COVID-19诊断后前6个月内癫痫和癫痫发作的发生率
回顾性队列研究
摘要
背景及目标COVID-19与癫痫之间的关系尚不确定。我们研究了感染后6个月内COVID-19与癫痫发作或癫痫之间的潜在关联。
方法我们将验证过的方法应用于包含8100万人的电子健康记录网络(TriNetX Analytics)。我们将COVID-19感染者与流感患者密切匹配。在每个队列中,我们测量了癫痫发作和癫痫的发病率和危险比(HRs)。我们将数据按年龄和急性感染期间是否住院进行分层。然后,我们探索随时间变化的HRs来评估癫痫发作或癫痫诊断的时间模式。
结果我们分析了860934份电子健康记录。在匹配后,产生了两个队列,每个队列152,754名患者。与流感相比,COVID-19与癫痫发作和癫痫风险增加有关。COVID-19发病后6个月内癫痫发作的发生率为0.81% (95% CI 0.75-0.88;HR与流感相比为1.55[1.39-1.74])。癫痫发生率为0.30% (0.26 ~ 0.34;HR与流感相比为1.87[1.54-2.28])。与流感相比,未住院的人和16岁以下的人在COVID-19后癫痫的HR更大。感染后HR峰值时间因年龄和住院情况而异。
讨论COVID-19后6个月内新发作或癫痫诊断的发病率总体较低,但高于匹配的流感患者。这种差异在未住院的人群中更为明显,突出了即使在感染不那么严重的人群中,癫痫和癫痫发作的风险。儿童在COVID-19后出现癫痫和癫痫的风险特别高,这为预防儿科人群感染COVID-19提供了另一个动力。与住院和年龄相关的风险高峰时间的不同,可能为covid相关癫痫发作和癫痫的潜在机制提供线索。
术语表
- CPT=
- 现行程序术语;
- 小时=
- 风险的比率;
- HCOs=
- 医疗组织;
- ICD=
- 《国际疾病分类》 ;
- pn=
- 心理非癫痫性发作
SARS-CoV-2大流行与严重的发病率和死亡率相关。截至2022年4月底,全球新冠肺炎病例达5.13亿例,死亡人数超过623万人。1COVID-19感染与急性神经系统症状相关,特别是脑病、躁动、精神错乱、嗅觉丧失、老年痴呆和中风。2,3.与流感相比,感染COVID-19的人在随后6个月内出现许多神经和精神后遗症的风险也会增加,在重症监护室住院的患者中发病率最高。4COVID-19可能通过影响脑内皮细胞、炎症、细胞因子风暴和其他机制损害神经功能。5,6
任何严重的感染都可能通过代谢紊乱引起皮质过度兴奋。然而,COVID-19罕见急性症状性癫痫发作和癫痫持续状态。7,-,9脑电图研究显示,COVID-19患者频繁出现间期癫痫样异常,偶尔出现电痉挛。10,-,12然而,这些发现的意义及其对结果的影响尚不完全清楚。COVID-19感染急性症状性癫痫发作的发生率(~ 1%)低于SARS(~ 2.7%)和中东呼吸综合征(~ 8.6%)。13鉴于文献的异质性,尚不确定COVID-19感染是否会使患者易患癫痫或癫痫。
大多数关于COVID-19和癫痫发作的调查都集中在急性情况下,而对中期神经结局的评估不包括癫痫或病例数低。4,14因此,我们检查了大量的医疗记录数据集,以确定COVID-19感染后6个月内癫痫和癫痫的发病率,并将这些风险与感染流感后匹配的患者进行比较。
方法
数据和研究设计
这项研究使用了TriNetX Analytics,这是一个连接电子健康记录的联邦网络,记录了来自59家医疗保健组织(HCOs)的匿名数据,这些组织主要在美国,共有8100万名患者。可用数据包括人口统计学、诊断(ICD-10代码)、程序(当前程序术语[CPT]代码)和测量(如血压)。医疗服务中心由初级保健中心、医院和专科单位组成。他们提供未参保和参保个人的数据。使用TriNetX用户界面,根据纳入和排除标准创建队列,匹配混淆变量,并比较特定时期内感兴趣的结果。有关TriNetX的详细信息,请参见eMethods,links.lww.com/WNL/C480.
标准方案批准、注册和患者同意
TriNetX内部的数据去识别已根据《健康保险可携带性和责任法案》隐私规则§164.514(b)(1)节正式证明,取代了TriNetX对西方机构审查委员会的豁免;因此不需要进一步的伦理批准。由于我们使用的是常规收集的匿名数据,因此不需要参与者的同意。
军团
主要队列定义为所有确诊为COVID-19的患者(ICD-10代码U07.1)。世界卫生组织建议,当COVID-19经实验室检测确诊时,无论临床症状或体征的严重程度如何,都应使用此代码。这与一组匹配的流感患者(ICD-10代码J09-J11)进行了比较,这些患者既没有被诊断为COVID-19,也没有COVID-19检测呈阳性。队列包括在2020年1月20日(美国第一例COVID-19病例的记录日期)至2021年5月31日期间发生指数事件(COVID-19或流感)的所有患者,并且在随访结束时(2021年8月24日)仍活着。既往诊断为癫痫或复发性癫痫发作(ICD-10 G40代码)的患者均被排除在两个队列之外。关于队列定义的更多细节,包括使用的ICD-10/CPT代码,在eMethods中提供,links.lww.com/WNL/C480.
协变量
我们评估了COVID-19和更严重的COVID-19疾病的既定和疑似危险因素:年龄、性别、种族、民族、肥胖、高血压、糖尿病、慢性肾病、哮喘、慢性下呼吸道疾病、尼古丁依赖、药物滥用、先前的精神疾病、缺血性心脏病和其他形式的心脏病、社会经济剥夺、癌症(特别是血液病癌症)、慢性肝病、中风、痴呆、器官移植、类风湿关节炎、狼疮、牛皮癣以及涉及免疫机制的疾病。为了在患者的健康记录中捕捉这些风险因素,使用了58个变量。包括ICD-10代码在内的更多详细信息,请参见eMethods,links.lww.com/WNL/C480.对所有这些变量进行队列匹配,如下所述。
结果
主要终点为癫痫(ICD-10代码G40)或癫痫(ICD-10代码R56)复合终点的6个月发生率。次要结果包括单独的代码。
统计分析
倾向评分匹配(在TriNetX网络内执行)创建了具有匹配基线特征的队列。15倾向分数1:1匹配使用贪婪最近邻方法,其卡尺距离为倾向分数logit的0.1个sd池。队列之间的标准化平均差异低于0.1的任何特征都被认为是良好匹配的。16Kaplan-Meier估计器用于估计各结果的发生率。使用Cox模型计算95% ci的危险比(HRs),使用log-rank检验检验队列间无差异的原假设。使用广义Schoenfeld方法检验比例风险假设。如果违反了假设,则使用与对数累积危险度相匹配的自然三次样条来估计时变危险度。17
更多细节见eMethods,links.lww.com/WNL/C480.除日志秩检验在TriNetX中进行外,统计分析在R 3.6.3版本中进行。双侧设置有统计学意义p值< 0.05。完成了使用观察性常规收集健康数据(RECORD)进行的研究报告。
二次分析
为了分析年龄对结果的影响,我们在儿童(≤16岁)和成人(>16岁)人群中重复了初步分析。为了探索COVID-19与癫痫或癫痫发作之间的关联是否以及如何受到急性感染严重程度的影响,我们分别对确诊COVID-19或流感后14天内住院和未住院的患者重复了分析。还对年龄组(≤vs > 16岁)和住院状况进行了适度分析(见eMethods,links.lww.com/WNL/C480).
数据可用性
TriNetX系统将这些分析的结果以csv文件的形式返回,然后下载并存档。本文及本补编所载资料可于osf.io / m8ht2.
结果
队列匹配前后的基线人口统计数据显示在表1(及表1,links.lww.com/WNL/C480).在匹配之前,COVID-19数据集由681,283人组成,平均年龄高于流感数据集的179,561人。两组女性患者较多,配型后维持不变。尽管大多数COVID-19和流感患者都是白人,但黑人/非洲裔美国人和西班牙裔美国人的比例也很高。为了减少混杂因素,研究人员对人群统计学特征和多种全身和精神合并症进行了密切匹配,得出了确诊为COVID-19和流感的匹配队列,每个队列由152,754人组成。
COVID-19后癫痫和癫痫:发病率和HRs与流感的比较
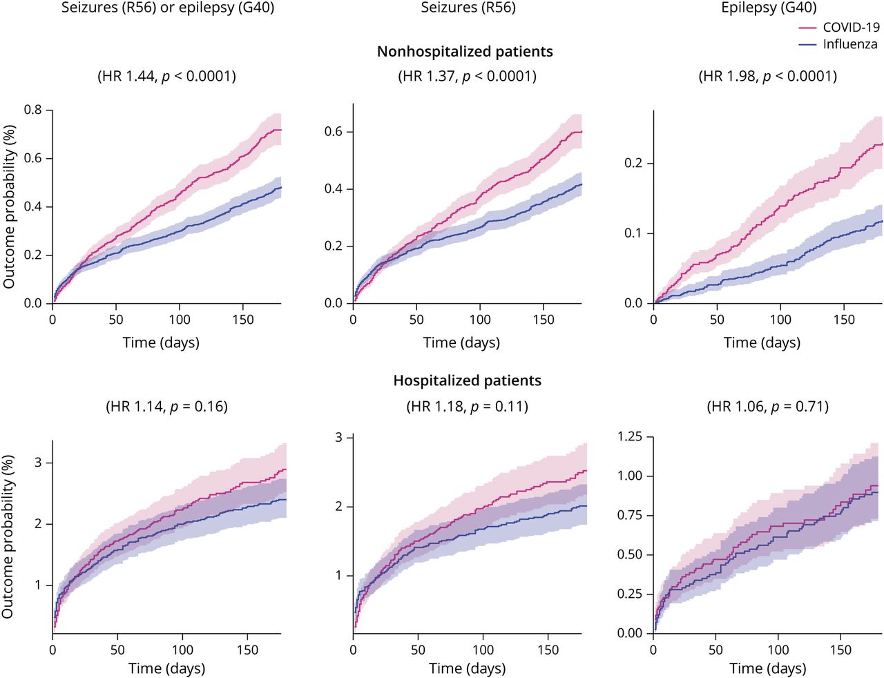
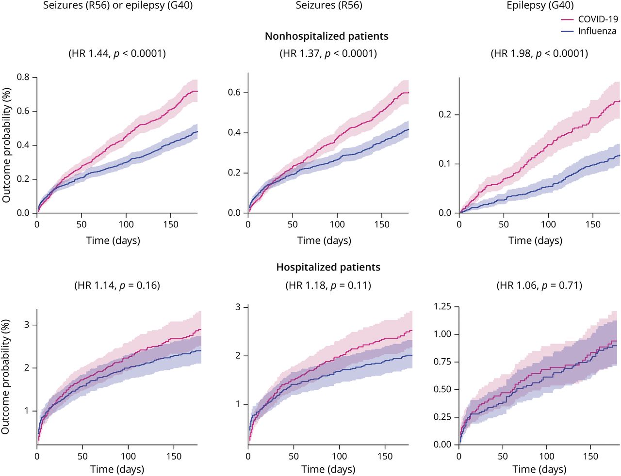
与流感队列相比,COVID-19队列中癫痫发作或癫痫的复合终点发生率增加(6个月累积发病率0.94% vs 0.60%, HR 1.55, 95% CI 1.40-1.72,p< 0.0001;图1;表2).另外,癫痫发作风险增加(0.81% vs 0.51%, HR 1.55, 95% CI 1.39-1.74,p< 0.0001)和癫痫(0.30% vs 0.17%, HR 1.87, 95% CI 1.54-2.28,p< 0.0001)。这些发现表明,与流感相比,COVID-19感染与更高的癫痫和癫痫发作风险相关。
与流感后相比,COVID-19后6个月被诊断为癫痫发作或癫痫的概率增加。曲线周围的阴影区域代表95% CI。
二次分析
癫痫发作和癫痫风险的增加与年龄有关吗?
儿童之间按年龄分层分析的结果(年龄≤16岁,匹配后n = 43,231;见表2,links.lww.com/WNL/C480基线特征)和成人(年龄>16岁,匹配后n = 108,116;eTable 3,links.lww.com/WNL/C480),撮要如下图2而且表3.与流感相比,两名儿童在COVID-19后癫痫或癫痫的复合终点风险均增加(1.34% vs 0.69%, HR 1.85, 95% CI 1.54-2.22,p< 0.0001)和成人(0.84% vs 0.54%, HR 1.56, 95% CI 1.37-1.77,p< 0.0001)。尽管COVID-19和流感之间的对比在儿童中似乎更加明显(图2),该复合终点无显著的年龄调节(调节系数0.20,95% CI−0.025至0.42,p= 0.082)。在两个年龄组中,单独测量癫痫发作和癫痫的风险均显著增加(图2).与流感相比,COVID-19后癫痫的风险因年龄而显著降低,儿童比成人更明显(调节系数0.68,95% CI 0.23-1.13,p= 0.0031)。
与流感相比,在两个年龄组中,COVID-19与被诊断为癫痫和/或癫痫的概率增加有关。癫痫的风险在16岁以下的个体中更为明显。曲线周围的阴影区域代表95% CI。
癫痫发作和癫痫风险的增加是否取决于以住院为代表的COVID-19感染的严重程度?
分析结果按住院状况分层,非住院患者(匹配后n = 139,490;见表4,links.lww.com/WNL/C480基线特征)和住院患者(匹配后n = 11090;见表5,links.lww.com/WNL/C480),撮要如下图3而且表3.与流感相比,非住院患者COVID-19后癫痫或癫痫复合终点的风险显著增加(0.72% vs 0.48%, HR 1.44, 95% CI 1.27-1.63,p(2.90% vs 2.40%, HR 1.14, 95% CI 0.95-1.38,p= 0.16)。然而,住院状态不是显著的调节因子(调节系数0.12,95% CI−0.10至0.35,p= 0.28)。同样,仅在非住院组单独测量癫痫发作和癫痫的风险显著增加(图3).住院状态是COVID-19与癫痫之间关联的重要调节因素(在非住院患者中这种关联更为明显;调节系数0.52,95%可信区间0.11-0.93,p= 0.012),但不适用于癫痫发作(调节系数0.047,95% CI−0.20至0.29,p= 0.70)。
与流感相比,COVID-19后“癫痫或癫痫”的风险高峰是什么时候?
我们对整个队列中癫痫发作或癫痫综合终点的时变hr进行了事后分析(图4)和根据住院情况分别进行,并在2个年龄组中进行。在整个队列中,在COVID-19和流感之间,癫痫发作或癫痫的HR峰值时间为感染后23天。成人HR高峰为21 d,儿童为50 d。在感染后50天,儿童在感染COVID-19后诊断出癫痫或癫痫的可能性几乎是流感后的3倍。在因COVID-19或流感住院的患者中,癫痫发作或癫痫的HR峰值为9天,而未住院的患者为41天。在这个时间点上,与流感相比,未住院的人在covid -19后诊断出癫痫或癫痫的可能性是其两倍多。
讨论
在一个大型电子健康记录网络中,我们的研究显示,与匹配的流感患者相比,从感染之日起6个月内,COVID-19与癫痫发作或癫痫发作的风险增加有关。尽管与流感相比,COVID-19后癫痫或癫痫发作的风险显著增加,但绝对风险仍然很低(影响不到所有COVID-19患者的1%),这与其他研究一致。13,18,19与感染流感后相比,感染COVID-19后癫痫或癫痫发作的相对风险在儿童和非住院个体中在6个月的时间范围内更为显著。
尽管人们认识到COVID-19对成人和儿童的影响不同,但儿童的风险升高是出乎意料的。20.,-,23成人主要表现为肺部疾病,儿童主要表现为免疫介导炎症反应伴或不伴多系统炎症综合征。有神经系统表现的儿童更有可能单独或结合COVID-19 PCR阳性出现COVID-19抗体阳性。那些没有神经系统表现的患者往往只有COVID-19 PCR阳性,提示急性感染。20.
许多免疫介导的副感染性中枢神经系统疾病在冒犯性病毒感染后一段时间出现,24这与我们COVID-19儿童队列中癫痫风险的延迟高峰一致。COVID-19的免疫介导或炎症介导机制可能有助于发育中的大脑发生癫痫或揭示先前的癫痫易感性。癫痫具有神经发育、心理、社会和教育后果。25,26虽然儿童感染通常较轻,但COVID-19的神经后果可能更为严重。27我们的数据为预防儿童COVID-19感染提供了额外的支持,这可以为儿科人群接种疫苗的风险-收益平衡提供信息。
类似的免疫介导机制可能解释了在非住院患者中出现的差异。在这一组中,与流感相比,COVID-19后癫痫发作或癫痫发作的风险更高,而且这种相对风险随着时间的推移逐渐增加,在急性感染后6周左右达到峰值。HR随时间的增加仅表明1组的发病率增加相对对另一组。因此,谨慎的解释是有必要的。然而,在covid -19后几周内,癫痫发作或癫痫风险增加的观察结果可能与免疫介导的病因学一致。应更多关注那些表现为癫痫微妙特征的患者,例如局灶性意识癫痫,特别是在COVID-19感染不太严重后的3个月内。相比之下,严重的感染会由于代谢紊乱、发烧、睡眠不足等因素直接降低癫痫发作阈值。这与我们的观察结果一致,即COVID-19住院患者的癫痫或癫痫发作风险在感染后不久达到峰值,但在整个6个月的随访期内,并不显著高于住院流感患者。
尽管这些数据为COVID-19是否可能导致癫痫发作和癫痫发生提供了见解,但仍有许多问题未得到解答。我们试图确定是否可以确定癫痫发作的根本原因,特别是考虑到COVID-19的潜在后果中风,28,-,30.可能是与covid -19相关的癫痫发作或癫痫的主要原因。数据无法回答这个问题,因为连续诊断为COVID-19、中风和随后癫痫或癫痫发作的患者数量有限。由于大多数中风患者可能都住院了,29癫痫发作或癫痫的风险增加主要出现在非住院患者中,中风可能不是癫痫发生的主要因素。
covid -19后被诊断为癫痫发作的患者的长期预后特征仍然不明确。患者和临床医生可能会选择不开始用药,即使是在2次无端癫痫发作后,如果这些发作发生在COVID-19感染附近,特别是如果脑电图和MRI没有显示癫痫的潜在基底。重要的是监测这些个体以确定是否会发生进一步的癫痫发作。对于那些开始服药的人,尤其是儿童,跟踪癫痫发作情况和长期神经发育/神经认知结果将是至关重要的。
我们的研究表明,COVID-19感染后癫痫和癫痫发作的绝对风险相对较低。然而,与流感相比,感染COVID-19后的相对风险更大,特别是在未住院的人和儿童(年龄小于16岁)中。这些易感人群的HR峰值出现在感染COVID-19后几周,这可能表明是免疫介导的病因。需要其他研究设计来进一步研究可能的潜在机制。
由于COVID-19后癫痫发作和癫痫仍然相对罕见,我们支持继续在多个中心收集数据,并建立长期开放获取存储库,用于报告COVID-19后癫痫发作和癫痫。透明的结果报告对于更好地了解COVID-19与癫痫发作障碍之间的相互关系至关重要。
除了使用电子健康记录的研究固有的局限性之外,这项研究还有几个局限性4,31(总结于eMethods,links.lww.com/WNL/C480),例如记录的完整性未知,诊断没有验证,社会经济和生活方式因素的信息稀少。我们无法对感染COVID-19的人发表评论,但无法与我们的流感队列中的人匹配。我们不知道感染了哪些SARS-CoV-2变体个体患者,也不知道他们以前是否接种过SARS-CoV-2疫苗,这可能会影响癫痫发作的可能性。由于这项研究完全依赖于被编码为COVID-19患者的人进入数据集,因此这项研究无法评论感染了SARS-CoV-2但未检测或诊断为COVID-19的患者的结果。
我们将大量流感患者与COVID-19病例进行了匹配。选择与COVID-19队列同期的比较队列,以限制背景因素(例如,紧张的卫生服务)对结果的影响。在COVID-19大流行期间,流感发病率有所下降,因此受影响的人可能不能代表大流行前诊断为流感的人。然而,当与2018年和2019年诊断为流感的患者队列进行比较时,在其他神经系统结局方面观察到非常相似的hr。4相反,我们没有比较COVID-19队列与普通人群之间的癫痫和癫痫发作风险,相应的HR可能会大于将COVID-19与流感进行比较时观察到的HR。此外,我们不能将covid -19后后遗症与单纯疱疹病毒等更多“致痫性”病毒感染进行比较,32因为病例数量不够。
在为癫痫和癫痫发作编码时存在固有的困难。COVID-19与心理共病有关,在先前存在癫痫发作的患者中都存在33,-,35以及那些没有癫痫的人。4尽管心理压力可以促进癫痫的发展,但这也可能导致心理非癫痫性发作(PNES,解离性癫痫发作和功能性癫痫发作)。36PNES可能被错误地归类为癫痫发作或癫痫,这在COVID-19队列中可能被过度代表。癫痫也是一种微妙的临床诊断,有可能,例如,心血管衰竭或代谢紊乱(例如,低血糖)可能被编码为“癫痫”,甚至“癫痫”。不过,类似的限制也适用于那些感染了COVID-19或流感的人,这有助于验证本文提出的方法。
研究资金
这项工作得到了国家健康与护理研究所(NIHR)牛津健康生物医学研究中心(BRC)的支持,批准号为:brc - 1215 - 20005。
信息披露
作者报告没有相关披露。去首页Neurology.org/N全面披露。
鸣谢
M. Taquet和P.J. Harrison被允许不受限制地访问TriNetX Analytics网络,用于研究目的,对所做的分析或发表的决定没有限制。M. Taquet是NIHR学术临床研究员和牛津健康BRC高级研究员。A. Sen是牛津大学医院NHS基金会信托BRC高级研究员。本文所表达的观点仅代表作者个人观点,并不代表英国国家卫生服务局(National Health Service, NIHR)或英国卫生与社会保障部的观点。
附录的作者
脚注
去首页Neurology.org/N全面披露。作者认为相关的资金信息和披露(如果有的话)将在文章末尾提供。
文章处理费是由牛津大学资助的阅读和出版协议。
提交并经外部同行评审。处理编辑是芭芭拉·乔斯特,医学博士,FAAN。
编辑、页面359
COVID-19资源:NPub.org/COVID19
- 收到了2022年5月4日。
- 最终接受2022年10月6日。
- 版权所有©2022由Wolters Kluwer健康公司代表美国神经病学学会出版。首页
这是一篇开放获取的文章,根据创作共用署名许可4.0 (CC BY)它允许在任何媒介上不受限制地使用、传播和复制,前提是正确地引用原始作品。
参考文献
信件:快速在线通信
-
读者回应:COVID-19诊断后前6个月内癫痫和癫痫发作的发生率:一项回顾性队列研究
- Wei-Hao林,精神病学家,台中荣民总医院埔里分院,台中荣民总医院
- Jing-Yang黄,助理教授,中山医科大学附属医院健康数据科学中心,台中
- 詹姆斯Cheng-Chung魏,风湿病学家,台中中山医科大学附属医院变态反应、免疫及风湿病科
2022年12月28日提交 -
读者回应:COVID-19诊断后前6个月内癫痫和癫痫发作的发生率:一项回顾性队列研究
- 史蒂文布伦纳,退休的神经学家,圣路易斯大学神经内科(已退休)首页
2022年11月19日提交
需求
如果你要上传关于文章的信件:
您必须在六个月内更新您的披露:http://submit.首页neurology.org
您的合著者必须发送一份完整的出版协议表格来首页(对于主要/通讯作者不需要填写以下表格即可),然后再上传您的评论。
如果你在回复一篇关于你最初撰写的文章的评论:
您(和共同作者)不需要填写表格或检查披露,因为作者表格仍然有效
并适用于信件。
提交规格:
- 文章必须少于200字,参考文献少于5篇。参考文献1必须是你所评论的文章。
- 投稿者不得超过5人。(例外:原作者回复可以包括文章的所有原作者)
- 只可提交发稿日起6个月内发表的文章。
- 不要冗余。在提交之前阅读文章上已经发布的任何评论。
- 提交的意见在发表前须经过编辑和编辑审查。


