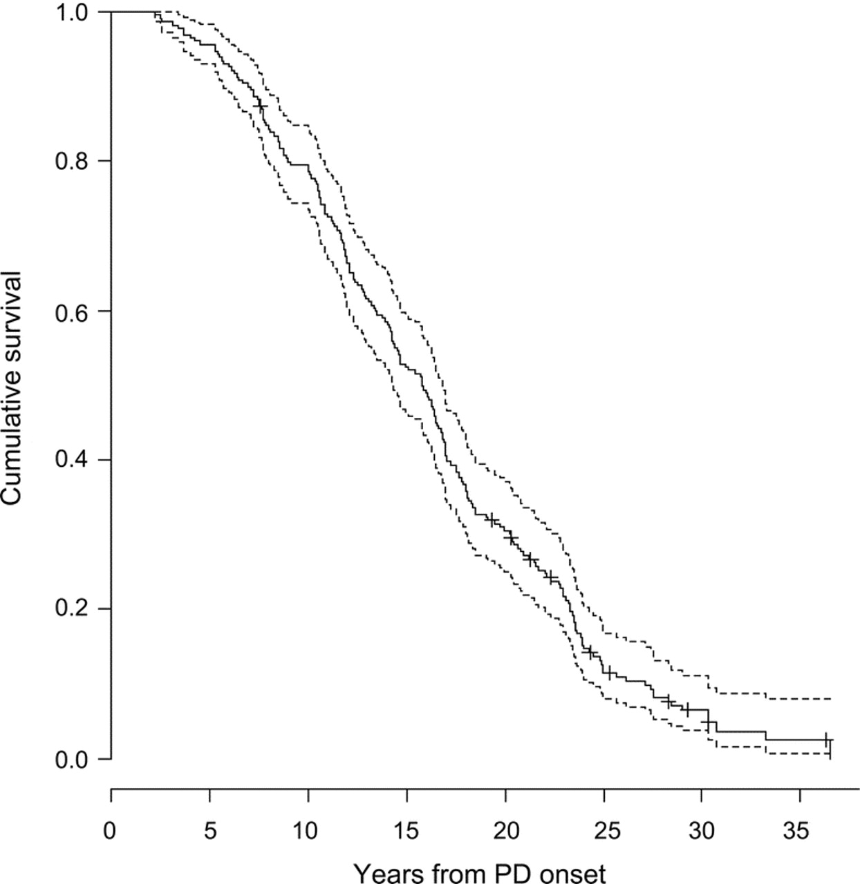
所有基线变量除了发病年龄,震颤严重程度,使用抗精神病药物与高死亡率在后续与调整年龄(Cox比例风险模型表2)。精神病症状患者(p= 0.007)或没有(p= 0.004)保存见解在基线较短的生存时间与主题没有表现出精神病症状(图2)。
死亡率的独立危险因素。
协变量的多变量Cox比例风险模型与时间(表3),随访期间死亡率的独立预测因子高的氧化铝(HR 1.40, 95%可信区间1.03 - -1.88,10年期公债增加,p= 0.029),更高的实足年龄(HR 1.51, 95%可信区间1.01 - -2.24,10年期公债增加,p= 0.043),男性(HR 1.63, 95%可信区间1.21 - -2.20,p= 0.001),更高的UPDRS运动评分(HR 1.18, 95%可信区间1.08 - -1.29,10点增加,p< 0.001),存在精神病(UPDRS思想障碍项得分≥2)(HR 1.45, 95%可信区间1.02 - -2.07,p= 0.039)和老年痴呆症(HR 1.89, 95%可信区间1.29 - -2.78,p= 0.001)。
补充多变量Cox比例风险模型运行进一步阐明关联的精神病症状的严重程度和不同的红衣主教马达特性,分别与死亡率。所有这些模型中的其他独立变量保持不变。
在第一个补充模型中,幻觉保留insight预测死亡风险增加(HR 1.67, 95%可信区间1.12 - -2.48,p= 0.012),而幻觉没有保留洞察力或妄想不(HR 1.22, 95%可信区间0.78 - -1.90,p= 0.391),可能由于高同现与痴呆(96 105年的观察)。
在第二个补充模型中,UPDRS运动评分取代部分的得分震颤、域的刚度,动作迟缓,姿势不稳定和步态困难(PIGD)。在这个模型中,没有一个独立电机部分的得分严重性预测死亡率,虽然死亡高人力资源是观察到的严重性PIGD (HR 1.70, 95%可信区间0.83 - -3.45,p= 0.145)比其它运动领域(震颤:人力资源1.12,95%可信区间0.75 - -1.69,p= 0.576;刚度:人力资源1.00,95%可信区间0.62 - -1.61,p= 1.000;动作迟缓:人力资源1.23,95%可信区间0.85 - -1.77,p10分差= 0.269小时计算)。
讨论
在这个全面的长期研究中,我们研究了死亡率和一系列相关危险因素与PD以人群为基础的队列。生存中值从电动机出现16年,发病后20年,大约有70%的患者死亡。然而,有一个显著的变化在时间上,从运动开始后2 - 37年。这种变化强调识别风险因素的重要性在PD死亡率。我们发现高的氧化铝和实足年龄,男性,更严重的运动损伤,出现精神病症状和痴呆是死亡率的独立危险因素。此外,我们表明,保留insight幻觉都是独立与PD显著增加的死亡风险有关。相比之下,抗精神病药物和抗帕金森病的药物治疗PD组对生存产生重大影响。我们的研究强调了大型个人间变异性在PD的生存和表明很多人口和疾病相关的特性可用于临床实践或研究上下文来确定患者的风险增加死亡率。电机进展,我们的研究结果表明,早期预防痴呆的精神病症状,可能是最有前途的策略在PD增加寿命。
人们普遍认为人口变量如年龄和性别影响风险和PD的临床过程。16、17我们发现男性在我们群与死亡风险增加有关,与数一致18、19但并不是所有20.先前的研究。这种性别差异在PD的生存可能反映出女性平均寿命比男性一般来说,鉴于之前的研究表明,死亡率在PD是相似的男女双方调整后在普通人群中为生存而挣扎。1,18日,19日,21岁同样,观察协会与实足年龄死亡率可能会在一定程度上反映了一般降低老年人的预期寿命,即。由于疾病。另一方面,协同生物衰老和疾病过程之间的相互作用在PD,假设22我们观察到疾病发病年龄也是一个独立的预测死亡率符合和扩展这一假设。
进步的帕金森症是PD的临床特点。当别人,23日,24日我们发现死亡的风险增加而推进电动机严重性,独立于其他疾病相关特性和抗帕金森病的药物治疗。先前的研究已经表明,不同的汽车以不同的速率在PD症状进展。25特别是non-tremor-dominant震颤麻痹被发现与更恶性疾病有关课程方面的电动机和nonmotor恶化。26日,27日符合这一点,我们发现严重的基本特性,除了地震,在随访期间基线预测死亡率增加。此外,虽然没有一个红衣主教马达迹象独立预测死亡率在多变量分析中,死亡率最高的人力资源是观察PIGD症状,而地震与最低人力资源基本功能随访期间死亡。这种模式是在协议与先前的前瞻性研究也发现轴向的症状是在PD高死亡率的危险因素,20日23虽然这不是被别人发现。28
RBD越来越被认为是早期精神病的风险因素29日PD和认知下降。30.RBD症状的研究开始暗示随访期间死亡的风险增加80%,进一步强调这深眠状态更恶性疾病的临床指标。31日然而,RBD功能没有预测死亡率独立于其他变量包含在多变量分析,表明病理过程其他人比底层RBD更减少了在PD生存密切相关。
几乎2倍人力资源相比,患者没有痴呆,痴呆是一个主要在我们人群死亡率的独立预测指标。这是与之前的研究一致,12日,32岁的23尽管大多数但不是全部23其中,与我们的研究中,没有调整电机严重程度的统计分析。我们以人群为基础的发现因此巩固和扩展了公认协会痴呆临床结果较差。它同时也突显出需要增加关注早期标记和预防性治疗认知障碍和痴呆的患病率高在PD和重要负面影响患者,护理人员和社区。11
精神病症状认知障碍密切相关,特别是在帕金森病痴呆。在之前的四年的一项研究发现PD患者的幻觉和死亡率之间没有联系,33较长的大最近的一项研究跟踪报道幻觉与高死亡率独立于认知障碍,所评估的MMSE分数。20.然而,由于没有药物治疗的数据研究,目前尚不清楚是否越高死亡率hallucinators可能的结果中观察到高剂量的多巴胺能药物由于更激进的运动课程。我们的结果反对这个观点,因为精神病症状预测死亡率增加独立于电机严重程度,痴呆和抗帕金森病的抗精神病药物治疗。因此,而不是解释这些因素同现,精神病协会与高死亡率可能反映了病理过程潜在精神病本身。subanalyses进一步强调通过我们的观察,这个协会是最强和保留insight幻觉依然重要,以前通常标记良性的幻觉。最近表明,这些幻觉经常向更严重的精神病症状,34和我们在这里证明他们也独立于相关疾病的发病率与死亡率增加有关。因此,极其严重的幻觉与保留洞察力良性似乎不合适,可能会被认为过时了。
抗精神病药物常用于PD治疗精神病症状不是由于谵妄和坚持尽管减少或撤出多巴胺能药物。最近的发现表明抗精神病治疗的进展可能会推迟幻觉与保存在PD洞察更严重的精神病,35在我们的群体中,我们没有发现PD患者死亡率增加长期前瞻性随访期间使用抗精神病药物。这些观察对比研究广告,抗精神病药物与显著增加死亡风险有关。5在最近的安慰剂对照试验,1年期间累积的生存概率是70%广告积极的抗精神病药物治疗患者和77%的受试者接受安慰剂。5然而,绝大多数(93%)的受试者在积极治疗收到利培酮和氟哌啶醇,药物在PD不推荐36因此很少规定我们的队列。其他潜在解释antipsychotics-related死亡率之间的差异在我们的PD组和广告包括不同的潜在疾病病理和差异并存病、脑血管疾病等,这是一个广告而不是PD的危险因素。37此外,我们的研究调查了自然PD的长期课程的社区,虽然药物治疗最好的临床判断是该领域的专家,它不是随机的。因此,抗精神病药物的剂量和类型在我们的病人可以随时间规定。抗精神病药物,然而,是一个高度异质群体不同频率和频谱的不良事件,和相反的不同抗精神病药物对死亡率的影响可能超过对方。例如,在一个大型的以人群为基础的研究在精神分裂症,死亡率为喹硫平对氯氮平最低和最高,38两者都是在PD的潜在治疗方法。36因此,因为绝大多数患者出现幻觉或更严重的精神病症状的帕金森病,29日有进一步需要,最好是预期和控制,长期研究,以澄清在PD不同抗精神病药物对死亡率的影响,因为死亡风险应该PD-associated精神病的治疗决策过程的一部分。
我们的研究有几个优点,包括人口基数的,未来的,一个定义良好的样本的长期随访运动障碍神经学家,一系列的汽车和nonmotor特性的评估使用标准化的测量仪器,病理证实的在所有受试者进行了解剖,临床诊断和有效的死亡率数据从国家获得死亡登记。我们的研究也有局限性,如长时间间隔研究访问期间第一次8年的随访中,缺乏polysomnography-verified RBD的诊断,而精神病症状确诊使用单个项目而不是最近提出的诊断标准,39当这个研究并没有这些。考虑到这些限制,我们的研究提供了重要的信息功能与死亡率增加有关,因此应该得到最多的关注对预防治疗策略的发展可能增加PD患者的预期寿命。
承认
作者感谢所有病人的参与和斯塔万格帕金森项目中涉及的所有人员。
信息披露
Forsaa博士获得了博士奖学金挪威西部地区卫生行政部门的支持。拉森博士曾在科学顾问委员会Lundbeck公司公司和葛兰素史克公司,它是一家已经收到葛兰素史克公司的发言人酬金;已收到研究挪威研究委员会的支持下,挪威西部地区卫生行政部门,挪威帕金森症协会。t . Wentzel-Larsen报告没有披露。阿尔维斯博士收到Lundbeck公司公司和猎户座公司和它是一家议长谢礼收到葛兰素史克公司和挪威研究支持帕金森病协会。
脚注
披露:作者披露提供的文章。
2010年2月16日收到。2010年6月21日接受的最终形式。
引用
信:快速的网络通信
你可能也会感兴趣
相关文章
-
没有找到相关文章。
提醒我
推荐的文章
- 文章
死亡率在帕金森症和帕金森病的早期预测因素以人群为基础的研究
大卫•Backstrom Gabriel Granasen马格达莱纳河埃里克森Domellof et al。
首页神经学,2018年10月31日 - 文章
代谢综合征和改变协会统一帕金森病评定量表分数莫林Leehey盛罗,Saloni Sharma et al。
首页神经学,2017年9月29日 - 文章
NfL的生物标志物在帕金森病神经退化和生存大卫•Backstrom Jan林德苏珊娜雅各布森帽等。
首页神经学,2020年7月17日 - 文章
GBA基因型与运动协会和功能下降患者新诊断帕金森病乔迪•Maple-Grødem, Ingvild达伦,Ole-Bjørn Tysnes et al。
首页神经学,2020年12月21日


