疾病活动期间返回natalizumab多发性硬化症患者中断治疗
文摘
背景:由于高风险的渐进多焦点的脑白质病(PML)增加natalizumab曝光,一些医生中断治疗多发性硬化(MS)患者尽管缺乏数据的安全治疗中断,女士的速度和严重性疾病活动返回治疗后中断,或替代治疗策略。
目的:确定natalizumab治疗中断的影响的临床和MRI女士复发患者的疾病活动的措施。
方法:临床复发和gadolinium-enhanced (Gd +)病变患者中8个段分析确认,哨兵,一眼natalizumab的研究,和各自的安全扩展研究,遵循自愿暂停natalizumab剂量,发生在2005年2月。
结果:在1866例复发了,Gd +病变在341名患者进行了分析。年复发率和Gd +病变增加natalizumab中断后不久和4至7个月达到顶峰。一致的观察疾病活动无论整体natalizumab曝光,病人是否接受替代疗法,女士和女士高度活跃的疾病患者。反弹复发或Gd +病变活动,除了接受安慰剂的临床研究水平,没有观察到任何的分析。
结论:女士natalizumab治疗中断后,疾病活动中返回模式,符合已知的药代动力学和药效学natalizumab的性质,并没有反弹的迹象。
Natalizumab,α-4整合素拮抗剂治疗复发的多发性硬化症(MS)、与渐进多焦点的脑白质病(PML),中枢神经系统脱髓鞘疾病,发生在约1:1,000治疗病人。1风险加剧的担忧与增加natalizumab PML暴露会导致一些医生暂时中断,或者干脆停止治疗,经过2 - 3年的治疗。2,3然而,几乎没有证据表明存在的安全natalizumab治疗中断,女士的速度和大小疾病活动回报,或替代治疗策略。
担心女士“反弹”(恶化的疾病活动超出预处理水平)来自小安慰剂的研究4和单中心群组观察。5相比之下,大2 b阶段研究专门设计用于测试反弹6女士和纵向分析的患者从natalizumab关键试验7提供强有力的证据,虽然疾病活动返回natalizumab治疗期间中断,不太可能出现反弹。虽然这些报告提供洞察力有关natalizumab的疗效持续时间的中断后,和随之而来的疾病活动女士,他们是来自患者样本太小,或不受控制的设置,并且不提供足够的临床指导。然而,自愿暂停natalizumab剂量发生2005年之后第一个2例报告病例的PML关键女士试验8,9提供了一个机会来评估natalizumab治疗中断群体的病人。女士在这里,我们报告疾病活动,以复发和钆增强(Gd +)病变MRI,之前和期间natalizumab治疗中断。
方法
病人和治疗。
这是一个事后的分析病人natalizumab确认(10;natalizumab单药治疗与安慰剂),哨兵(11;natalizumab + IM干扰素β-1a vs安慰剂+ IM干扰素β-1a)和反光(12;natalizumab +醋酸glatiramer vs安慰剂+醋酸glatiramer)研究,或被登记在各自的非盲安全扩展,前2005年自愿暂停natalizumab剂量。这些研究纳入和排除标准,曾被描述。10- - - - - -12因为它已经表明,疾病活动返回女士可能短natalizumab曝光,患者更加明显5,13患者停用研究药物早期被包括在这个分析中。
评估和分析。
尽快natalizumab治疗中断后,病人被要求参加一个安全评价来评估潜在的不良事件,并受到颅核磁共振扫描(至少2个月后进行最后natalizumab剂量)。后续的安全评估,评估临床复发,每三个月进行长达12个月。未经调整的复发率计算为每个治疗中断评估阶段通过记录的总数复发经历过所有的病人,和年复发率(ARR)除以总数量的人每年在每一个时期。研究arr肯定和哨兵患者年龄调整的(< 40 vs≥40年),扩大残疾状态量表(eds)评分(≤3.5 vs > 3.5),复发的数量,和Gd +病变存在与否的基准。因为有些患者来自natalizumab单一疗法的研究,并返回的疾病活动可能会影响到潜在疾病的严重程度和利用替代药物,进行单独分析起源于确认研究中,患者有高度活跃的女士疾病研究基线(定义为≥2年复发前研究在研究注册登记和≥1 Gd +病变),并得到了替代药物治疗natalizumab中断期间女士。
结果
病人的人口统计资料。
共有1866名患者接受至少一个剂量的natalizumab要么肯定,哨兵,看试验或在各自的扩展研究进行评估(图1)。natalizumab治疗中断的时候,整个人口平均为40.2岁,大多数是女性(72%),大部分是白人(95%),和eds得分均值为2.4 (表)。基线特征之间没有差别患者治疗与安慰剂或natalizumab之前治疗中断。natalizumab治疗停药前平均时间是16.3和123.6周之前对患者治疗与安慰剂或natalizumab,分别。大约13%的患者(复发数据)为谁收到替代药物治疗中断期间女士,最常见的是干扰素β-1a(9.9%)和glatiramer醋酸(2.4%)。
时的剂量悬挂,少数病人(n = 251)确认,哨兵,一眼研究至少收到一剂natalizumab当选没有进入安全扩展研究。共有1615名患者进入研究,分为那些最初安慰剂(n = 666),最初natalizumab (n = 949)。
复发的回归活动。
复发评估进行所有1866 natalizumab-treated患者,其中1517随访治疗期间中断至少8个月(图2)。复发活动,表达了作为一个加勒比海盗,增加natalizumab停止后不久,达到4个月(0.61;95%可信区间[CI] 0.41 - -0.86)的患者最初接受安慰剂的临床试验,而且在7个月(0.74;95%可信区间0.57 - -0.94)在患者治疗期间natalizumab临床试验和安全扩展研究。治疗中断期间任何时候ARR超过了利率观察确认接受安慰剂的患者(0.73;95%可信区间0.62 - -0.87)或前哨(0.75;95%可信区间0.67 - -0.84)试验。由于natalizumab一般管理作为单一疗法,866肯定复发患者分别进行了分析(图2B)。类似于整个人口,所观察到的ARR增加natalizumab打断后不久在病人组(natalizumab -和安慰剂组),达到7个月,通常仍低于安慰剂研究水平的0.73(唯一的例外是在确认病人以前对待natalizumab当ARR的峰值0.83)在7月。总体比例的病人经历复发natalizumab治疗期间中断是21%(20%对先前确认病人),这是大大低于安慰剂组患者的比例有经验的复发的第一年肯定(40%)。
未经调整的年率化复发率(ARR) natalizumab治疗中断期间所有患者评估(A)和患者确认(B)。
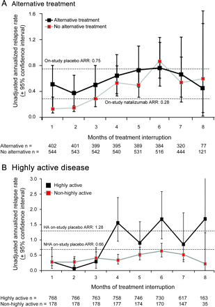
复发活动增加natalizumab治疗期间中断,无论患者是否接受替代药物或女士(图3)复发年率为0.43 (95% CI 0.36 - -0.52) 544年病人没有替代药物治疗期间中断,0.63 (95% CI 0.37 - -1.01) 56女士发起的替代药物的患者当时natalizumab中断,和0.57 (95% CI 0.47 - -0.70) 346年患者不断替代药物治疗(干扰素β-1a哨兵和醋酸glatiramer一眼)。此外,敏感性分析病人的总体人口(n = 1623)和确认(n = 815),排除了那些接受替代药物女士复发还演示了一个类似的模式,与患者之间没有差异被观察到的安慰剂——或者natalizumab-treated在临床试验(图e-1A首页®网站www.首页neurology.org)。患者的复发率在任何时候采取替代药物超过女士研究安慰剂复发率观察确认或前哨。
未经调整的年率化复发率(ARR) natalizumab中断期间病人接受替代治疗(A)女士和女士,没有高度活跃的疾病患者(B)。
女士为了评估的影响严重性疾病活动模式的回报,复发分别分析了患者高度活跃的疾病在确认基线,哨兵,和看研究(n = 222),相比那些没有高度活跃的疾病(n = 994)。所示图3ARR B,增加患者的高度活跃的疾病从一个研究基线0.27 (95% CI 0.20 - -0.36), 1.56 (95% CI 0.96 - -2.38)在4月,峰值为1.69 (95% CI 1.04 - -2.58)在6个月,而增加患者non-highly活动性疾病从0.30 (95% CI 0.26 - -0.34)在基线的峰值0.65 (95% CI 0.45 - -0.90) 6个月。任何时候natalizumab治疗期间中断在高度活跃或复发率non-highly活跃团体超过各自研究安慰剂复发率的临床试验。
Gd +病变的回归。
暂停natalizumab剂量后,进行安全性评价颅MRI扫描在获得所有病人至少一剂临床试验或扩展研究。虽然大多数扫描得到的前60天内的安全评估,341年进行了至少60天最后一剂疫苗后,代表当时natalizumab应该清除血液中的基于其药动学特征。15因此,这些病人扫描代表第一个真正的“治疗”MRI评估可用的。所示图4的平均数,Gd +病变从1.6±0.2减少到0.3±0.1 natalizumab 108周后治疗。一旦治疗被打断,Gd +病变逐渐增加时间6个月后的峰值1.2±0.4。当患者选择药物在治疗natalizumab女士中断被排除在这一分析,没有任何证据表明反弹Gd +病变活动(数据没有显示)。高度活跃的患者,疾病,Gd +病变从平均增加0.6 0.0治疗后6个月中断,而高度活跃的疾病患者表现出增加从0.0 Gd +病变从基线值的3.0损伤后6个月。尽管这种差异在病变的大小返回non-highly活跃和高度活跃的疾病,没有证据表明反弹超过基线水平(分别为0.9和4.9病变)在两组明显。所示图4B,所有患者0(97%)或1 (3%)Gd +病变natalizumab 108周后,病人表现出2和4之间的百分比Gd +病变逐渐增加治疗中断期间,和几乎相同prestudy基线水平6个月。
讨论
这一分析的主要发现超过1800患者MS疾病活动,评估临床复发和Gd +增强MRI病灶,开始后不久返回中断natalizumab治疗和达到基线水平的4 - 7个月。这种模式似乎不受暴露的持续时间影响natalizumab之前治疗中断或患者是否接受替代药物一旦natalizumab女士治疗停止。高度活跃的疾病,患者的疾病活动的回归更快速和更大的大小高度活跃的患者,比疾病,但返回的整体模式是相似的。,重要的是,在任何时候疾病活动的水平超过八个月natalizumab治疗中断期间观察到的水平在安慰剂组受试者在临床试验,从而提供没有反弹效应的证据。
疾病活动的回归natalizumab治疗中断后最有可能反映了一种恢复淋巴细胞迁移在内皮细胞膜natalizumab清除循环。稳态浓度natalizumab实现后的血清,每月大约6个月的多次注资,并消除半衰期约为11天。14基于这样的药动学特征,natalizumab应充分清除从循环后约2个月(5半衰期)最后一次剂量。研究MS患者接受月注入natalizumab发现减少α4-integrin表面表达和抑制外周血单核细胞的迁移能力没有持续整个四周剂量间隔。15女士的另一项研究中,患者治疗与1 - 41剂量的natalizumab发现脑脊液淋巴细胞计数仍抑制后6个月最后剂量。16总的来说,这些发现表明natalizumab减弱的影响停止加药后不久,虽然一些残余影响持续6个月。这次课程是符合报告的疾病活动返回模式,并表明,8个月观察期natalizumab足以让所有的生物效应的减弱。然而,恢复研究(ClinTrials.gov标识符:NCT01071083),目前正在进行,目的是直接评估快速natalizumab的免疫效应消失,当症状女士返回,如果其他药物(interferon-β1a、甲基强的松龙、醋酸glatiramer)可能有助于控制症状在24周女士natalizumab中断。
女士担心潜在的疾病活动反弹natalizumab治疗后中断最初生长在一个小(n = 70)安慰剂对照第二阶段的研究。4在这研究中,2注入natalizumab显著降低新或活动病变MRI的数量超过12周,但更natalizumab-treated病人经历了第二个为期12周的治疗后观察期间复发。这个观察是很难解释,因为大量的接受安慰剂的患者复发少第二12周观察期间,并没有证据表明MRI的反弹。增加的数量在一个小T2病灶(n = 21)组患者停药后15个月的natalizumab病变相比,数字前治疗。13然而,这增加在T2病灶postnatalizumab期间在很大程度上归因于病人的一个子集(n = 10)曾短暂接触natalizumab(平均2注入),这是符合最近的一份报告表明疾病活动女士(复发)返回受测者在治疗中断似乎更有可能在病人相对较短的课程natalizumab疗法。5虽然当前分析1800 natalizumab-treated患者并没有提供证据表明,MS疾病活动的强度在中断返回前暴露的持续时间有关,还有待确定金额的差异活动后返回短疗程的治疗具有临床意义。这个分析的结果是一致的与其他报告,直接与疾病活动的概念随之反弹natalizumab治疗中断。例如,在一个更大的(n = 213) 2 b期研究专门为女士设计测试疾病活动反弹,返回Gd +病变和复发后治疗中断natalizumab没有差异和接受安慰剂的患者随访12个月观察期。6同样,纵向分析22 natalizumab-treated患者的肯定和哨兵试验演示了一个回报,但是没有反弹,Gd +病变,T2病灶体积,或复发治疗停止后14个月的时间。7最近,一个小(n = 32),混合群患者复发缓和和次要进步,据报道,女士在MRI上表现出复发和严重的炎症活动经过4个natalizumab中断。5虽然这些观察是挑衅,解释和推断困难是由于少数患者观察到,事实上,都是耐火材料至少有一个疾病修饰治疗启动natalizumab之前,和72%没有超过一个治疗。因此,这不仅代表一群女士患有严重疾病,但是一个真正的基线水平的疾病活动(例如,任何治疗之前政府)尚不清楚。有趣的是,炎症反应在治疗中断的程度在这群患者最显著的二次进步女士,和那些更大的核磁共振活动natalizumab治疗之前,符合更快速、更大的疾病活动返回发生在这一分析的高度活跃的疾病患者。
虽然目前的分析可能会受到一个开放性设计,事后自然,和缺乏对照组,这些结果来自最大的患者(> 1800)样品进行了分析。此外,自愿暂停natalizumab剂量在2005年提供了一个8个月观察期natalizumab治疗中断,充分评估“治疗”疾病,根据已知的药代动力学和药效学natalizumab的属性。这些数据表明疾病活动简历女士和达到基线水平在一个时间框架符合natalizumab消除动力学,和显然是不受影响的持续时间之前natalizumab女士接触或替代疗法治疗期间中断。重要的是,尽管疾病活动的大小返回尤为明显开始natalizumab之前高度活跃的疾病患者治疗,疾病活动的反弹并没有观察到任何病人组分析(可能影响患者的替代药物的高度活跃的疾病不能完全除外)。这些数据表明,恢复疾病活动的预处理水平应该预期natalizumab治疗中断后不久,强调复发性疾病活动女士的后果应该PML的潜在益处的角度权衡风险减少,而且应该激励寻找合适的替代治疗中断。
作者的贡献
统计分析是由尼莎·卢卡斯博士。
信息披露
奥康纳博士是诺华公司的科学顾问委员会,赛诺菲-安万特,拜耳先灵葆雅制药,基因泰克,Inc .和罗氏公司;已收到资金旅游和/或议长谢礼Idec,梯瓦制药产业有限公司,诺华公司和赛诺菲-安万特;服务/担任顾问Idec, Actelion股价制药有限公司、拜耳先灵葆雅制药,EMD Serono, Inc .)、梯瓦制药产业有限公司基因泰克,Inc .)和华平投资集团(Warburg Pincus);和接收从雅培研究支持,拜耳先灵葆雅制药,第一三共制药,惠氏,公司/ S,诺华,BioMS医疗、赛诺菲-安万特(sanofi - aventis) Cognosci, Inc .和罗氏公司;,是一个国家科学和临床顾问女士加拿大社会。古德曼博士是一个科学顾问委员会和/或作为顾问生原体Idec;已收到资助旅行和议长Acorda医疗的谢礼,Actelion股价制药有限公司Avanir制药、拜耳先灵葆雅制药,Idec, EMD Serono, Inc .,基因泰克,Inc ., Genzyme公司,诺华,辉瑞制药(pfe . n:行情),和梯瓦制药产业有限公司;和接收Acorda医疗研究的支持,拜耳先灵葆雅制药、Idec, EMD Serono,基因泰克,Inc ., Genzyme公司,诺华梯瓦制药产业有限公司,武田制药有限公司和小野医药有限公司,美国国立卫生研究院和威廉姆斯蒙特尔基金会。博士卡波斯的编辑委员会国际期刊女士和多发性硬化症;接收研究瑞士国家研究基金会的支持下,瑞士社会,女士和詹尼·Rubatto基金会(苏黎世);,科学顾问委员会和他的部门在巴塞尔大学医院已收到Acorda医疗研究的支持,Actelion股价制药有限公司,雅培公司,阿斯利康,Bayhill疗法,拜耳先灵葆雅制药、Idec,勃林格殷格翰的发言,年会邻位的生物技术公司,卫材公司Genzyme公司,葛兰素史克,免疫反应公司MediciNova, Inc .)、神经内分泌的生物科学,诺华公司,赛诺菲-安万特,默克公司Serono,罗氏,梯瓦制药产业有限公司联合,惠氏。卢布林博士曾在科学顾问委员会和收到资金从BioMS医疗和辉瑞公司;在编辑的董事会多发性硬化症,西奈山医学杂志,美国神首页经学;服务/担任顾问和收到资金从辉瑞公司,EMD Serono, Inc .)、梯瓦制药产业有限公司,拜耳先灵葆雅制药、Idec,基因泰克,Inc .,诺华公司/ S, MediciNova,公司Actelion股价制药有限公司Allozyne, Inc .,赛诺菲-安万特(sanofi - aventis) Acorda医疗,Questcor制药、Inc . Avanir制药、罗氏,Celgene公司,雅培,MorphoSys AG);是演讲者的辉瑞公司办事处,EMD Serono, Inc .和梯瓦制药产业有限公司;收到Acorda医疗研究的支持,Idec,梯瓦制药产业有限公司,诺华公司基因泰克,Inc ., Genzyme公司,赛诺菲-安万特,美国国立卫生研究院/研究所和国家多发性硬化症协会;和当前的股票所有权在认知药物和/或财务利益。米勒博士是诺华公司的科学顾问委员会,葛兰素史克公司,拜耳先灵葆雅制药、Idec,和美国国立卫生研究院;已收到资助旅行或演讲者谢礼Idec,诺华,拜耳先灵葆雅制药公司,葛兰素史克公司,国家社会和克利夫兰诊所女士;收到出版版税麦艾尔派恩多发性硬化症,第四版(丘吉尔利文斯通,2005);作为一个顾问葛兰素史克和生原体Idec;接收研究支持(通过他的机构)从Idec,葛兰素史克,先灵葆雅公司和诺华;和接收社会女士的研究支持大不列颠和北爱尔兰和美国国立卫生研究院。曼博士是科学顾问委员会,并收到Actelion股价资助旅行和议长谢礼制药有限公司、Idec,拜耳先灵葆雅制药公司,葛兰素史克,梯瓦制药产业有限公司,默克公司Serono,诺华公司和联合,罗氏公司;在编辑的董事会《柳叶刀神经病首页学和多发性硬化症;和接收研究支持Idec,默克公司Serono,诺华公司的联合,欧洲共同体布鲁塞尔,荷兰和研究基金会女士。惠氏Rudick博士担任顾问,Genzyme公司/拜耳先灵葆雅制药,Bayhill疗法,辉瑞制药(pfe . n:行情)、梯瓦制药产业有限公司、Idec,和诺华;已收到资助旅行或演讲者谢礼Idec, Genzyme公司,惠氏,和生原体Idec;接收来自出版版税多发性硬化治疗,第三版Informa(医疗、2007);和接收研究支持Idec, Elan公司和美国国立卫生研究院。奥森巴哈博士是一位全职员工和拥有股票的生原体Idec。卢卡斯博士是一位全职员工和拥有股票的生原体Idec。
脚注
研究经费:支持部分生原体Idec Elan公司。
编辑、页面1854年
-
- 加勒比海盗
- 年复发率
- CI
- 置信区间
- eds
- 扩大残疾状态量表
- Gd +
- gadolinium-enhanced
- 女士
- 多发性硬化症
- PML
- 渐进多焦点的脑白质病
- 收到了2010年8月7日。
- 接受2010年12月27日。
- 版权©2011年长企业公司,。
引用
信:快速的网络通信
-
作者回复
- 保罗·W奥康纳,神经学家,圣迈克尔医院,多伦多大学oconnorp@smh.ca
2011年8月26日提交 -
证据反弹Natalizumab治疗期间中断
- Kottil W。Rammohan,老师的神经学首页,迈阿密大学mortega2@med.miami.edu
- Milissa r·奥尔特加西尔维亚·r·德尔珈朵,Leticia撕裂
2011年8月23日提交
你可能也会感兴趣
主题讨论
提醒我
推荐的文章
- 文章
女士在恢复疾病活动随机24周natalizumab治疗中断研究
罗伯特·j·福克斯,杰罗姆·德·布鲁斯·交流克里族Seze et al。
首页神经学,2014年3月28日 - 文章
natalizumab撤军后复发的风险结果从法国TYSEDMUS队列
卡洛琳Papeix,桑德拉Vukusic,罗曼·凯西等。
首页神经学:神经免疫学和神经炎症,2016年的10月28日 - 文章
可逆性的影响natalizumab在MS患者外周免疫细胞动力学塔蒂阿娜Plavina,库马尔Kandadi来自,杰弗里Kuesters et al。
首页神经学,2017年9月15日 - 研究
从natalizumab转向温和的影响——对高效DMT在临床实践中凯莉·m·赫什Haleigh哈里斯,德文郡康威等。
首页神经学:临床实践,2020年2月12日


